Abstract
Coded distributed computing (CDC) is a powerful approach to reduce the communication overhead in distributed computing frameworks by utilizing coding techniques. In this paper, we focus on the CDC problem in -combination networks, where H APs act as intermediate pivots and workers are connected to different subsets of L APs. Each worker processes a subset of the input file and computes intermediate values (IVs) locally, which are then exchanged via uplink and downlink transmissions through the AP station to ensure that all workers compute their assigned output functions. In this paper, we first novelly characterize the transmission scheme for the shuffle phase from the view point of the coefficient matrix and then obtain the scheme by using the Combined Placement Delivery Array (CPDA). Compared with the baseline scheme, our scheme significantly improves the uplink and downlink communication loads while maintaining the robustness and efficiency of the combined multi-AP network.
1. Introduction
The rapid growth of computationally intensive applications has driven considerable research into efficient distributed computing frameworks. MapReduce [1,2] and its evolution Apache Spark [3] have significant advantages in computational tasks dealing with massive datasets, where the amount of data can usually reach tens of terabytes. The MapReduce framework distributes computation tasks to multiple nodes, each storing a subset of the dataset. The computation process is decomposed into a set of “map” functions and “reduce” functions. Each map function processes a batch of data to generate intermediate values (IVs), which serve as inputs to the reduce functions. The overall process comprises three main phases: map, shuffle, and reduce phases. The nodes compute the map functions on their locally stored data, generate output IVs during the map phase, and exchange their computed IVs to ensure that each reduce function accesses to all necessary inputs during the map phase. In the reduce phase, all the nodes compute their assigned reduce functions using the gathered IVs.
Due to massive data exchange and limited communication bandwidth, the MapReduce-type system (MapReduce in short) often suffers from communication bottlenecks, i.e., the data shuffle phase consumes a significant portion of the overall task execution time. In order to reduce the communication overhead during the shuffling phase, Li et al. in [4] proposed a CDC scheme which achieves an optimal tradeoff between the computation load and communication load under a given output function assignment. The CDC scheme has also been widely studied in the other distributed computing scenarios. For example, CDC has been combined with maximum distance separable (MDS) codes to handle matrix–vector multiplication tasks and mitigate the impact of stragglers [5]. There are also many workers focusing on the stragglers in general functions [6,7], optimal resource allocation strategies [8,9], iterative computing and shuffling procedures [10,11], randomized file allocations [12], and cases with random network connectivity [13].
The CDC technique has been extended to wireless networks [14,15], where devices exchange information via wireless links. In such scenarios, owing to the decentralized nature of wireless networks, a central access point (AP) is typically required to facilitate data exchange, giving rise to uplink and downlink communication phases [16,17,18]. In real-world scenarios, we usually consider multiple APs. For example, a large place like a university campus needs to deploy multiple APs to realize campus network coverage. Moreover, a multi-AP system is able to distribute the load to multiple repeaters, thus reducing the risk of a single point of failure and improving fault tolerance.
This paper considers the CDC problem in a wireless -combination network [19] which consists of H numbers of APs and computing workers. Each worker is connected to a distinct subset of L numbers of APs through wireless links. The APs act as intermediate hubs, facilitating the exchange of IVs among workers over wireless channels. Each worker is assigned a subset of the input files, processes them locally to compute IVs, and then transmits some IVs to its connected APs. The APs aggregate and broadcast the received information to other workers, ensuring that all workers obtain the necessary IVs to compute their respective output functions. This multi-AP structure provides enhanced reliability and robustness in the face of AP or node failures. We are interested in the tradeoff between the communication load and computation load (defined as the average number of nodes processing each input file), and aim to improve the overall efficiency of the distributed computing system by exploiting computation resources at workers and creating additional opportunities for parallelism and multicast transmission.
In this paper, we first obtain a baseline scheme by using CPDA. Then, by novelly characterizing the scheme from the view point of linear algebra, the problem of designing a CDC scheme for combination network is equivalent to constructing a special matrix. Finally, using CPDA, we obtain an improved CDC scheme which has a lower communication load than that of the baseline scheme, for which the computation load does not increase.
Notations: We denote the set of positive integers by . For , the set is denoted as , and is used to represent the cardinality of a set or the length of a vector. Denote , i.e., is the collection of subsets of of size L.
2. System Model
We consider a distributed coded computing system for a combination network, where there are N input files , each of which has B bits, H APs without storage, K workers, each of which can store at most M files, and K output functions from N files, each of which is arranged to one worker. Each worker is connected to a unique L-subset of APs over the wireless channel. So and the user set can be written as . Each worker is connected to the other workers via these wireless channels through common APs. For instance, Figure 1 shows a combination network with and . For each , the output function maps the N input files into a streams of U bits, i.e., we have . The map function is defined as . For each , the map function maps the input file into intermediate value (IV) of T bits. Similarly, for every , we define the reduce function as , which maps the N IVs into a stream of U bits. Consequently, the output function is given by
as described in [4,18,20]. Thus, a distributed coded computing scheme for a combination network consists of the following three phases:
Figure 1.
A combination network with , .
•Map Phase: Each worker stores M files, denoted by . We assume that each file is stored the same number of times. Based on its local stored files, worker can compute all the IVs .
•Shuffle Phase: Each worker is assigned to compute an output function , where . In order to obtain all the IVs , the worker needs to request its required IVs from the other workers through their common APs. So, the communication process consists of two phases: uplink and downlink steps. Before the transmission begins, each worker encodes the IVs as using a randomized Gaussian encoding scheme. We assume that the transmission strategy is one-shot linear, i.e., each transmitted coded IV in a transmission could be decoded by any required worker and its local IVs. At each time slot s, in the uplink step, we denote the signal sent from the worker by which satisfies the power constraint . Here, the worker can be silent, i.e., not send any data. Then, each AP receives the following signal:
where and denote the channel coefficients from worker k to AP h and the additive white Gaussian noise, respectively. We assume that is chosen from if worker k is connected to AP h; otherwise, . Additionally, follows a normal distribution if worker k is connected to AP h; otherwise, .
In the downlink step, each AP sends the received coded signal from its connected workers. The goal of the communication is to obtain all the IVs required by each worker , who is arranged to compute the output function .
Specifically, each worker receives the following signal from its connected APs
where is also the additive white Gaussian noise, and if h is connected to k, then follows a normal distribution with ; otherwise, . We can omit the additive noise terms and . This assumption is valid under the condition that the transmit power is sufficiently large to ensure a high signal-to-noise ratio (SNR).
•Reduce Phase: After receiving all the signals sent down by the AP, each worker can decode all its required IVs and compute the arranged output function .
Definition 1.
The following two types of loads are used as criteria for evaluating the merits of a distributed coded computing scheme for combination network:
- Computation load is defined as the total number of mapped files across the K workers, normalized by N, i.e., ;
- Communication load consists of the uplink load , where is the length of the message received by the AP h in the uplink phase, i.e., the total normalized number of bits received by the H APs in the uplink process, and the downlink load where is the length of the message sent by AP h in the downlink phase, i.e., the total normalized number of bits sent by the H APs in the downlink process.
The authors in [21] introduced the CPDA to realize a coded caching scheme for a combination network. In this paper, we will use it to construct our schemes.
Definition 2
(CPDA). For any positive integers H, N, Z and L with and , let , an array over is called a CPDA if it satisfies the following conditions:
- C1.
- The symbol "∗" appears Z times in each column;
- C2.
- Each occurs at least once in the array;
- C3.
- For any two distinct entries and satisfying , then ;
- C4.
- For any , the labels of all columns containing symbol s have a nonempty intersection.
- If each integer occurs exactly g times in , we call it g-regular CPDA.
Let us take the following example to further illustrate the concept of CPDA.
Example 1.
When 4 and 2, let us consider the following array.
Clearly each column has exactly 2 stars, and each integer occurs at least once in . So the conditions C1–2 hold. Let us consider the conditions C3–4. When 1, we can obtain the following subarray:
Clearly, the entries
Therefore, the above two symbols 1 satisfy condition C3. The column labels corresponding to each integer 1 are , , and . Clearly, , which satisfy condition C4. Similarly, we can obtain the subarrays which only contain integers 2, 3, and 4, respectively and show that the conditions C3–4 hold. So, is a CPDA.
There are many constructions of CPDAs in [21,22,23,24]. Here, we list some results which we will use in this paper as follows:
Lemma 1
([21]). For any positive integers H, L, and t satisfying and , there exists a , , CPDA.
Lemma 2
([22]). For any positive integers satisfying , , , and , there exists a CPDA.
3. Main Results
In this section, the baseline scheme is introduced. Then, we characterize the CDC scheme from the view point of a coefficient matrix, thereby obtaining an optimized CDC scheme for the combination network. Finally, we use CPDA to derive the required coefficient matrix, which significantly simplifies the system design and enhances its performance. In addition, we demonstrate that the proposed scheme achieves a lower transmission load than the baseline scheme.
When each output function is computed by exactly one worker, the authors in [25] showed that the CDC problem is equivalent to the coded caching problem for device-to-device (D2D) networks. In addition, the authors in [26] proposed that a coded caching scheme for a shared link can be used to generate a coded caching scheme for a D2D network. Using the same method in [26], we can generate a CDC scheme for a combination network based on the CPDA and obtain the following result.
Theorem 1
(Baseline scheme). Given a g- CPDA with and , there exists a baseline coded distributed computing scheme for a -combination network, with a computation load of and uplink and downlink communication loads of
Proof.
We use the star positions in to assign the files to each worker as follows. When , worker k stores file . So worker k stores the following files:
In the map phase, the set of IVs computed locally by worker k is
According to Definition 1, the computation load is .
Recall that each worker is assigned to compute the output function . From (5), worker k contains the required IVs in and needs the other required IVs in , each of which should be transmitted by the other workers.
Now, we will use the integers in to design the transmission strategy in the shuffle phase. For each integer , we assume that s occurs exactly g times in . That is,
Denote the set of workers associated with s as and their respective connected AP sets as
By the condition C4 of Definition 2, there exists at least one integer, say , satisfying
Recall that in the map phase, each worker can encode the IV into using a random Gaussian coding scheme, where has a size of t bits. To facilitate efficient transmission, each IV in is divided into equal-sized packets. That is,
where denotes the packet of intended for worker .
In the shuffle phase, each worker transmits the following encoded information of length bits to the AP
where represents the sub-slot within time slot s allocated to worker for transmitting its encoded data. Upon receiving the message where the coefficient is the channel coefficient between worker k and AP and is chosen from under the independent and identically distributed condition, the AP broadcasts it to all workers in . Consequently, each worker receives the message
In the reduce phase, each worker needs to compute the output function . By Condition C3 of Definition 2 and Equation (5), each worker already possesses all IVs in except . Therefore, each worker can decode its desired IV from . After time slot s, each worker obtains the IV . After all S time slots, each worker obtains all the missing IVs , which are required to compute the output function . With all the necessary IVs, each worker proceeds to compute and completes the reduce phase.
Now, let us consider the communication load. By Definition 1, the uplink and downlink loads are
Then, the proof is completed. □
3.1. Main Idea
In this subsection, we characterize the CDC scheme under the combination network from a matrix perspective. Our task is to compute output functions, where each worker owns a portion of the input file denoted as .
Map Phase: For each mapped file , worker k computes the IV for all K output functions. Consequently, the set of IVs available at worker is given by
The computation load in the map phase is given by
Shuffle Phase: The shuffle phase consists of two processes: (1) workers upload IVs to the AP via wireless channels, and (2) the AP broadcasts the received IVs to the connected workers. Before transmitting the information, each worker encodes the IV into using a random Gaussian coding scheme. During time slot s, a set of workers uploads IVs to AP . Assuming that the signal sent by worker at time slot s is denoted as , the signal received by AP can be expressed as
where is the channel coefficient matrix for time slot s, and is the transmit signal vector for time slot s. To design , we define as the encoding coefficients for worker . Then,
where is the coefficient matrix for time slot s, and is the vector of encoded IVs. Thus, the message received by AP is
By designing the coefficient matrix , we can control the IVs uploaded by workers to AP , completing the uplink process.
Next, we describe the downlink process. In time slot s, AP broadcasts the received message to its connected workers. Each worker then receives
Using the IVs it already possesses, worker can decode the required information from .
After S time slots, all K workers acquire the missing IVs required for the reduce function. Specifically, each worker obtains
By combining their own IVs , each worker now possesses all the necessary information to compute the output function.
Since the messages in both the uplink and downlink processes are , and assuming each IV has a size of t bits, the communication load per time slot is t bits. According to Definition 1, the total uplink and downlink communication loads are
Reduce Phase: After the shuffle phase, each worker computes the output function using all the IVs they possess.
Theorem 2.
Given an CPDA with , there exists a coded distributed computing scheme under a combination network, with a computation load of and its uplink and downlink communication loads given by
Proof.
We use a CPDA to design both the input file assignment and the coefficient matrix for the shuffle phase.
Before the computation task begins, the input file assigned to each worker is
In the map phase, each worker maps the input file it owns into K IVs . Thus, the IVs at worker are
Since each worker is allocated Z input files, the computation load according to Definition 1 is
Before the shuffle phase, each worker encodes the IV into using a random Gaussian coding scheme, where has a size of t bits. In the shuffle phase, we consider an integer in the CPDA , and suppose s occurs g times in . Let . The set of workers involved in time slot s is , and the APs connected to all workers in are denoted as . An arbitrary AP is selected to handle the uplink and downlink communication in time slot s.
In time slot s, we design the message received by AP as
Let
By linear algebra, i.e., given the row vector , we can always obtain a non-zero column vector of such that the ith coordinate is zero. So, we can always obtain the coefficient matrix in (20).
In the uplink phase, each worker transmits the encoded information to AP . In the downlink phase, AP broadcasts to all workers in . From Condition of Definition 2 and Equation (17), each worker already possesses all IVs in except . Thus, each worker can decode its desired IV from . After S time slots, all K workers obtain the missing IVs necessary for computing the reduce function.
Since the size of each IV is t bits, the communication load per time slot is t bits. The total uplink and downlink communication loads are
In the reduce phase, each worker computes the output function . Since , worker k utilizes the IVs of all N files for the -th output function. After the shuffle phase, each worker is given the IVs needed to compute . Therefore, all workers can compute their assigned output functions. □
3.2. Performance Evaluation
In this subsection, let us consider the performance of the proposed schemes by applying the CPDA in Lemmas 1 and 2 to Theorems 1 and 2, respectively. The resulting schemes are summarized in Table 1 and Table 2 respectively. In the following, let us consider the computation load and communication load of these schemes.
Table 1.
The baseline schemes in Theorem 1.
Table 2.
The main schemes in Theorem 2.
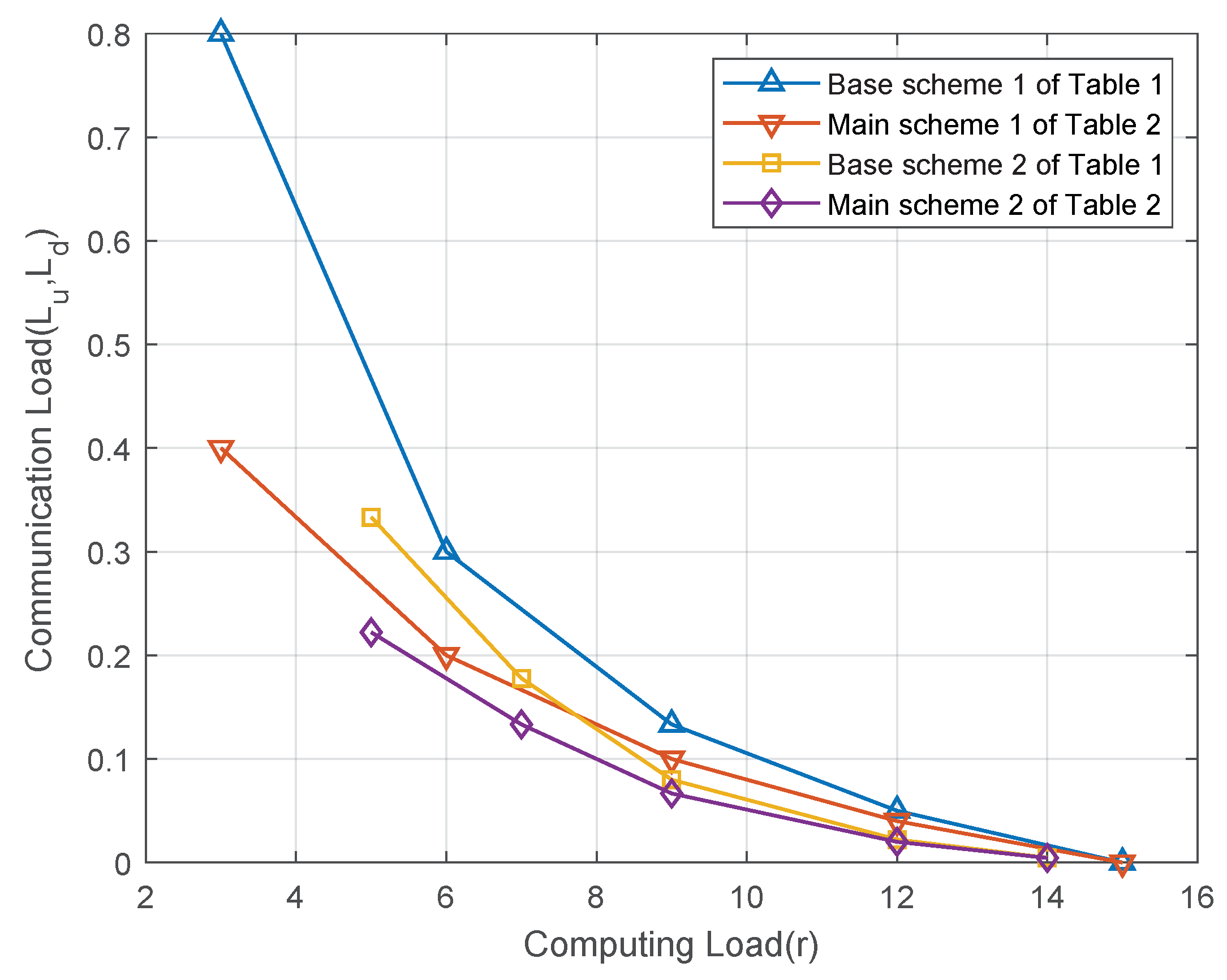
Figure 2 illustrates the relationship between the computation load and the communication load for the schemes in Table 1 and Table 2. Let us consider the distributed computing system with computing nodes and output functions under the -combination network. As shown in Figure 2, when the same class of CPDA is used, the main scheme of Theorem 2 achieves a lower communication load than the base scheme of Theorem 1 for the same computation load. This improvement results from the main scheme’s more efficient utilization of the multicast gain, which reduces the communication load.
3.3. Example for Achievable Scheme
We consider a combinatorial network with , , where and . The tasks to be computed by the 3 workers are , , and , respectively. The workers are denoted as , and the input files are denoted as . Before starting the task, the input files are assigned as follows: to worker 12, to worker 13, and to worker 23.
3.3.1. Map Phase
In the map phase, each worker maps each assigned file into 3 IVs. Specifically:
- Worker 12 owns but lacks .
- Worker 13 owns but lacks .
- Worker 23 owns but lacks .
3.3.2. Shuffle Phase
After the map phase, the shuffle phase begins, where workers exchange IVs via the APs. Each worker encodes the IVs into using a randomized Gaussian coding scheme to ensure reliable transmission over the wireless channel.
- Time Slot 1: Workers 12 and 13 send and to AP 1 simultaneously. AP 1 receives the message , completing the uplink process. AP 1 then broadcasts to workers 12 and 13, who receive and , respectively.
- Time Slot 2: Workers 12 and 23 send and to AP 2 simultaneously. After the uplink and downlink phases, workers 12 and 23 receive and , respectively.
- Time Slot 3: Workers 13 and 23 send and to AP 3 simultaneously. After the uplink and downlink phases, workers 13 and 23 receive and , respectively.
3.3.3. Reduce Phase
In the reduce phase, each worker decodes the missing IVs:
- Worker 12 solves and from and using its own and .
- Worker 13 solves and from and using its own and .
- Worker 23 solves and from and using its own and .
After obtaining all the required IVs, each worker computes its assigned output function.
In this example, the computation load is . Assuming each IV has a size of t bits, the uplink and downlink loads are calculated as .
4. Conclusions
In this paper, we studied the coded distributed computing for -combination networks and provided a comprehensive framework for constructing CDC scheme from the view point of linear algebra. Then, by using CPDAs, we proposed two classes of CDC schemes for the combination network. Finally by comparisons, we showed that the proposed schemes have lower communication loads than the baseline schemes.
Author Contributions
Conceptualization, Y.Y. and X.Q.; Methodology, Y.H.; Software, Y.Y. and S.L.; Formal analysis, X.Q.; Resources, S.L.; Data curation, Y.H. and S.L.; Writing—original draft, Y.Y.; Writing—review & editing, X.Q. All authors have read and agreed to the published version of the manuscript.
Funding
This research was funded by the Key Lab of Education Blockchain and Intelligent Technology, Ministry of Education (EBME24-15).
Institutional Review Board Statement
Not applicable.
Data Availability Statement
The data are available upon request from the corresponding author.
Conflicts of Interest
The authors declare no conflicts of interest.
References
- Dean, J.; Ghemawat, S. MapReduce: Simplified data processing on large clusters. Commun. ACM 2008, 51, 107–113. [Google Scholar] [CrossRef]
- Isard, M.; Budiu, M.; Yu, Y.; Birrell, A.; Fetterly, D. Dryad: Distributed data-parallel programs from sequential building blocks. SIGOPS Oper. Syst. Rev. 2007, 41, 59–72. [Google Scholar] [CrossRef]
- Zaharia, M.; Chowdhury, M.; Franklin, M.J.; Shenker, S.; Stoica, I. Spark: Cluster Computing with Working Sets. In Proceedings of the 2nd USENIX Workshop on Hot Topics in Cloud Computing (HotCloud 10), Boston, MA, USA, 22–25 June 2010. [Google Scholar]
- Li, S.; Maddah-Ali, M.A.; Yu, Q.; Avestimehr, A.S. A Fundamental Tradeoff Between Computation and Communication in Distributed Computing. IEEE Trans. Inf. Theory 2018, 64, 109–128. [Google Scholar] [CrossRef]
- Li, S.; Maddah-Ali, M.A.; Avestimehr, A.S. A Unified Coding Framework for Distributed Computing with Straggling Servers. In Proceedings of the 2016 IEEE Globecom Workshops (GC Wkshps), Washington, DC, USA, 4–8 December 2016; pp. 1–6. [Google Scholar] [CrossRef]
- Yan, Q.; Wigger, M.; Yang, S.; Tang, X. A Fundamental Storage-Communication Tradeoff for Distributed Computing with Straggling Nodes. IEEE Trans. Commun. 2020, 68, 7311–7327. [Google Scholar] [CrossRef]
- Yan, Q.; Wigger, M.; Yang, S.; Tang, X. A Fundamental Storage-Communication Tradeoff in Distributed Computing with Straggling Nodes. In Proceedings of the 2019 IEEE International Symposium on Information Theory (ISIT), Paris, France, 7–12 July 2019; pp. 2803–2807. [Google Scholar] [CrossRef]
- Yu, Q.; Li, S.; Maddah-Ali, M.A.; Avestimehr, A.S. How to optimally allocate resources for coded distributed computing? In Proceedings of the 2017 IEEE International Conference on Communications (ICC), Paris, France, 21–25 May 2017; pp. 1–7. [Google Scholar] [CrossRef]
- Attia, M.A.; Tandon, R. On the worst-case communication overhead for distributed data shuffling. In Proceedings of the 2016 54th Annual Allerton Conference on Communication, Control, and Computing (Allerton), Monticello, IL, USA, 27–30 September 2016; pp. 961–968. [Google Scholar] [CrossRef]
- Attia, M.A.; Tandon, R. Information Theoretic Limits of Data Shuffling for Distributed Learning. In Proceedings of the 2016 IEEE Global Communications Conference (GLOBECOM), Washington, DC, USA, 4–8 December 2016; pp. 1–6. [Google Scholar] [CrossRef]
- Elmahdy, A.; Mohajer, S. On the Fundamental Limits of Coded Data Shuffling. In Proceedings of the 2018 IEEE International Symposium on Information Theory (ISIT), Vail, CO, USA, 17–22 June 2018; pp. 716–720. [Google Scholar] [CrossRef]
- Song, L.; Srinivasavaradhan, S.R.; Fragouli, C. The benefit of being flexible in distributed computation. In Proceedings of the 2017 IEEE Information Theory Workshop (ITW), Kaohsiung, Taiwan, 6–10 November 2017; pp. 289–293. [Google Scholar] [CrossRef]
- Srinivasavaradhan, S.R.; Song, L.; Fragouli, C. Distributed Computing Trade-offs with Random Connectivity. In Proceedings of the 2018 IEEE International Symposium on Information Theory (ISIT), Vail, CO, USA, 17–22 June 2018; pp. 1281–1285. [Google Scholar] [CrossRef]
- Li, F.; Chen, J.; Wang, Z. Wireless MapReduce Distributed Computing. IEEE Trans. Inf. Theory 2019, 65, 6101–6114. [Google Scholar] [CrossRef]
- Parrinello, E.; Lampiris, E.; Elia, P. Coded Distributed Computing with Node Cooperation Substantially Increases Speedup Factors. In Proceedings of the 2018 IEEE International Symposium on Information Theory (ISIT), Vail, CO, USA, 17–22 June 2018; pp. 1291–1295. [Google Scholar] [CrossRef]
- Li, S.; Yu, Q.; Maddah-Ali, M.A.; Avestimehr, A.S. Edge-Facilitated Wireless Distributed Computing. In Proceedings of the 2016 IEEE Global Communications Conference (GLOBECOM), Washington, DC, USA, 4–8 December 2016; pp. 1–7. [Google Scholar] [CrossRef]
- Li, S.; Yu, Q.; Maddah-Ali, M.A.; Avestimehr, A.S. A Scalable Framework for Wireless Distributed Computing. IEEE/ACM Trans. Netw. 2017, 25, 2643–2654. [Google Scholar] [CrossRef]
- Yan, Q.; Tang, X.; Tao, M.; Huang, Q. A Fundamental Tradeoff Among Storage, Computation, and Communication for Distributed Computing Over Star Network. IEEE Trans. Commun. 2023, 71, 5686–5697. [Google Scholar] [CrossRef]
- Ji, M.; Wong, M.F.; Tulino, A.M.; Llorca, J.; Caire, G.; Effros, M.; Langberg, M. On the fundamental limits of caching in combination networks. In Proceedings of the 2015 IEEE 16th International Workshop on Signal Processing Advances in Wireless Communications (SPAWC), Stockholm, Sweden, 28 June–1 July 2015; pp. 695–699. [Google Scholar] [CrossRef]
- Peter, E.; Krishnan Namboodiri, K.K.; Rajan, B.S. Wireless MapReduce Arrays for Coded Distributed Computing. In Proceedings of the 2024 IEEE Information Theory Workshop (ITW), Shenzhen, China, 24–28 November 2024; pp. 163–168. [Google Scholar] [CrossRef]
- Yan, Q.; Wigger, M.; Yang, S. Placement Delivery Array Design for Combination Networks with Edge Caching. In Proceedings of the 2018 IEEE International Symposium on Information Theory (ISIT), Vail, CO, USA, 17–22 June 2018; pp. 1555–1559. [Google Scholar] [CrossRef]
- Cheng, M.; Li, Y.; Zhong, X.; Wei, R. Improved Constructions of Coded Caching Schemes for Combination Networks. IEEE Trans. Commun. 2020, 68, 5965–5975. [Google Scholar] [CrossRef]
- Huang, L.; Wang, J.; Cheng, M.; Deng, Q.; Zhong, B. Coded Caching for Combination Networks with Multiaccess. Information 2022, 13, 191. [Google Scholar] [CrossRef]
- Zhang, M.; Cheng, M.; Wu, Y.; Li, X. Coded Caching for Dense-User Combination Network in Binary Field. IEEE Trans. Commun. 2024, 72, 2716–2730. [Google Scholar] [CrossRef]
- Ji, M.; Caire, G.; Molisch, A.F. Fundamental Limits of Caching in Wireless D2D Networks. IEEE Trans. Inf. Theory 2016, 62, 849–869. [Google Scholar] [CrossRef]
- Wang, J.; Cheng, M.; Yan, Q.; Tang, X. Placement Delivery Array Design for Coded Caching Scheme in D2D Networks. IEEE Trans. Commun. 2019, 67, 3388–3395. [Google Scholar] [CrossRef]
Disclaimer/Publisher’s Note: The statements, opinions and data contained in all publications are solely those of the individual author(s) and contributor(s) and not of MDPI and/or the editor(s). MDPI and/or the editor(s) disclaim responsibility for any injury to people or property resulting from any ideas, methods, instructions or products referred to in the content. |
© 2025 by the authors. Licensee MDPI, Basel, Switzerland. This article is an open access article distributed under the terms and conditions of the Creative Commons Attribution (CC BY) license (https://creativecommons.org/licenses/by/4.0/).

