Research on Depression Recognition Model and Its Temporal Characteristics Based on Multiscale Entropy of EEG Signals
Abstract
1. Introduction
- The feasibility of applying EEG-based multiscale analysis to depression recognition is demonstrated;
- The machine learning models are trained and verified on various temporal scales and classifiers to select the optimal configurations;
- The relation between model performance/complexity and temporal scale variation is investigated.
2. Materials and Methods
2.1. Dataset Description
2.2. Pre-Processing
2.3. Multiscale Analysis
2.4. Refined Composite Multiscale Sample Entropy (RCMSE)
- Specify a temporal scale and calculate the reconstruction sequence on each scale from 1 to according to (1), denoted as {}, where .
- According to the definition of traditional sample entropy [11], the numbers of matching vectors of are calculated for each temporal scale k, denoted as and , where m is the embedding dimension.
- Let and represent the mean of the matching vectors over all scales, i.e.,
- Following the concept of sample entropy, the RCMSE is defined aswhere x is the original sequence, is the scale factor, m is the embedding dimension, and r is the noise threshold. According to (2), the entropy value will be undefined only when and both take zero at all scales. Thus, RCMSE overcomes a key flaw in the original multiscale method. In our experiment, m was set to 2 and r was set to 0.15 ( represents the standard deviation of a signal), which is a commonly used parameter combination for sample entropy in physiological signal research [4,14].
2.5. Refined Composite Multiscale Permutation Entropy (RCMPE)
- Specify a temporal scale and calculate the reconstruction sequence on each scale from 1 to according to (1), denoted as {}, where .
- According to the definition of traditional permutation entropy [12], the frequency sets of are calculated for each temporal scale k, denoted as {}, where m is the embedding dimension and is the possible arrangement pattern. The number of patterns is up to m!.
- Let {} represent the mean of the frequency sets over all scales, i.e.,
- Following the concept of permutation entropy, the RCMPE is defined aswhere x is the original sequence, is the scale factor, and m is the embedding dimension. It is appropriate to set according to established theories [15,16]. In this study, m was specified as 4, corresponding to possible permutation patterns, which can reduce the calculation cost and retain the reliability of entropy estimation.
2.6. Feature Construction
2.7. Classification
2.8. Evaluation Metrics
3. Results
4. Discussion
4.1. Optimization Analysis
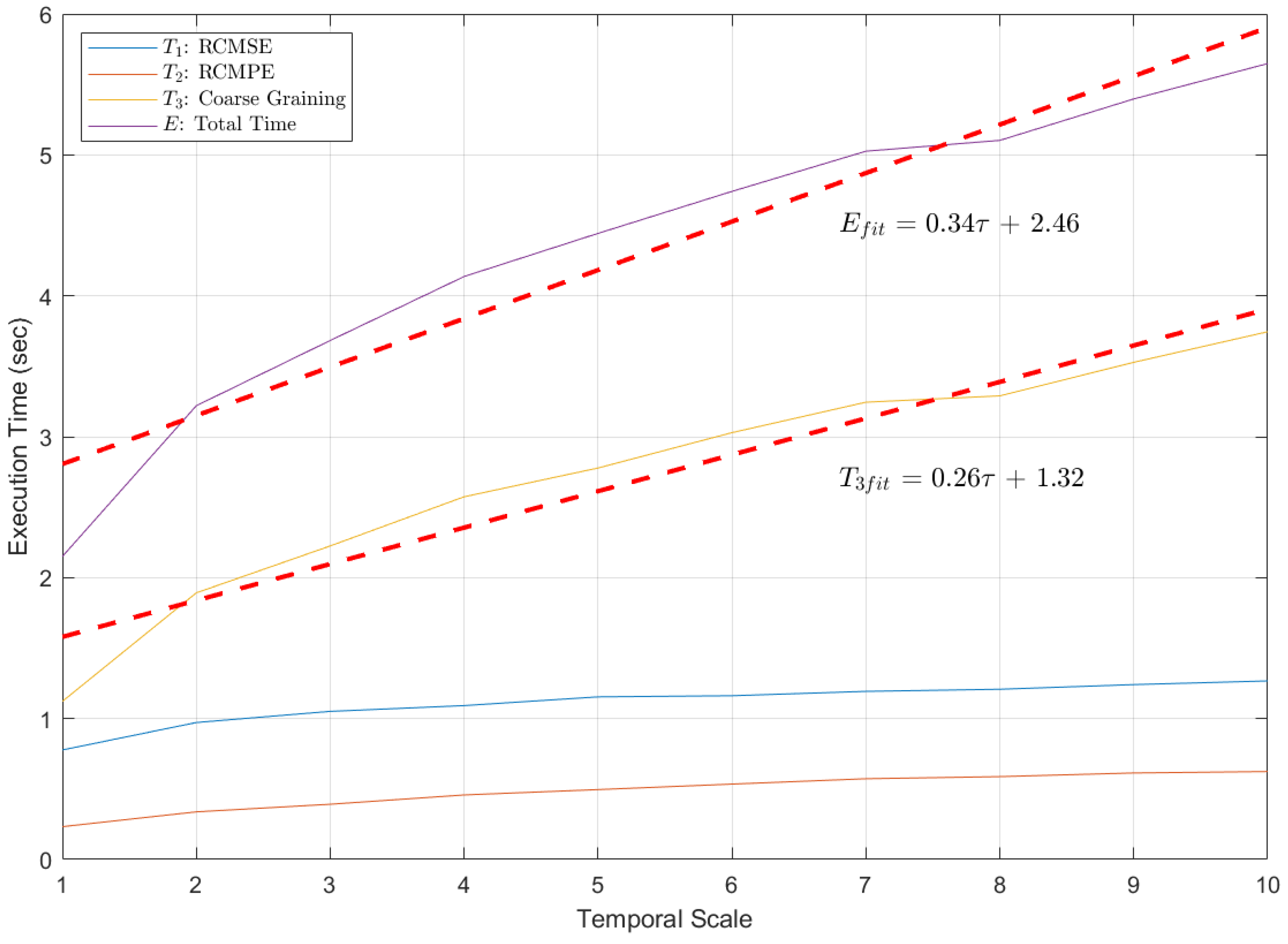
4.2. Time Complexity
4.3. Limitations and Prospects
5. Conclusions
Author Contributions
Funding
Institutional Review Board Statement
Informed Consent Statement
Data Availability Statement
Conflicts of Interest
References
- Dev, A.; Roy, N.; Islam, M.K.; Biswas, C.; Ahmed, H.U.; Amin, M.A.; Sarker, F.; Vaidyanathan, R.; Mamun, K.A. Exploration of EEG-based depression biomarkers identification techniques and their applications: A systematic review. IEEE Access 2022, 10, 16756–16781. [Google Scholar] [CrossRef]
- Liu, Y.; Pu, C.; Xia, S.; Deng, D.; Wang, X.; Li, M. Machine learning approaches for diagnosing depression using EEG: A review. Transl. Neurosci. 2022, 13, 224–235. [Google Scholar] [CrossRef] [PubMed]
- Costa, M.; Goldberger, A.L.; Peng, C.K. Multiscale entropy analysis of complex physiologic time series. Phys. Rev. Lett. 2002, 89, 068102. [Google Scholar] [CrossRef] [PubMed]
- Angsuwatanakul, T.; O’Reilly, J.; Ounjai, K.; Kaewkamnerdpong, B.; Iramina, K. Multiscale entropy as a new feature for EEG and fNIRS analysis. Entropy 2020, 22, 189. [Google Scholar] [CrossRef]
- Zou, S.; Qiu, T.; Huang, P.; Bai, X.; Liu, C. Constructing multi-scale entropy based on the empirical mode decomposition (EMD) and its application in recognizing driving fatigue. J. Neurosci. Methods 2020, 341, 108691. [Google Scholar] [CrossRef]
- Jaworska, N.; Wang, H.; Smith, D.M.; Blier, P.; Knott, V.; Protzner, A.B. Pre-treatment EEG signal variability is associated with treatment success in depression. NeuroImage Clin. 2018, 17, 368–377. [Google Scholar] [CrossRef]
- Yun, S.; Jeong, B. Aberrant EEG signal variability at a specific temporal scale in major depressive disorder. Clin. Neurophysiol. 2021, 132, 1866–1877. [Google Scholar] [CrossRef]
- Humeau-Heurtier, A.; Wu, C.W.; Wu, S.D. Refined composite multiscale permutation entropy to overcome multiscale permutation entropy length dependence. IEEE Signal Process. Lett. 2015, 22, 2364–2367. [Google Scholar] [CrossRef]
- Mumtaz, W.; Xia, L.; Mohd Yasin, M.A.; Azhar Ali, S.S.; Malik, A.S. A wavelet-based technique to predict treatment outcome for major depressive disorder. PLoS ONE 2017, 12, e0171409. [Google Scholar] [CrossRef]
- Jung, T.P.; Makeig, S.; Humphries, C.; Lee, T.W.; Mckeown, M.J.; Iragui, V.; Sejnowski, T.J. Removing electroencephalographic artifacts by blind source separation. Psychophysiology 2000, 37, 163–178. [Google Scholar] [CrossRef]
- Richman, J.S.; Moorman, J.R. Physiological time-series analysis using approximate entropy and sample entropy. Am. J. Physiol.-Heart Circ. Physiol. 2000, 278, H2039–H2049. [Google Scholar] [CrossRef] [PubMed]
- Bandt, C.; Pompe, B. Permutation entropy: A natural complexity measure for time series. Phys. Rev. Lett. 2002, 88, 174102. [Google Scholar] [CrossRef] [PubMed]
- Wu, S.D.; Wu, C.W.; Lin, S.G.; Lee, K.Y.; Peng, C.K. Analysis of complex time series using refined composite multiscale entropy. Phys. Lett. A 2014, 378, 1369–1374. [Google Scholar] [CrossRef]
- Čukić, M.; Stokić, M.; Simić, S.; Pokrajac, D. The successful discrimination of depression from EEG could be attributed to proper feature extraction and not to a particular classification method. Cogn. Neurodyn. 2020, 14, 443–455. [Google Scholar] [CrossRef]
- Zanin, M.; Zunino, L.; Rosso, O.A.; Papo, D. Permutation entropy and its main biomedical and econophysics applications: A review. Entropy 2012, 14, 1553. [Google Scholar] [CrossRef]
- Franka, M.; Edthofer, A.; Körner, A.; Widmann, S.; Fenzl, T.; Schneider, G.; Kreuzer, M. An in-depth analysis of parameter settings and probability distributions of specific ordinal patterns in the Shannon permutation entropy during different states of consciousness in humans. J. Clin. Monit. Comput. 2024, 38, 385–397. [Google Scholar] [CrossRef]
- Cuesta Frau, D. Permutation entropy: Influence of amplitude information on time series classification performance. Math. Biosci. Eng. 2019, 16, 6842–6857. [Google Scholar] [CrossRef]
- Shen, J.; Zhao, S.; Yao, Y.; Wang, Y.; Feng, L. A novel depression detection method based on pervasive EEG and EEG splitting criterion. In Proceedings of the 2017 IEEE International Conference on Bioinformatics and Biomedicine (BIBM), Kansas City, MO, USA, 13–16 November 2017; pp. 1879–1886. [Google Scholar] [CrossRef]
- Avots, E.; Jermakovs, K.; Bachmann, M.; Päeske, L.; Ozcinar, C.; Anbarjafari, G. Ensemble approach for detection of depression using EEG features. Entropy 2022, 24, 211. [Google Scholar] [CrossRef]
- Shen, J.; Zhang, Y.; Liang, H.; Zhao, Z.; Zhu, K.; Qian, K.; Dong, Q.; Zhang, X.; Hu, B. Depression recognition from EEG signals using an adaptive channel fusion method via improved focal loss. IEEE J. Biomed. Health Inform. 2023, 27, 3234–3245. [Google Scholar] [CrossRef]
- Lau, Z.J.; Pham, T.; Chen, S.A.; Makowski, D. Brain entropy, fractal dimensions and predictability: A review of complexity measures for EEG in healthy and neuropsychiatric populations. Eur. J. Neurosci. 2022, 56, 5047–5069. [Google Scholar] [CrossRef]
- Lin, W.; Li, C. Review of studies on emotion recognition and judgment based on physiological signals. Appl. Sci. 2023, 13, 2573. [Google Scholar] [CrossRef]
- Jiang, C.; Li, Y.; Tang, Y.; Guan, C. Enhancing EEG-based classification of depression patients using spatial information. IEEE Trans. Neural Syst. Rehabil. Eng. 2021, 29, 566–575. [Google Scholar] [CrossRef] [PubMed]
- Liu, S.; Liu, X.; Yan, D.; Chen, S.; Liu, Y.; Hao, X.; Ou, W.; Huang, Z.; Su, F.; He, F.; et al. Alterations in patients with first-episode depression in the eyes-open and eyes-closed conditions: A resting-state EEG study. IEEE Trans. Neural Syst. Rehabil. Eng. 2022, 30, 1019–1029. [Google Scholar] [CrossRef]
- Yang, J.; Zhang, Z.; Fu, Z.; Li, B.; Xiong, P.; Liu, X. Cross-subject classification of depression by using multiparadigm EEG feature fusion. Comput. Methods Programs Biomed. 2023, 233, 107360. [Google Scholar] [CrossRef] [PubMed]
- Movahed, R.A.; Jahromi, G.P.; Shahyad, S.; Meftahi, G.H. A major depressive disorder classification framework based on EEG signals using statistical, spectral, wavelet, functional connectivity, and nonlinear analysis. J. Neurosci. Methods 2021, 358, 109209. [Google Scholar] [CrossRef]
- Xu, X.; Nie, X.; Zhang, J.; Xu, T. Multi-Level Attention Recognition of EEG Based on Feature Selection. Int. J. Environ. Res. Public Health 2023, 20, 3487. [Google Scholar] [CrossRef]
- Cui, J.; Yuan, L.; Wang, Z.; Li, R.; Jiang, T. Towards best practice of interpreting deep learning models for EEG-based brain computer interfaces. Front. Comput. Neurosci. 2023, 17, 1232925. [Google Scholar] [CrossRef]
- Wang, S.; Li, Y.; Noman, K.; Li, Z.; Feng, K.; Liu, Z.; Deng, Z. Multivariate multiscale dispersion Lempel–Ziv complexity for fault diagnosis of machinery with multiple channels. Inf. Fusion 2024, 104, 102152. [Google Scholar] [CrossRef]
- Miljevic, A.; Bailey, N.W.; Murphy, O.W.; Perera, M.P.N.; Fitzgerald, P.B. Alterations in EEG functional connectivity in individuals with depression: A systematic review. J. Affect. Disord. 2023, 328, 287–302. [Google Scholar] [CrossRef]
- Kosciessa, J.Q.; Kloosterman, N.A.; Garrett, D.D. Standard multiscale entropy reflects neural dynamics at mismatched temporal scales: What’s signal irregularity got to do with it? PLoS Comput. Biol. 2020, 16, e1007885. [Google Scholar] [CrossRef]
- Sharpley, C.F.; Bitsika, V.; Shadli, S.M.; Jesulola, E.; Agnew, L.L. EEG frontal lobe asymmetry as a function of sex, depression severity, and depression subtype. Behav. Brain Res. 2023, 443, 114354. [Google Scholar] [CrossRef] [PubMed]
- Morabito, F.C.; Labate, D.; Foresta, F.L.; Bramanti, A.; Morabito, G.; Palamara, I. Multivariate multi-scale permutation entropy for complexity analysis of Alzheimer’s disease EEG. Entropy 2012, 14, 1186–1202. [Google Scholar] [CrossRef]








| Classifier | = 1 | = 2 | = 3 | = 4 | = 5 | = 6 | = 7 | = 8 | = 9 | = 10 |
|---|---|---|---|---|---|---|---|---|---|---|
| LDA | 85.27% | 83.84% | 86.39% | 85.59% | 84.95% | 84.00% | 85.11% | 85.51% | 85.59% | 85.83% |
| LR | 83.84% | 83.84% | 87.26% | 85.51% | 83.92% | 83.52% | 84.32% | 84.55% | 84.39% | 84.71% |
| RBF-SVM | 94.11% | 95.46% | 95.46% | 95.22% | 94.59% | 94.43% | 95.14% | 95.30% | 95.46% | 95.14% |
| KNN | 93.63% | 94.27% | 94.59% | 94.27% | 93.07% | 93.31% | 94.35% | 95.06% | 96.42% | 94.51% |
| Classifier | = 1 | = 2 | = 3 | = 4 | = 5 | = 6 | = 7 | = 8 | = 9 | = 10 |
|---|---|---|---|---|---|---|---|---|---|---|
| LDA | 78.01% | 75.53% | 80.31% | 79.35% | 78.20% | 77.25% | 79.54% | 79.16% | 79.73% | 80.31% |
| LR | 77.06% | 78.20% | 82.79% | 80.31% | 78.97% | 78.97% | 79.16% | 79.35% | 79.73% | 80.50% |
| RBF-SVM | 89.87% | 91.01% | 93.50% | 93.31% | 91.20% | 94.07% | 93.69% | 94.07% | 93.88% | 93.69% |
| KNN | 90.06% | 89.87% | 90.06% | 90.25% | 87.57% | 89.67% | 91.20% | 92.54% | 93.88% | 91.20% |
| Classifier | = 1 | = 2 | = 3 | = 4 | = 5 | = 6 | = 7 | = 8 | = 9 | = 10 |
|---|---|---|---|---|---|---|---|---|---|---|
| LDA | 90.45% | 89.77% | 90.72% | 90.04% | 89.77% | 88.81% | 89.09% | 90.04% | 89.77% | 89.77% |
| LR | 88.68% | 87.86% | 90.45% | 89.22% | 87.45% | 86.77% | 87.99% | 88.27% | 87.72% | 87.72% |
| RBF-SVM | 97.14% | 98.64% | 96.86% | 96.59% | 97.00% | 94.68% | 96.18% | 96.18% | 96.59% | 96.18% |
| KNN | 96.18% | 97.41% | 97.82% | 97.14% | 97.00% | 95.91% | 96.59% | 96.86% | 98.23% | 96.86% |
| Classifier | = 1 | = 2 | = 3 | = 4 | = 5 | = 6 | = 7 | = 8 | = 9 | = 10 |
|---|---|---|---|---|---|---|---|---|---|---|
| LDA | 0.815 | 0.796 | 0.831 | 0.821 | 0.812 | 0.801 | 0.816 | 0.820 | 0.822 | 0.825 |
| LR | 0.799 | 0.801 | 0.844 | 0.822 | 0.804 | 0.800 | 0.808 | 0.811 | 0.810 | 0.814 |
| RBF-SVM | 0.927 | 0.944 | 0.945 | 0.942 | 0.933 | 0.934 | 0.941 | 0.943 | 0.945 | 0.941 |
| KNN | 0.922 | 0.929 | 0.933 | 0.929 | 0.913 | 0.918 | 0.931 | 0.940 | 0.956 | 0.933 |
| Electrode | = 1 | = 2 | = 3 | = 4 | = 5 | = 6 | = 7 | = 8 | = 9 | = 10 |
|---|---|---|---|---|---|---|---|---|---|---|
| Fp1 | ||||||||||
| F3 | ||||||||||
| C3 | ||||||||||
| P3 | ||||||||||
| O1 | ||||||||||
| F7 | ||||||||||
| T3 | ||||||||||
| T5 | ||||||||||
| Fz | ||||||||||
| Fp2 | ||||||||||
| F4 | ||||||||||
| C4 | ||||||||||
| P4 | ||||||||||
| O2 | ||||||||||
| F8 | ||||||||||
| T4 | ||||||||||
| T6 | ||||||||||
| Cz | ||||||||||
| Pz |
| Electrode | = 1 | = 2 | = 3 | = 4 | = 5 | = 6 | = 7 | = 8 | = 9 | = 10 |
|---|---|---|---|---|---|---|---|---|---|---|
| Fp1 | ||||||||||
| F3 | ||||||||||
| C3 | ||||||||||
| P3 | ||||||||||
| O1 | ||||||||||
| F7 | ||||||||||
| T3 | ||||||||||
| T5 | ||||||||||
| Fz | ||||||||||
| Fp2 | ||||||||||
| F4 | ||||||||||
| C4 | ||||||||||
| P4 | ||||||||||
| O2 | ||||||||||
| F8 | ||||||||||
| T4 | ||||||||||
| T6 | ||||||||||
| Cz | ||||||||||
| Pz |
| Accuracy | Sensitivity | Specificity | F1-Score |
|---|---|---|---|
| = 9 in KNN | = 6/8 in SVM | = 2 in SVM | = 9 in KNN |
| = 3 (average) | = 9 (average) | = 3 (average) | = 3 (average) |
| Authors | Year | Feature | Classifier | Accuracy |
|---|---|---|---|---|
| Yun et al. [7] | 2021 | RCMPE | LR | 75% (LOOCV 1) |
| Čukić et al. [14] | 2020 | HFD, Sample Entropy | MLP, LR, SVM, DT, RF, Naive Bayes | 90.24–97.56% |
| Jiang et al. [23] | 2021 | TCSP + Differential Entropy | LR, SVM, KNN | 84–85.7% |
| Liu et al. [24] | 2022 | Band Power, LZC, DFA | LDA, LR, SVM | 89.29% (average) |
| Avots et al. [19] | 2022 | Relative Band Power, Alpha Power Variability, Spectral Asymmetry Index, HFD, LZC, DFA | SVM, LDA, DT, Naive Bayes | 80–95% |
| Yang et al. [25] | 2023 | LZC | SVM, KNN, DT | 94.03% (highest) |
| The proposed method | - | RCMSE, RCMPE | LDA, LR, RBF-SVM, KNN | 96.42% (highest), 90.92% (average) |
Disclaimer/Publisher’s Note: The statements, opinions and data contained in all publications are solely those of the individual author(s) and contributor(s) and not of MDPI and/or the editor(s). MDPI and/or the editor(s) disclaim responsibility for any injury to people or property resulting from any ideas, methods, instructions or products referred to in the content. |
© 2025 by the authors. Licensee MDPI, Basel, Switzerland. This article is an open access article distributed under the terms and conditions of the Creative Commons Attribution (CC BY) license (https://creativecommons.org/licenses/by/4.0/).
Share and Cite
Xu, X.; Xu, J.; Du, R.; Xu, T. Research on Depression Recognition Model and Its Temporal Characteristics Based on Multiscale Entropy of EEG Signals. Entropy 2025, 27, 142. https://doi.org/10.3390/e27020142
Xu X, Xu J, Du R, Xu T. Research on Depression Recognition Model and Its Temporal Characteristics Based on Multiscale Entropy of EEG Signals. Entropy. 2025; 27(2):142. https://doi.org/10.3390/e27020142
Chicago/Turabian StyleXu, Xin, Jiangnan Xu, Ruoyu Du, and Tingting Xu. 2025. "Research on Depression Recognition Model and Its Temporal Characteristics Based on Multiscale Entropy of EEG Signals" Entropy 27, no. 2: 142. https://doi.org/10.3390/e27020142
APA StyleXu, X., Xu, J., Du, R., & Xu, T. (2025). Research on Depression Recognition Model and Its Temporal Characteristics Based on Multiscale Entropy of EEG Signals. Entropy, 27(2), 142. https://doi.org/10.3390/e27020142

