Rate-Adaptive Information Reconciliation for CV-QKD Systems at Low Signal-to-Noise Ratios
Abstract
1. Introduction
2. Preliminaries
3. The Proposed Protocols
3.1. Threshold-Based IR (TIR)
3.1.1. Threshold Selection
3.1.2. TIR Protocol
3.2. Sorting-Based IR (SIR)
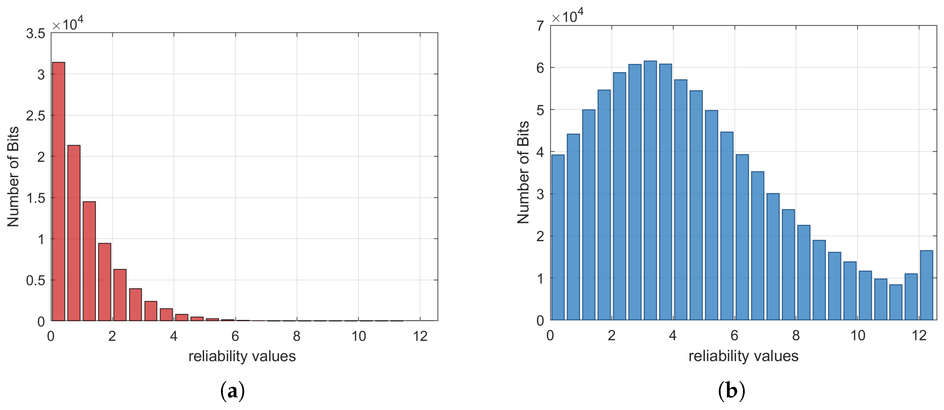
4. Analysis of the TIR and SIR Protocols
4.1. Code Rate
| Algorithm 1 The code rate calculation process of the SIR protocol. |
| Step 1 Obtain the channel capacity C(s) based on the practical SNR. |
| Step 2 Determine the target reconciliation efficiency . |
| Step 3 Sort the bits in descending order of reliability . |
| Step 4 Obtain the optimal code rate using Equation (2). |
| Step 5 Determine the to disclose using Equation (7). |
4.2. Reconciliation Efficiency
4.3. Complexity
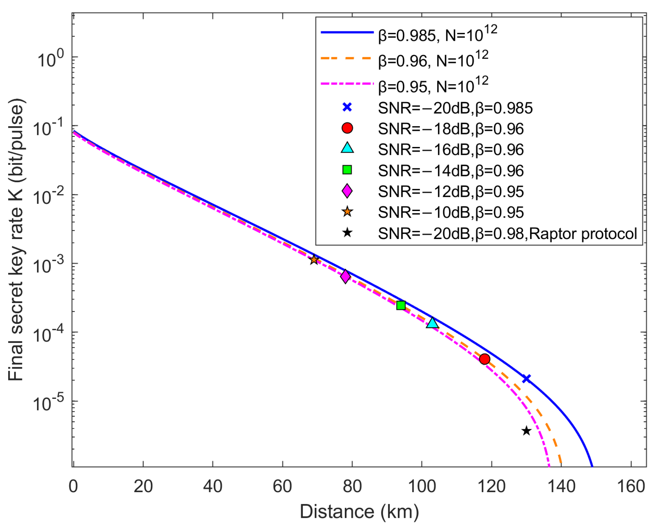
5. Simulation Results
6. Conclusions
Author Contributions
Funding
Data Availability Statement
Conflicts of Interest
References
- Gisin, N.; Ribordy, G.; Tittel, W.; Zbinden, H. Quantum cryptography. Rev. Mod. Phys. 2002, 74, 145. [Google Scholar] [CrossRef]
- Scarani, V.; Bechmann-Pasquinucci, H.; Cerf, N.J.; Dušek, M.; Lütkenhaus, N.; Peev, M. The security of practical quantum key distribution. Rev. Mod. Phys. 2009, 81, 1301–1350. [Google Scholar] [CrossRef]
- Pirandola, S.; Andersen, U.L.; Banchi, L.; Berta, M.; Bunandar, D.; Colbeck, R.; Englund, D.; Gehring, T.; Lupo, C.; Ottaviani, C.; et al. Advances in quantum cryptography. Adv. Opt. Photonics 2020, 12, 1012–1236. [Google Scholar] [CrossRef]
- Diamanti, E.; Lo, H.-K.; Qi, B.; Yuan, Z. Practical challenges in quantum key distribution. npj Quantum Inf. 2016, 2, 16025. [Google Scholar] [CrossRef]
- Braunstein, S.L.; Loock, P.V. Quantum information with continuous variables. Rev. Mod. Phys. 2005, 77, 513–577. [Google Scholar] [CrossRef]
- Zhou, C.; Wang, X.; Zhang, Y.; Zhang, Z.; Yu, S.; Guo, H. Continuous-variable quantum key distribution with rateless reconciliation protocol. Phys. Rev. Appl. 2019, 12, 054013. [Google Scholar] [CrossRef]
- Jouguet, P.; Kunz-Jacques, S.; Leverrier, A.; Grangier, P.; Diamanti, E. Experimental demonstration of long-distance continuous-variable quantum key distribution. Nat. Photonics 2013, 7, 378–381. [Google Scholar] [CrossRef]
- Milicevic, M.; Feng, C.; Zhang, L.M.; Gulak, P.G. Quasi-cyclic multi-edge ldpc codes for long-distance quantum cryptography. npj Quantum Inf. 2018, 4, 21. [Google Scholar] [CrossRef]
- Jouguet, P.; Kunz-Jacques, S.; Leverrier, A. Long-distance continuous-variable quantum key distribution with a gaussian modulation. Phys. Rev. A At. Mol. Opt. Phys. 2011, 84, 062317. [Google Scholar] [CrossRef]
- Lodewyck, J.; Bloch, M.; García-Patrón, R.; Fossier, S.; Karpov, E.; Diamanti, E.; Debuisschert, T.; Cerf, N.J.; Tualle-Brouri, R.; McLaughlin, S.W.; et al. Quantum key distribution over 25 km with an all-fiber continuous-variable system. Phys. Rev. A At. Mol. Opt. Phys. 2007, 76, 042305. [Google Scholar] [CrossRef]
- Grosshans, F.; Grangier, P. Continuous variable quantum cryptography using coherent states. Phys. Rev. Lett. 2002, 88, 057902. [Google Scholar] [CrossRef]
- Leverrier, A.; Grosshans, F.; Grangier, P. Finite-size analysis of a continuous-variable quantum key distribution. Phys. Rev. A At. Mol. Opt. Phys. 2010, 81, 062343. [Google Scholar] [CrossRef]
- Grosshans, F.; Cerf, N.J.; Wenger, J.; Tualle-Brouri, R.; Grangier, P. Virtual entanglement and reconciliation protocols for quantum cryptography with continuous variables. arXiv 2003, arXiv:quant-ph/0306141. [Google Scholar] [CrossRef]
- Assche, G.V.; Cardinal, J.; Cerf, N.J. Reconciliation of a quantum-distributed gaussian key. IEEE Trans. Inf. Theory 2004, 50, 394–400. [Google Scholar] [CrossRef]
- Bennett, C.H.; Brassard, G.; Crépeau, C.; Maurer, U.M. Generalized privacy amplification. IEEE Trans. Inf. Theory 2002, 41, 1915–1923. [Google Scholar] [CrossRef]
- Zhou, C.; Wang, X.; Zhang, Z.; Yu, S.; Chen, Z.; Guo, H. Rate compatible reconciliation for continuous-variable quantum key distribution using raptor-like ldpc codes. Sci. China Physics, Mech. Astron. 2021, 64, 260311. [Google Scholar] [CrossRef]
- Jouguet, P.; Elkouss, D.; Kunz-Jacques, S. High-bit-rate continuous-variable quantum key distribution. Phys. Rev. 2014, 90, 042329. [Google Scholar] [CrossRef]
- Leverrier, A.; Alléaume, R.; Boutros, J.; Zémor, G.; Grangier, P. Multidimensional reconciliation for a continuous-variable quantum key distribution. Phys. Rev. A At. Mol. Opt. Phys. 2008, 77, 042325. [Google Scholar] [CrossRef]
- Richardson, T.; Urbanke, R. Multi-edge type ldpc codes. In Workshop Honoring Prof. Bob McEliece on His 60th Birthday; California Institute of Technology: Pasadena, CA, USA, 2002; pp. 24–25. [Google Scholar]
- Gallager, R. Low-density parity-check codes. IRE Trans. Inf. Theory 1962, 8, 21–28. [Google Scholar] [CrossRef]
- Zhang, M.; Hai, H.; Feng, Y.; Jiang, X.-Q. Rate-adaptive reconciliation with polar coding for continuous-variable quantum key distribution. Quantum Inf. Process. 2021, 20, 318. [Google Scholar] [CrossRef]
- Jeong, S.; Jung, H.; Ha, J. Rate-compatible multi-edge type low-density parity-check code ensembles for continuous-variable quantum key distribution systems. npj Quantum Inf. 2022, 8, 6. [Google Scholar] [CrossRef]
- Shokrollahi, A. Raptor codes. IEEE Trans. Inf. Theory 2006, 52, 2551–2567. [Google Scholar] [CrossRef]
- Perry, J.; Iannucci, P.A.; Fleming, K.E.; Balakrishnan, H.; Shah, D. Spinal codes. ACM SIGCOMM Comput. Commun. Rev. 2012, 42, 49–60. [Google Scholar] [CrossRef]
- Gümüş, K.; Eriksson, T.A.; Takeoka, M.; Fujiwara, M.; Sasaki, M.; Schmalen, L.; Alvarado, A. A novel error correction protocol for continuous variable quantum key distribution. Sci. Rep. 2021, 11, 10465. [Google Scholar] [CrossRef] [PubMed]
- Zhou, C.; Li, Y.; Ma, L.; Yang, J.; Huang, W.; Sun, A.; Wang, H.; Luo, Y.; Li, Y.; Chen, Z.; et al. Integrated high-performance error correction for continuous-variable quantum key distribution. arXiv 2024, arXiv:2407.16432. [Google Scholar]
- Grosshans, F.; Grangier, P. Reverse reconciliation protocols for quantum cryptography with continuous variables. arXiv 2002, arXiv:quant-ph/0204127. [Google Scholar] [CrossRef]
- Zhang, K.; Jiang, X.-Q.; Feng, Y.; Qiu, R.; Bai, E. High efficiency continuous-variable quantum key distribution based on atsc 3.0 ldpc codes. Entropy 2020, 22, 1087. [Google Scholar] [CrossRef]
- Jiang, X.Q.; Xue, S.; Tang, J.; Huang, P.; Zeng, G. Low-complexity adaptive reconciliation protocol for continuous-variable quantum key distribution. Quantum Sci. Technol. 2024, 9, 025008. [Google Scholar] [CrossRef]
- Elkouss, D.; Martínez-Mateo, J.; Martín, V. Secure rate-adaptive reconciliation. In Proceedings of the 2010 International Symposium On Information Theory & Its Applications, Taichung, Taiwan, 17–20 October 2010; IEEE: New York, NY, USA, 2010; pp. 179–184. [Google Scholar]







| Code Rate | Degree Distribution |
|---|---|
| 0.1 | |
| 0.05 | |
| 0.02 | |
| SNR (dB) | |||
|---|---|---|---|
| 0.02 | −18 | 9210 | 0.01089 |
| −17 | 6408 | 0.01368 | |
| −16 | 2869 | 0.01718 | |
| 0.05 | −15 | 29,069 | 0.02156 |
| −14 | 23,605 | 0.02703 | |
| −13 | 16,700 | 0.03387 | |
| −12 | 8421 | 0.04193 | |
| 0.1 | −11 | 1005 | 0.05238 |
| −10 | 742 | 0.06531 |
Disclaimer/Publisher’s Note: The statements, opinions and data contained in all publications are solely those of the individual author(s) and contributor(s) and not of MDPI and/or the editor(s). MDPI and/or the editor(s) disclaim responsibility for any injury to people or property resulting from any ideas, methods, instructions or products referred to in the content. |
© 2025 by the authors. Licensee MDPI, Basel, Switzerland. This article is an open access article distributed under the terms and conditions of the Creative Commons Attribution (CC BY) license.
Share and Cite
Fu, H.; Dai, J.; Feng, Y.; Hai, H.; Ge, H.; Huang, P.; Jiang, X.-Q. Rate-Adaptive Information Reconciliation for CV-QKD Systems at Low Signal-to-Noise Ratios. Entropy 2026, 28, 10. https://doi.org/10.3390/e28010010
Fu H, Dai J, Feng Y, Hai H, Ge H, Huang P, Jiang X-Q. Rate-Adaptive Information Reconciliation for CV-QKD Systems at Low Signal-to-Noise Ratios. Entropy. 2026; 28(1):10. https://doi.org/10.3390/e28010010
Chicago/Turabian StyleFu, Huiting, Jisheng Dai, Yan Feng, Han Hai, Huayong Ge, Peng Huang, and Xue-Qin Jiang. 2026. "Rate-Adaptive Information Reconciliation for CV-QKD Systems at Low Signal-to-Noise Ratios" Entropy 28, no. 1: 10. https://doi.org/10.3390/e28010010
APA StyleFu, H., Dai, J., Feng, Y., Hai, H., Ge, H., Huang, P., & Jiang, X.-Q. (2026). Rate-Adaptive Information Reconciliation for CV-QKD Systems at Low Signal-to-Noise Ratios. Entropy, 28(1), 10. https://doi.org/10.3390/e28010010

