A New Lower Bound for Noisy Permutation Channels via Divergence Packing †
Abstract
1. Introduction
- We present a new nonasymptotic achievability bound for noisy permutation channels that have strictly positive square matrices W with full rank. The two main ingredients of our proof are the following: the -packing [10,11] with Kullback–Leibler (KL) divergence as a distance, and an analysis for the error events that decouple the union of error events from the message set. Additionally, this new bound is stronger than existing bounds ([1] Equation (36)).
- We show that the finite blocklength achievable code size can be approximated bywhere , , and is the channel volume ratio.
- To complement these results and assist in understanding them, we particularize all these results to typical DMCs, i.e., BSC and BEC permutation channels. Additionally, our Gaussian approximations, through numerical results, lead to tight approximations of the achievable code size for blocklengths n as short as 100 in these cases.
1.1. Motivation and Application
- (a)
- Communication Networks: First, noisy permutation channels are a suitable model for the multipath routed network in which packets arrive at different delays [12,13]. In such networks, data packets within the same group often take paths of differing lengths, bandwidths, and congestion levels as they traverse the network to the receiver. Consequently, transmission delays exhibit unpredictable variations, causing these packets to arrive at their destination in a potentially different order from their original sending sequence. Moreover, during transmission, data packets may be lost or corrupted due to reasons such as link failures or buffer overflow. Treating all possible packets as the input alphabet, this scenario fits the noisy permutation channel model.
- (b)
- DNA Storage Systems: The DNA storage systems, known for their high density and reliability over long periods, are another motivation for our research [14,15,16]. Such a system can be seen as an out-of-order communication channel [1,14,17]. The source data is written onto DNA molecules (or codeword strings) consisting of letters from an alphabet of four nucleotides . Due to physical conditions causing random fragmentation of DNA molecules, long-read sequencing technology, such as nanopore sequencing [18], is employed at the receiver to read entire randomly permuted DNA molecules. In the noisy permutation channel, the DMC matrix models potential errors during the synthesis and storage of DNA molecules, followed by a random permutation block that represents the random permutation of DNA molecules. For a comprehensive overview of DNA storage systems, see [1,14]; studies presenting specific DNA-based storage coding schemes include [17,19,20].
1.2. Notation
2. System Model
3. Message Set and Divergence Packing
3.1. Binary Case
3.2. General Case
4. New Bounds on Rate
4.1. Overlapping of Error Events
4.2. Equivalent Expression
4.3. Main Result: New Lower Bound
4.4. BSC Permutation Channels
4.5. BEC Permutation Channels
5. Gaussian Approximation
5.1. Auxiliary Lemmata
5.2. Main Result: Gaussian Approximation
5.3. Approximation of BSC and BEC Permutation Channels
6. Numerical Results
6.1. Precision of the Gaussian Approximation
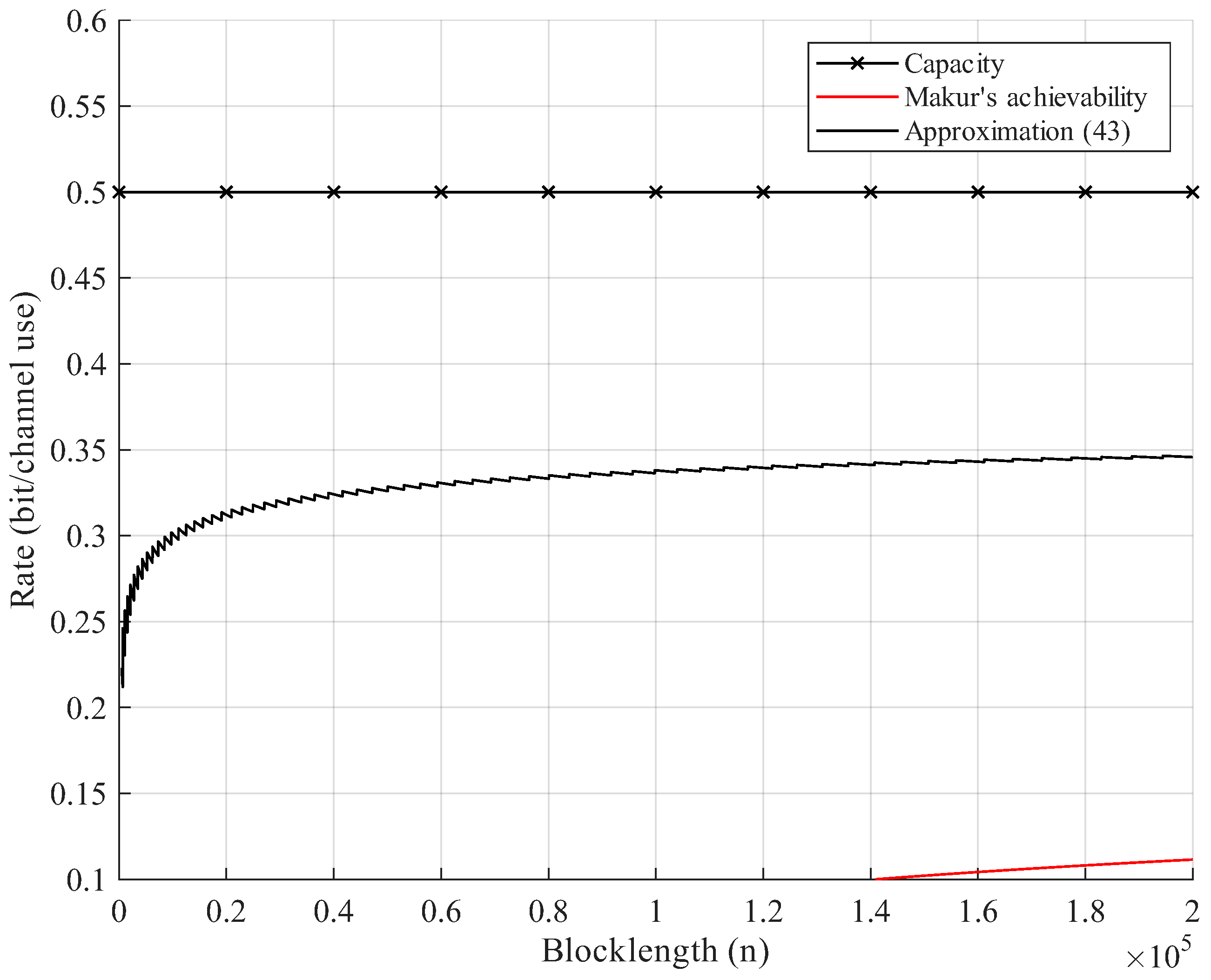
6.2. Comparison with Existing Bound
7. Conclusions and Discussion
Author Contributions
Funding
Data Availability Statement
Conflicts of Interest
Appendix A. Divergence Packing
Appendix A.1. Proof of Proposition 1
Appendix A.2. Proof of Theorem 1
- (A7) holds since this projection can remove any y-th dimension, where . Consequently, the lower bound is given by taking the maximum of the volume ratio over ;
Appendix B. Proof of Lemma 1
Appendix C. Proof of Theorem 2
- (A24) follows from we regard the equality case, , as an error event though the ML decoder might return the correct message;
- (A25) follows from Lemma 2;
- (A26) follows from the union bound.
Appendix D. Properties of and
Appendix D.1. Proof of Lemma 4
- (A35) simply expand the variance;
Appendix D.2. Proof of Lemma 5
Appendix E. Proof of Theorem 4
- (A55) holds for suitable by Theorem 1 and Taylor’s formula of .
References
- Makur, A. Coding Theorems for Noisy Permutation Channels. IEEE Trans. Inf. Theory 2020, 66, 6723–6748. [Google Scholar] [CrossRef]
- Makur, A. Bounds on Permutation Channel Capacity. In Proceedings of the 2020 IEEE International Symposium on Information Theory (ISIT), Los Angeles, CA, USA, 21–26 June 2020; pp. 762–766. [Google Scholar]
- Tang, J.; Polyanskiy, Y. Capacity of Noisy Permutation Channels. IEEE Trans. Inf. Theory 2023, 69, 4145–4162. [Google Scholar] [CrossRef]
- Feng, L.; Wang, B.; Lv, G.; Li, X.; Wang, L.; Jin, Y. New Upper Bounds for Noisy Permutation Channels. IEEE Trans. Commun. 2025, 73, 7478–7492. [Google Scholar] [CrossRef]
- Strassen, V. Asymptotic Estimates in Shannon’s Information Theory. In Proceedings of the Transactions of the Third Prague Conference on Information Theory, Prague, Czech Republic, 5–13 June 1962; pp. 689–723. [Google Scholar]
- Hayashi, M. Information Spectrum Approach to Second-Order Coding Rate in Channel Coding. IEEE Trans. Inf. Theory 2009, 55, 4947–4966. [Google Scholar] [CrossRef]
- Polyanskiy, Y.; Poor, H.V.; Verdu, S. Channel Coding Rate in the Finite Blocklength Regime. IEEE Trans. Inf. Theory 2010, 56, 2307–2359. [Google Scholar] [CrossRef]
- Polyanskiy, Y.; Yihong, W. Information Theory: From Coding to Learning; Cambridge University Press: Cambridge, UK, 2023. [Google Scholar]
- Polyanskiy, Y. Channel Coding: Non-Asymptotic Fundamental Limits. Ph.D. Thesis, Princeton University, Princeton, NJ, USA, 2010. [Google Scholar]
- Kolmogorov, A.N. Selected Works of A. N. Kolmogorov. Mathematics and Its Applications; Springer: Dordrecht, The Netherlands, 1993. [Google Scholar]
- Yuhong, Y.; Andrew, B. Information-theoretic determination of minimax rates of convergence. Ann. Stat. 1999, 27, 1564–1599. [Google Scholar]
- John, W.; Steven, W.; Wa, M. Optimal rate delay tradeoffs for multipath routed and network coded networks. In Proceedings of the 2008 IEEE International Symposium on Information Theory (ISIT), Toronto, ON, Canada, 7–12 June 2008. [Google Scholar]
- John, W.; Steven, W.; Wa, M. Optimal Rate–Delay Tradeoffs and Delay Mitigating Codes for Multipath Routed and Network Coded Networks. IEEE Trans. Inf. Theory 2009, 55, 5491–5510. [Google Scholar]
- Yazdi, S.M.; Hossein, T.; Han, M.; Garcia, R. DNA-Based Storage: Trends and Methods. IEEE Trans. Mol. Biol. Multi-Scale Commun. 2015, 1, 230–248. [Google Scholar] [CrossRef]
- Erlich, T.; Zielinski, D. DNA Fountain enables a robust and efficient storage architecture. Science 2017, 355, 950–954. [Google Scholar] [CrossRef] [PubMed]
- Heckel, R.; Shomorony, I.; Ramchandran, K.; Tse, D.N.C. Fundamental limits of DNA storage systems. In Proceedings of the 2017 IEEE International Symposium on Information Theory (ISIT), Aachen, Germany, 25–30 June 2017; pp. 3130–3134. [Google Scholar]
- Kovačević, M.; Tan, V.Y. Codes in the Space of Multisets—Coding for Permutation Channels with Impairments. IEEE Trans. Inf. Theory 2018, 64, 5156–5169. [Google Scholar] [CrossRef]
- Laver, T.; Harrison, J.; Moore, K.; Farbos, A.; Paszkiewicz, K.; Studholme, D. Assessing the performance of the oxford nanopore technologies minion. J. Mol. Biol. 2015, 3, 1–8. [Google Scholar] [CrossRef] [PubMed]
- Kovačević, M.; Tan, V.Y. Asymptotically optimal codes correcting fixed-length duplication errors in DNA storage systems. IEEE Commun. Lett. 2018, 22, 2194–2197. [Google Scholar] [CrossRef]
- Kiah, M.H.; Puleo, G.; Milenkovic, O. Codes for DNA sequence profiles. IEEE Trans. Inf. Theory 2016, 62, 3125–3146. [Google Scholar] [CrossRef]
- Evans, W.; Kenyon, C.; Peres, Y.; Schulman, L.J. Broadcasting on trees and the Ising model. Ann. Appl. Prob. 2000, 410–433. [Google Scholar] [CrossRef]
- Feller, W. An Introduction to Probability Theory and Its Applications; Wiley: New York, NY, USA, 1971. [Google Scholar]
- Stein, P. A Note on the Volume of a Simplex. Am. Math. Mon. 1966, 73, 299. [Google Scholar] [CrossRef]
- Jennifer, T. Divergence Covering. Ph.D. Thesis, Massachusetts Institute of Technology, Cambridge, MA, USA, 2021. [Google Scholar]






Disclaimer/Publisher’s Note: The statements, opinions and data contained in all publications are solely those of the individual author(s) and contributor(s) and not of MDPI and/or the editor(s). MDPI and/or the editor(s) disclaim responsibility for any injury to people or property resulting from any ideas, methods, instructions or products referred to in the content. |
© 2025 by the authors. Licensee MDPI, Basel, Switzerland. This article is an open access article distributed under the terms and conditions of the Creative Commons Attribution (CC BY) license (https://creativecommons.org/licenses/by/4.0/).
Share and Cite
Feng, L.; Lv, G.; Li, X.; Jin, Y. A New Lower Bound for Noisy Permutation Channels via Divergence Packing. Entropy 2025, 27, 1101. https://doi.org/10.3390/e27111101
Feng L, Lv G, Li X, Jin Y. A New Lower Bound for Noisy Permutation Channels via Divergence Packing. Entropy. 2025; 27(11):1101. https://doi.org/10.3390/e27111101
Chicago/Turabian StyleFeng, Lugaoze, Guocheng Lv, Xunan Li, and Ye Jin. 2025. "A New Lower Bound for Noisy Permutation Channels via Divergence Packing" Entropy 27, no. 11: 1101. https://doi.org/10.3390/e27111101
APA StyleFeng, L., Lv, G., Li, X., & Jin, Y. (2025). A New Lower Bound for Noisy Permutation Channels via Divergence Packing. Entropy, 27(11), 1101. https://doi.org/10.3390/e27111101

