Numerical Integration of Stochastic Differential Equations: The Heun Algorithm Revisited and the Itô-Stratonovich Calculus
Abstract
1. Introduction
2. The Heun Algorithm and Itô-Stratonovich Calculus
- The Heun scheme produces a Stratonovich evolution by combining two Euler schemes that use the Itô prescription. Should one instead use Euler schemes derived from the Stratonovich prescription?
- The standard stochastic Euler scheme has a strong convergence order of [3], unlike the deterministic Euler scheme. Would it be beneficial to replace it in the Heun scheme with an integrator that has a strong convergence order of ?
- How does the Heun scheme compare with other Taylor-based higher-order schemes?
2.1. The Stochastic Euler Scheme and Stochastic Calculus
2.2. Strong Approximation : The Milstein Scheme
2.3. Higher-Order Taylor-Based Schemes
3. Algorithms and Dynamical System
- Euler: The standard Euler scheme, Equation (4).
- Heun: The standard Heun scheme, Equation (5).
- Stra: The Euler–Stratonovich scheme, Equation (9).
- Miln: A modified Heun scheme where the Milstein algorithm (Equation (11)) is used as the basic block for both the predictor and corrector steps: in the corrector step, and are evaluated at the x found in the predictor step.
- Mil-: A modified Heun scheme similar to Miln, where for the corrector step the − sign in front of the term is used (this resembles what is done in Equation (10) for the Euler–Stratonovich scheme)
- T3/2: The scheme of Equation (13), including terms up to the ones marked
- RK: The efficient RK scheme of [18].
4. Numerical Results and Discussion
4.1. Convergence
- A random initial point was chosen from the Stratonovich equilibrium distribution Equation (18).
- The trajectory was integrated from the initial point up to time with a very small time step , storing the random variates generated at each step. This trajectory serves as the “reference” trajectory, and its final point was stored.
- The integration was repeated from the same initial point but with a larger integration time step , for , and the final point was stored. To generate the noise for these larger time steps, the random increments from the reference trajectory were summed. For example, if the noise increments for the reference trajectory from t to and from to were and , respectively, and the noise increment for a trajectory with time step from t to was taken as . This procedure was extended straightforwardly for cases requiring multiple random terms.
- The absolute error was computed and stored.
- The procedure was repeated for trajectories, and the average error, , was computed.
- Finally, a fit of the average error versus h was performed using MINUIT2 [22] to determine the parameters A and .

| Algorithm | A | Stability | |
|---|---|---|---|
| Euler | |||
| Heun | 191 | ||
| Stra | 115 | ||
| Miln | 91 | ||
| HeSt | 172 | ||
| HePC | 169 | ||
| Mil- | 165 | ||
| HPC- | 132 | ||
| T3/2 | 134 | ||
| CUP1 | 117 | ||
| CUP2 | 117 | ||
| RK | 135 |

4.2. Stability
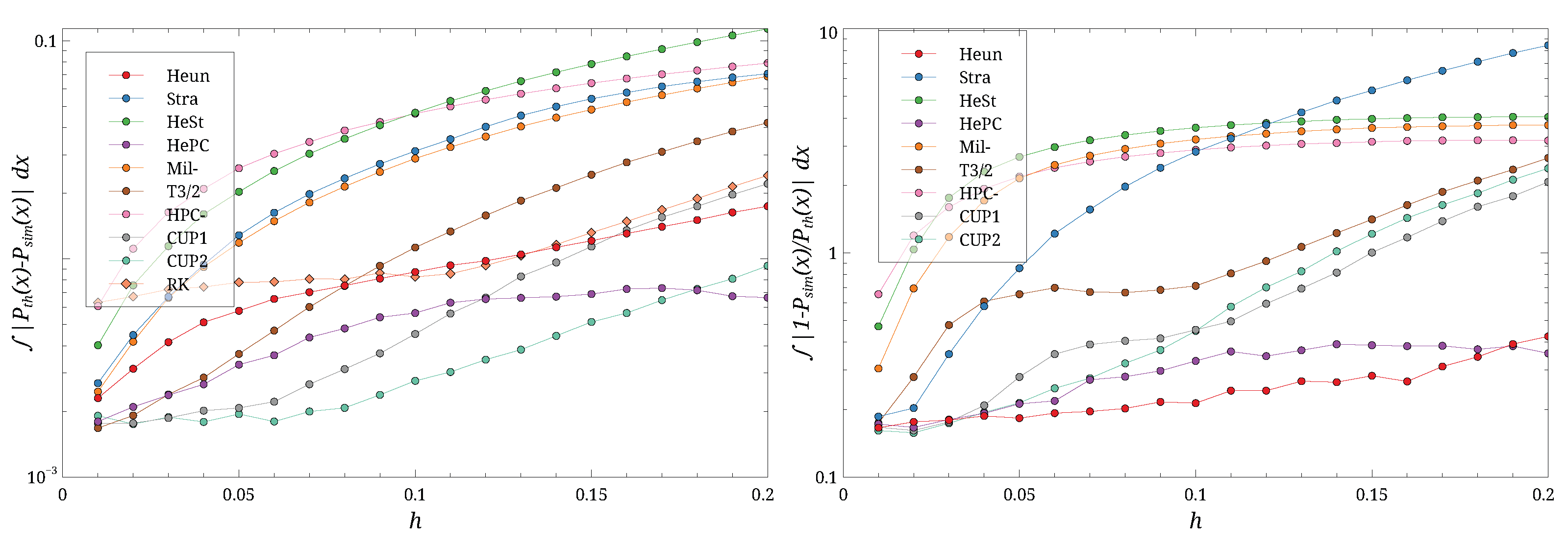
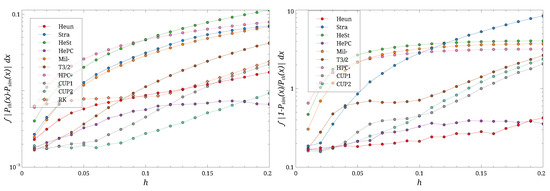
4.3. Stationary Distributions
5. Conclusions
Funding
Data Availability Statement
Acknowledgments
Conflicts of Interest
References
- Gardiner, C.W. Stochastic Methods: A Handbook for the Natural and Social Sciences; Springer Series in Synergetics; Springer: Berlin/Heidelberg, Germany, 2009. [Google Scholar]
- Øksendal, B. Stochastic Differential Equations: An Introduction with Applications; Springer: Berlin/Heidelberg, Germany, 2003. [Google Scholar] [CrossRef]
- Kloeden, P.E.; Platen, E. Numerical Solution of Stochastic Differential Equations; Springer: Berlin/Heidelberg, Germany, 1992. [Google Scholar] [CrossRef]
- Van Kampen, N.G. Stochastic Processes in Physics and Chemistry; Elsevier: North Holland, The Netherlands, 2007. [Google Scholar] [CrossRef]
- Mannella, R.; McClintock, P.V.E. Itô versus Stratonovich: 30 years later. Fluct. Noise Lett. 2012, 11, 1240010. [Google Scholar] [CrossRef]
- Heun, K. Neue Methode zur approximativen Integration der Differentialgleichungen einer unabhängigen Veränderlichen. Z. Math. Phys. 1900, 45, 23–38. [Google Scholar]
- Butcher, J. A history of Runge-Kutta methods. Appl. Numer. Math. 1996, 20, 247–260. [Google Scholar] [CrossRef]
- Rümelin, W. Numerical treatment of stochastic differential equations. SIAM J. Numer. Anal. 1982, 19, 604–613. [Google Scholar] [CrossRef]
- Kloeden, P.E.; Pearson, R.A. The numerical solution of stochastic differential equations. J. Aust. Math. Soc. Ser. B Appl. Math. 1977, 20, 8–12. [Google Scholar] [CrossRef][Green Version]
- Klauder, J.R.; Petersen, W.P. Numerical Integration of Multiplicative-Noise Stochastic Differential Equations. SIAM J. Numer. Anal. 1985, 22, 1153–1166. [Google Scholar] [CrossRef]
- Mannella, R. Integration of Stochastic Differential Equations on a Computer. Int. J. Mod. Phys. C (IJMPC) 2002, 13, 1177–1194. [Google Scholar] [CrossRef]
- Mannella, R. Computer experiments in non-linear stochastic physics. In Noise in Nonlinear Dynamical Systems; Moss, F., McClintock, P.V.E., Eds.; Cambridge University Press: Cambridge, UK, 1989; pp. 189–221. [Google Scholar]
- Mil’shtejn, G.N. Approximate integration of stochastic differential equations. Theory Probab. Appl. 1975, 19, 557–562. [Google Scholar] [CrossRef]
- Rao, N.J.; Borwanker, J.D.; Ramkrishna, D. Numerical Solution of Ito Integral Equations. SIAM J. Control 1974, 12, 124–139. [Google Scholar] [CrossRef][Green Version]
- Mannella, R.; Palleschi, V. Fast and precise algorithm for computer simulation of stochastic differential equations. Phys. Rev. A Gen. Phys. 1989, 40, 3381–3386. [Google Scholar] [CrossRef] [PubMed]
- Sancho, J.M.; Miguel, M.S.; Katz, S.L.; Gunton, J.D. Analytical and numerical studies of multiplicative noise. Phys. Rev. A 1982, 26, 1589–1609. [Google Scholar] [CrossRef]
- Mannella, R. Quasisymplectic integrators for stochastic differential equations. Phys. Rev. E 2004, 69, 041107. [Google Scholar] [CrossRef] [PubMed]
- Bogoi, A.; Dan, C.I.; Strătilă, S.; Cican, G.; Crunteanu, D.E. Assessment of Stochastic Numerical Schemes for Stochastic Differential Equations with “White Noise” Using Itô’s Integral. Symmetry 2023, 15, 2038. [Google Scholar] [CrossRef]
- MPICH. Available online: https://mpich.org (accessed on 10 August 2025).
- Press, W.H.; Flannery, B.P.; Teukolsky, S.A.; Vetterling, W.T. Numerical Recipes in FORTRAN 77: The Art of Scientific Computing, 2nd ed.; Cambridge University Press: Cambridge, UK, 1992. [Google Scholar]
- Higham, D.J. An Algorithmic Introduction to Numerical Simulation of Stochastic Differential Equations. SIAM Rev. 2001, 43, 525–546. [Google Scholar] [CrossRef]
- James, F.; Roos, M. Minuit: A System for Function Minimization and Analysis of the Parameter Errors and Correlations. Comput. Phys. Commun. 1975, 10, 343–367. [Google Scholar] [CrossRef]
- Honeycutt, R.L. Stochastic Runge-Kutta algorithms. I. White noise. Phys. Rev. A 1992, 45, 600–603. [Google Scholar] [CrossRef] [PubMed]






Disclaimer/Publisher’s Note: The statements, opinions and data contained in all publications are solely those of the individual author(s) and contributor(s) and not of MDPI and/or the editor(s). MDPI and/or the editor(s) disclaim responsibility for any injury to people or property resulting from any ideas, methods, instructions or products referred to in the content. |
© 2025 by the author. Licensee MDPI, Basel, Switzerland. This article is an open access article distributed under the terms and conditions of the Creative Commons Attribution (CC BY) license (https://creativecommons.org/licenses/by/4.0/).
Share and Cite
Mannella, R. Numerical Integration of Stochastic Differential Equations: The Heun Algorithm Revisited and the Itô-Stratonovich Calculus. Entropy 2025, 27, 910. https://doi.org/10.3390/e27090910
Mannella R. Numerical Integration of Stochastic Differential Equations: The Heun Algorithm Revisited and the Itô-Stratonovich Calculus. Entropy. 2025; 27(9):910. https://doi.org/10.3390/e27090910
Chicago/Turabian StyleMannella, Riccardo. 2025. "Numerical Integration of Stochastic Differential Equations: The Heun Algorithm Revisited and the Itô-Stratonovich Calculus" Entropy 27, no. 9: 910. https://doi.org/10.3390/e27090910
APA StyleMannella, R. (2025). Numerical Integration of Stochastic Differential Equations: The Heun Algorithm Revisited and the Itô-Stratonovich Calculus. Entropy, 27(9), 910. https://doi.org/10.3390/e27090910

