Contrast Analysis on Spin Transport of Multi-Periodic Exotic States in the XXZ Chain
Abstract
1. Introduction
2. Theoretical Framework and Numerical Methods
2.1. One-Dimensional XXZ Spin Model
- Easy-plane regime : The system has U(1) symmetry. Geometrically, this corresponds to rotational invariance exclusively around the z-axis in spin space.
- Isotropic point : The system has SU(2) symmetry. This higher symmetry implies invariance under arbitrary global rotations in spin space, which is analogous to the full rotational symmetry of a sphere. It signifies the conservation of all components of the total spin.
- Easy-axis regime : The system has Z(2) symmetry, which breaks rotational invariance in the x-y plane and exhibits spatial inversion symmetry along the z-axis.
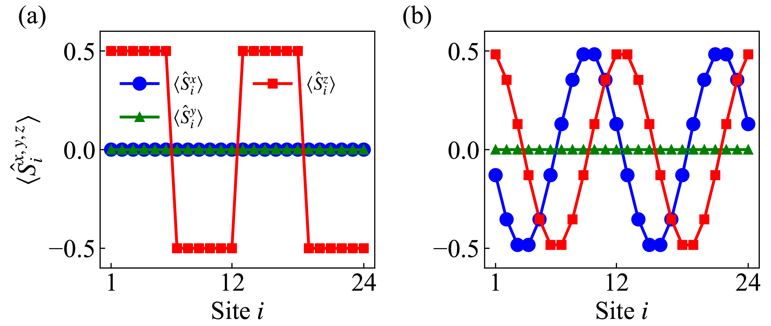
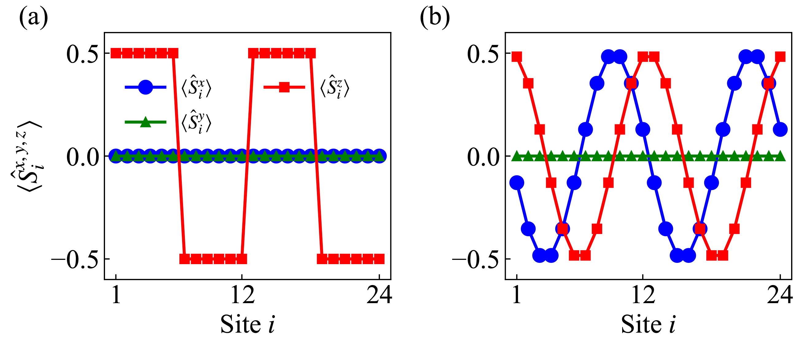
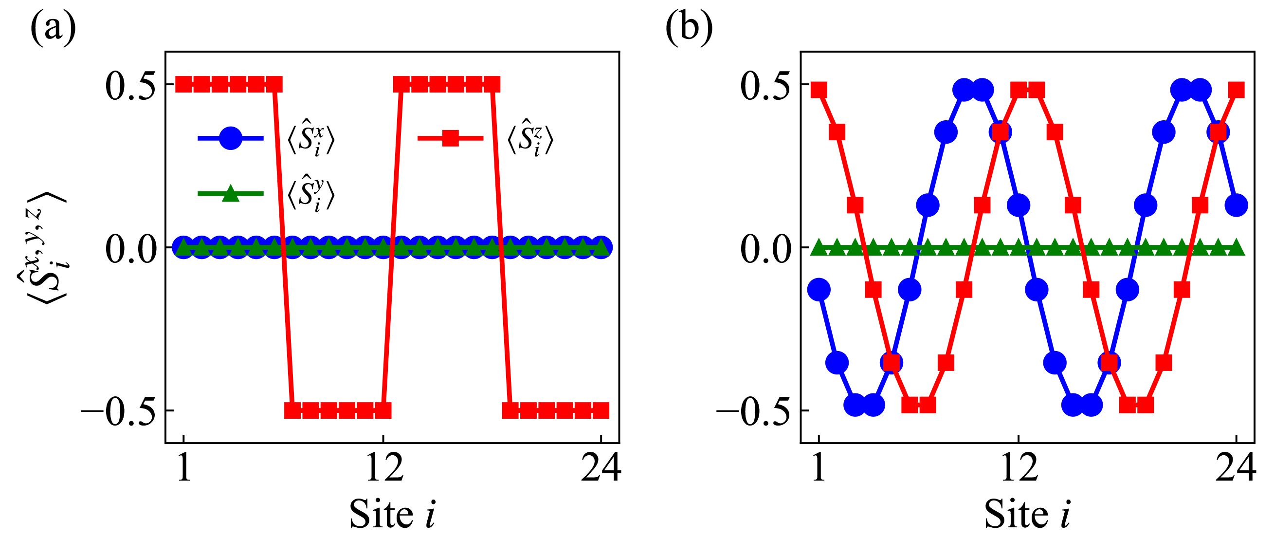
2.2. Initial States and Emergent Nonequilibrium Dynamics
2.3. TDVP Algorithm Based on Tensor Network
3. Dynamical Scaling of Spin Transport
3.1. Single-Particle Information of Initial States via Jordan–Wigner Transformation
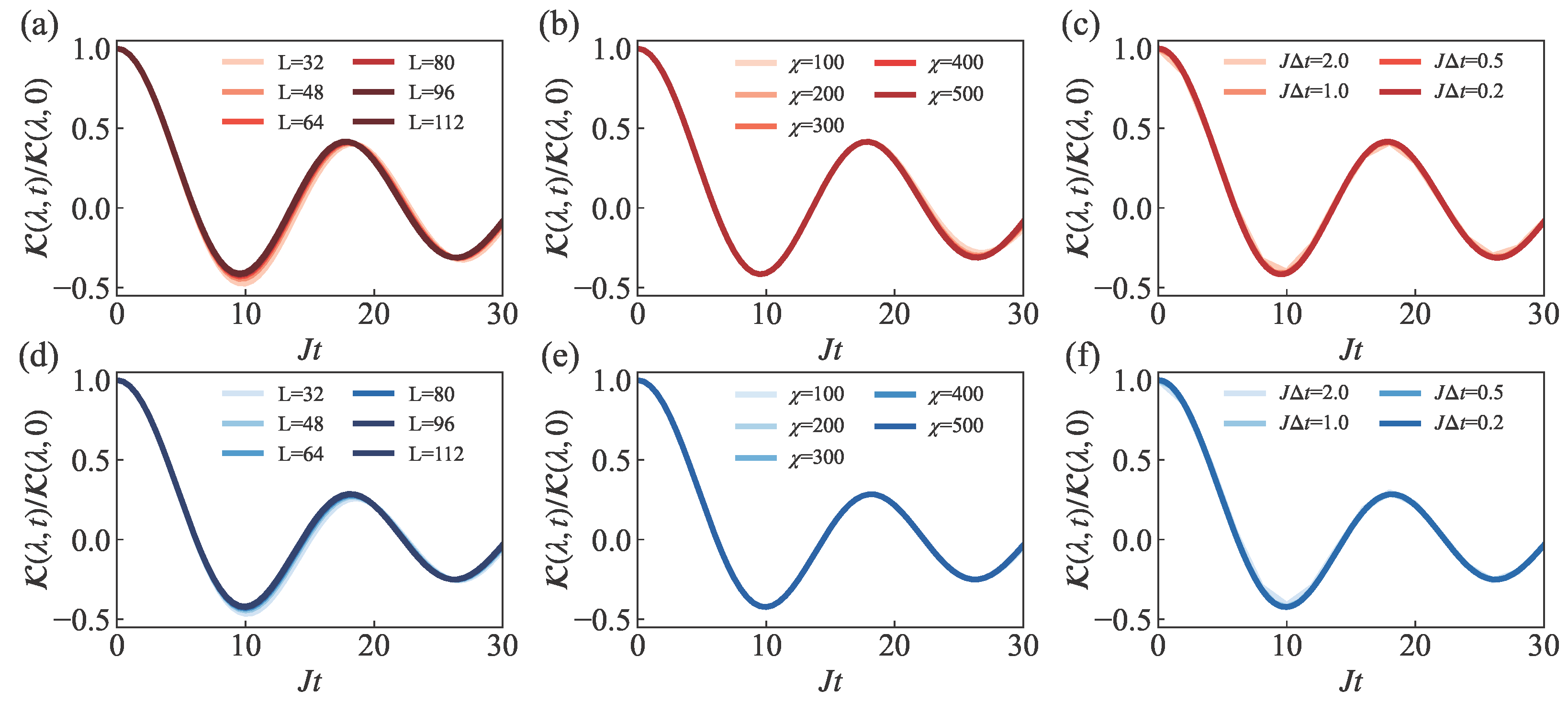
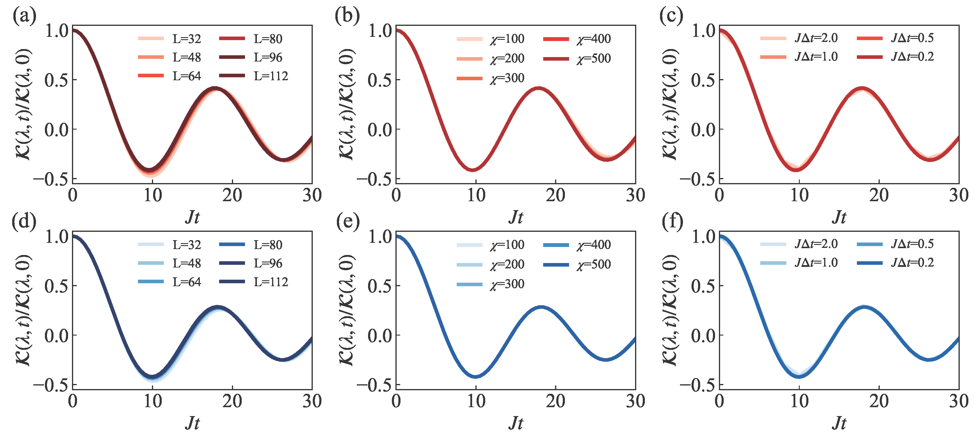
3.2. Contrast Method and Convergence Tests
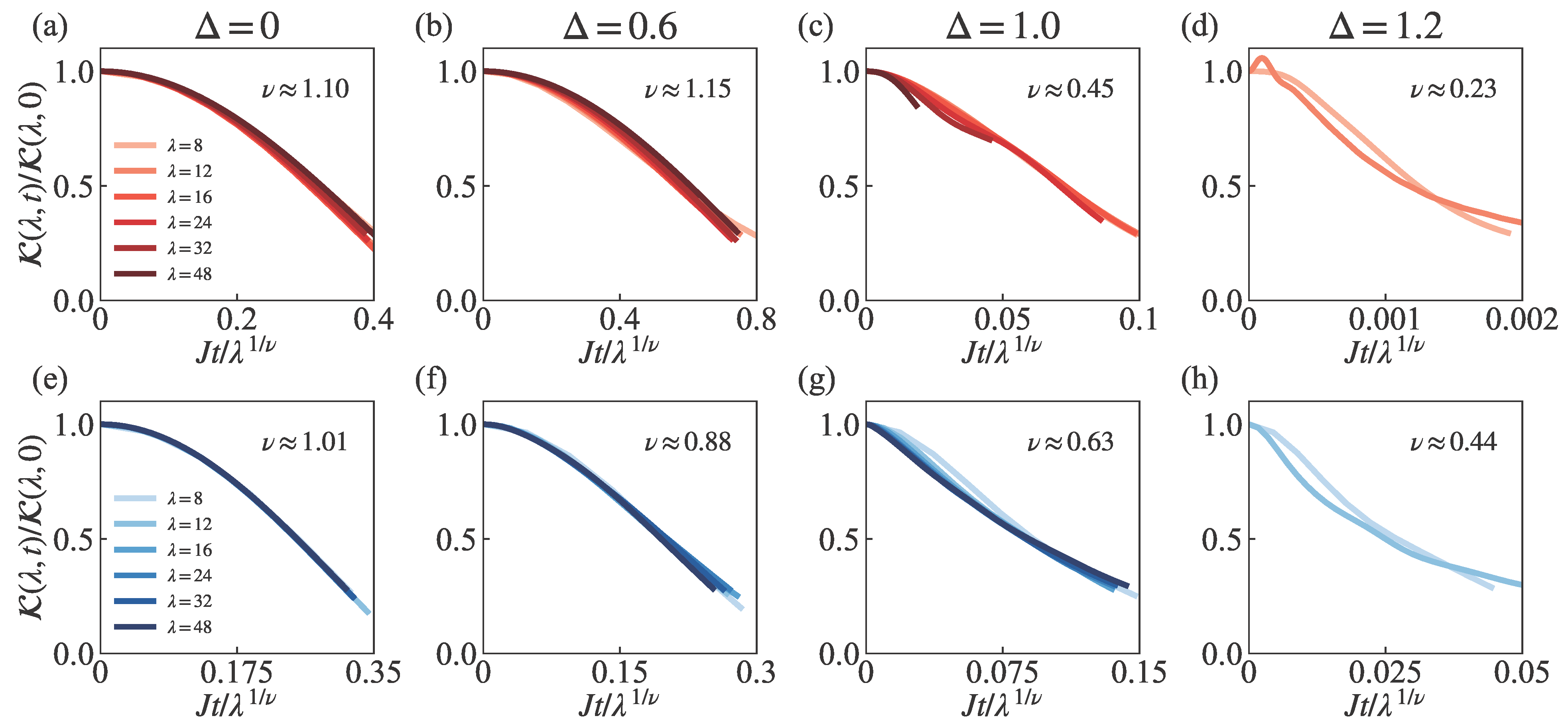
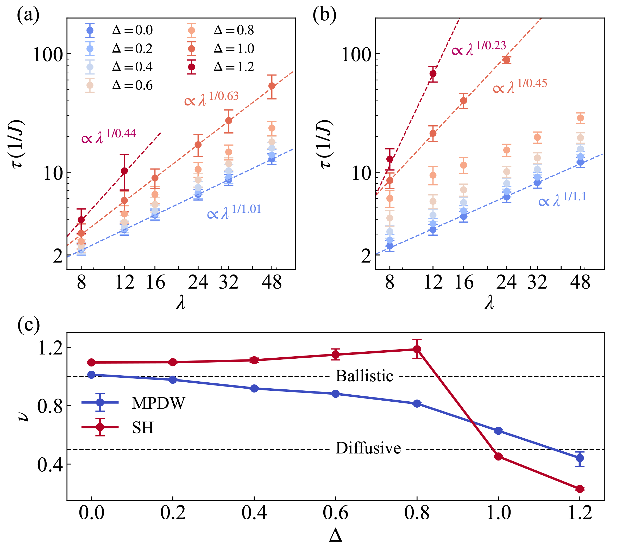
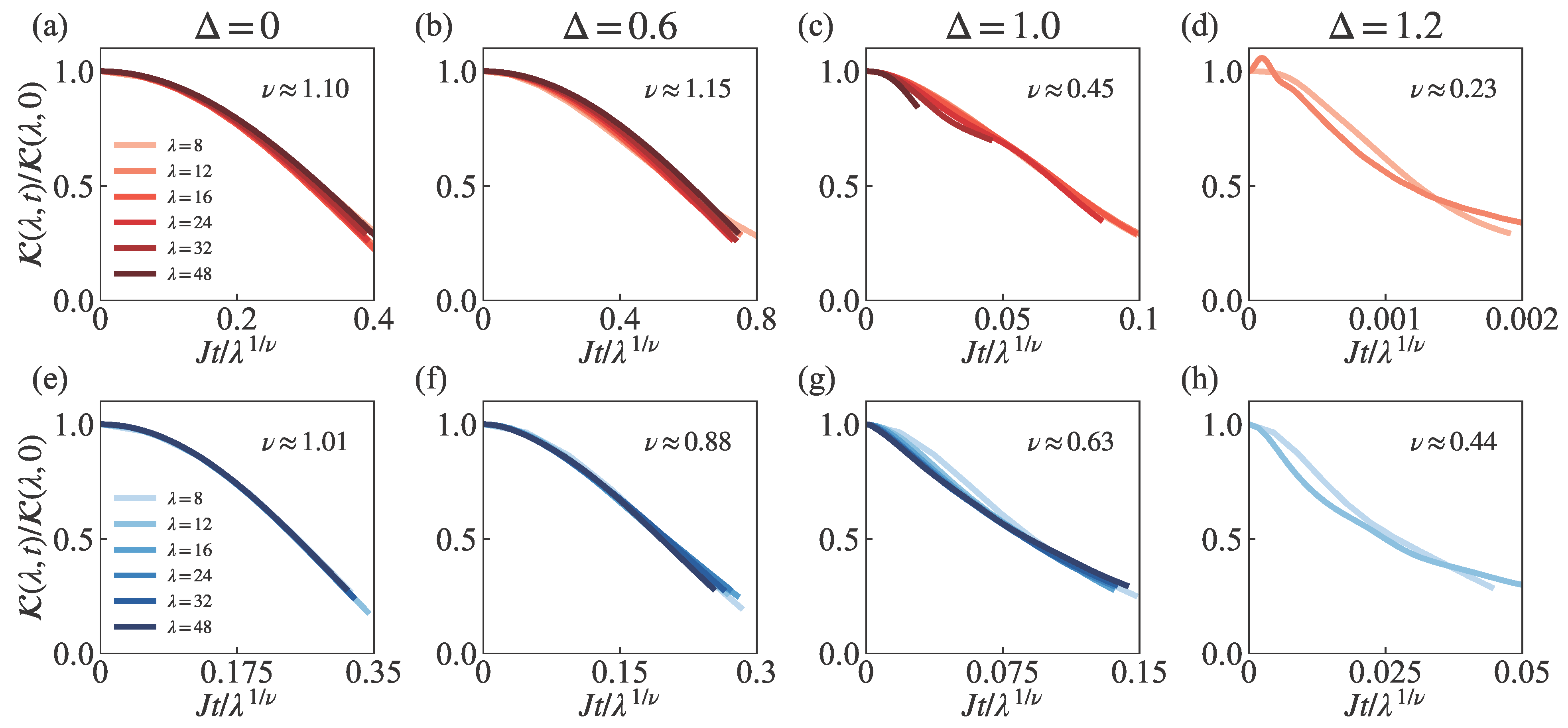
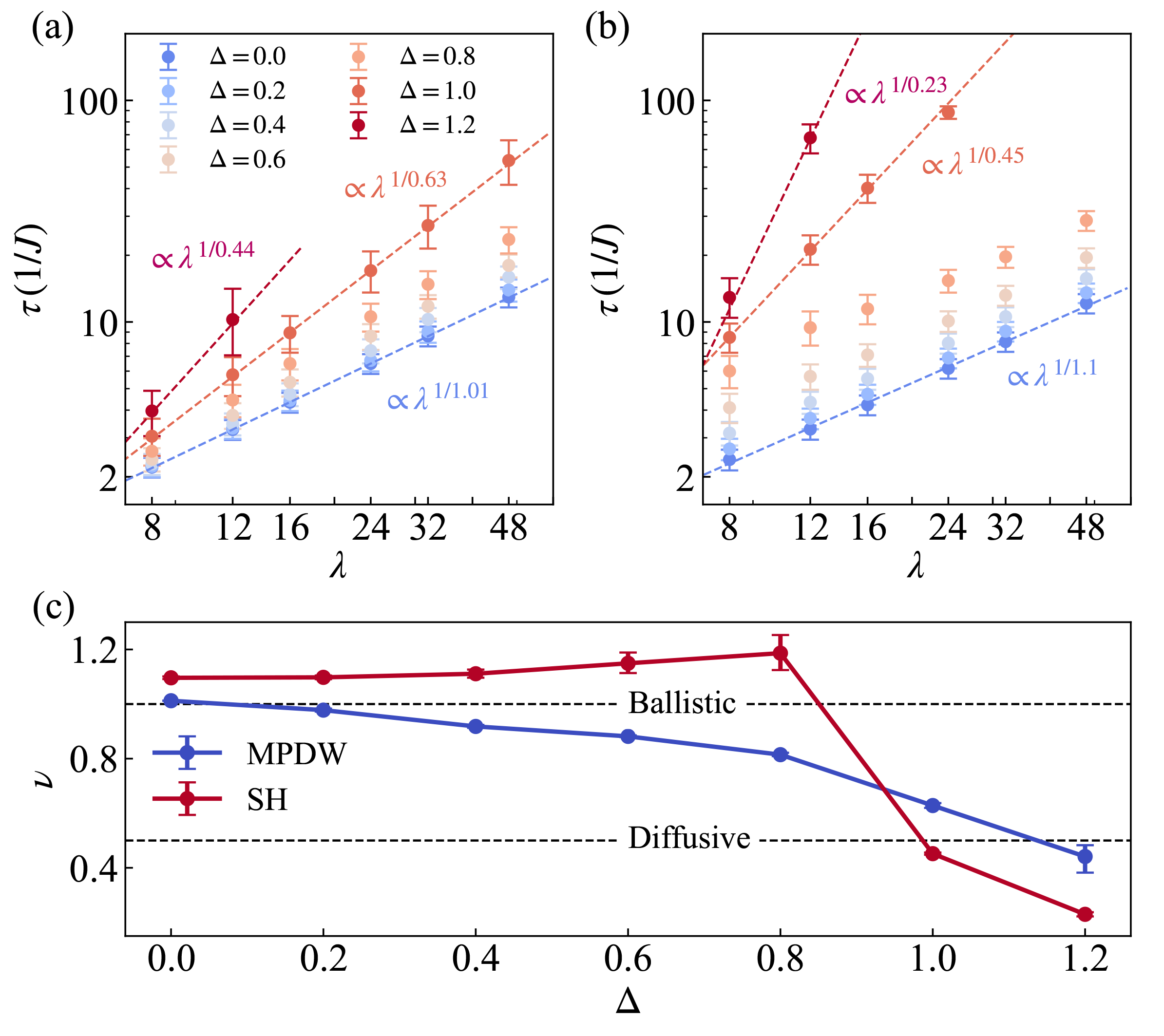
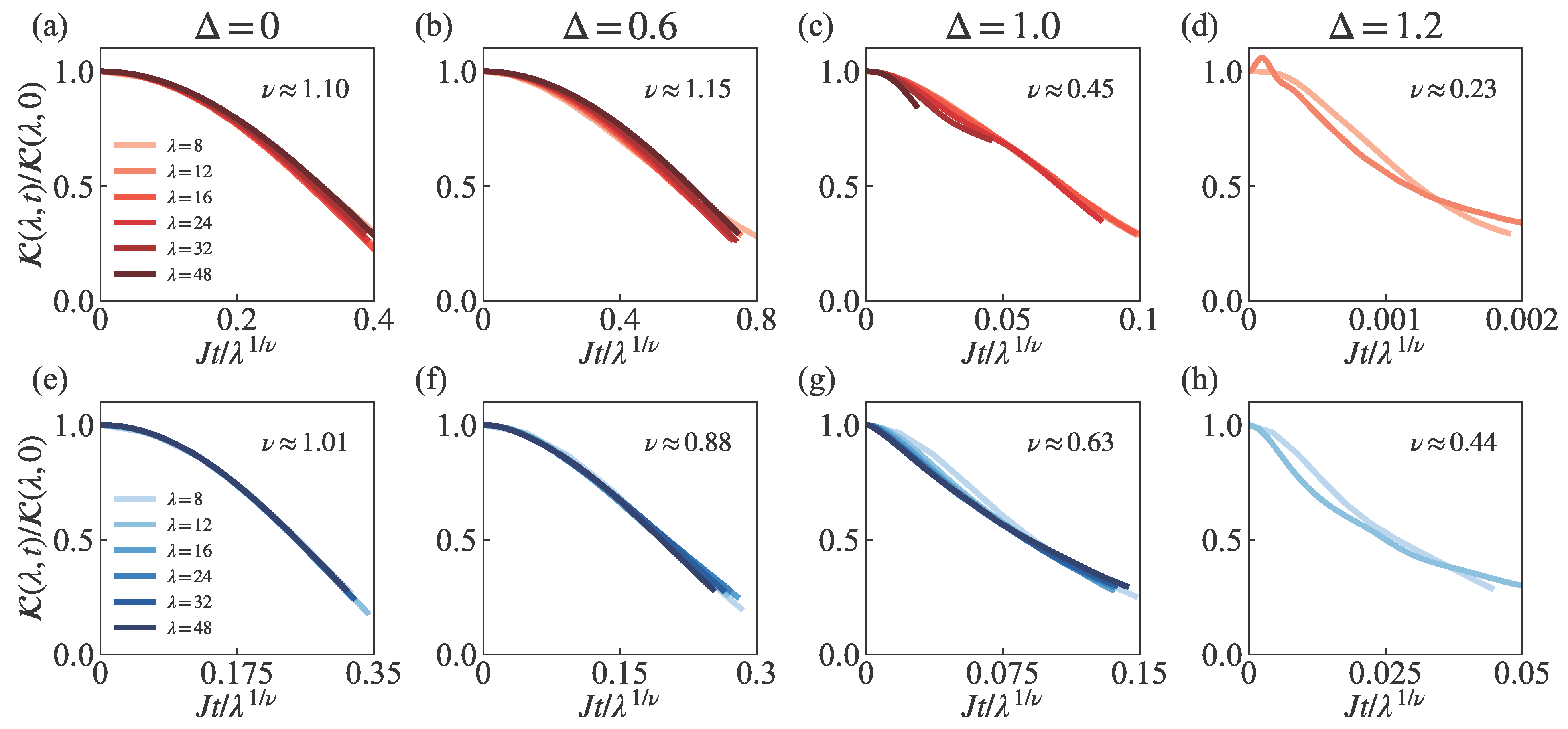
3.3. Anisotropic Parameter Dependence of Scaling Exponents of Two States
3.4. Analysis of Contrast Scaling for the SH State
3.5. Analysis of Contrast Scaling for the MPDW State
3.6. Data Collapse of Scaling Behavior
4. Conclusions
Author Contributions
Funding
Data Availability Statement
Conflicts of Interest
References
- Landi, G.T.; Poletti, D.; Schaller, G. Nonequilibrium boundary-driven quantum systems: Models, methods, and properties. Rev. Mod. Phys. 2022, 94, 045006. [Google Scholar] [CrossRef]
- Esposito, M.; Harbola, U.; Mukamel, S. Nonequilibrium fluctuations, fluctuation theorems, and counting statistics in quantum systems. Rev. Mod. Phys. 2009, 81, 1665–1702. [Google Scholar] [CrossRef]
- Polkovnikov, A.; Sengupta, K.; Silva, A.; Vengalattore, M. Colloquium: Nonequilibrium dynamics of closed interacting quantum systems. Rev. Mod. Phys. 2011, 83, 863–883. [Google Scholar] [CrossRef]
- Bertini, B.; Heidrich-Meisner, F.; Karrasch, C.; Prosen, T.; Steinigeweg, R.; Žnidarič, M. Finite-temperature transport in one-dimensional quantum lattice models. Rev. Mod. Phys. 2021, 93, 025003. [Google Scholar] [CrossRef]
- Guan, X.W.; He, P. New trends in quantum integrability: Recent experiments with ultracold atoms. Rep. Prog. Phys. 2022, 85, 114001. [Google Scholar] [CrossRef] [PubMed]
- Wyatt, R.E. Quantum Dynamics with Trajectories: Introduction to Quantum Hydrodynamics; Springer: Berlin/Heidelberg, Germany, 2005. [Google Scholar]
- Bulchandani, V.B.; Gopalakrishnan, S.; Ilievski, E. Superdiffusion in spin chains. J. Stat. Mech. 2021, 2021, 084001. [Google Scholar] [CrossRef]
- Ye, B.; Machado, F.; Kemp, J.; Hutson, R.B.; Yao, N.Y. Universal Kardar-Parisi-Zhang Dynamics in Integrable Quantum Systems. Phys. Rev. Lett. 2022, 129, 230602. [Google Scholar] [CrossRef]
- Ilievski, E.; De Nardis, J.; Medenjak, M.; Prosen, T. Superdiffusion in One-Dimensional Quantum Lattice Models. Phys. Rev. Lett. 2018, 121, 230602. [Google Scholar] [CrossRef] [PubMed]
- Gopalakrishnan, S.; Vasseur, R. Kinetic Theory of Spin Diffusion and Superdiffusion in XXZ Spin Chains. Phys. Rev. Lett. 2019, 122, 127202. [Google Scholar] [CrossRef] [PubMed]
- De Nardis, J.; Medenjak, M.; Karrasch, C.; Ilievski, E. Anomalous Spin Diffusion in One-Dimensional Antiferromagnets. Phys. Rev. Lett. 2019, 123, 186601. [Google Scholar] [CrossRef]
- Scheie, A.; Sherman, N.; Dupont, M.; Nagler, S.; Stone, M.; Granroth, G.; Moore, J.; Tennant, D. Detection of Kardar–Parisi–Zhang hydrodynamics in a quantum Heisenberg spin-1/2 chain. Nat. Phys. 2021, 17, 726–730. [Google Scholar] [CrossRef]
- Žnidarič, M. Spin Transport in a One-Dimensional Anisotropic Heisenberg Model. Phys. Rev. Lett. 2011, 106, 220601. [Google Scholar] [CrossRef]
- Gopalakrishnan, S.; Vasseur, R.; Ware, B. Anomalous relaxation and the high-temperature structure factor of XXZ spin chains. Proc. Nat. Acad. Sci. USA 2019, 116, 16250–16255. [Google Scholar] [CrossRef]
- Gopalakrishnan, S.; Vasseur, R. Anomalous transport from hot quasiparticles in interacting spin chains. Rep. Prog. Phys. 2023, 86, 036502. [Google Scholar] [CrossRef]
- Ljubotina, M.; Žnidarič, M.; Prosen, T. Kardar-Parisi-Zhang Physics in the Quantum Heisenberg Magnet. Phys. Rev. Lett. 2019, 122, 210602. [Google Scholar] [CrossRef]
- Popkov, V.; Schadschneider, A.; Schmidt, J.; Schütz, G.M. Fibonacci family of dynamical universality classes. Proc. Nat. Acad. Sci. USA 2015, 112, 12645–12650. [Google Scholar] [CrossRef] [PubMed]
- De Nardis, J.; Doyon, B.; Medenjak, M.; Panfil, M. Correlation functions and transport coefficients in generalised hydrodynamics. J. Stat. Mech. 2022, 2022, 014002. [Google Scholar] [CrossRef]
- Ljubotina, M.; Zadnik, L.; Prosen, T. Ballistic Spin Transport in a Periodically Driven Integrable Quantum System. Phys. Rev. Lett. 2019, 122, 150605. [Google Scholar] [CrossRef] [PubMed]
- Feldmeier, J.; Sala, P.; De Tomasi, G.; Pollmann, F.; Knap, M. Anomalous Diffusion in Dipole- and Higher-Moment-Conserving Systems. Phys. Rev. Lett. 2020, 125, 245303. [Google Scholar] [CrossRef] [PubMed]
- Ljubotina, M.; Desaules, J.Y.; Serbyn, M.; Papić, Z. Superdiffusive Energy Transport in Kinetically Constrained Models. Phys. Rev. X 2023, 13, 011033. [Google Scholar] [CrossRef]
- Cecile, G.; De Nardis, J.; Ilievski, E. Squeezed Ensembles and Anomalous Dynamic Roughening in Interacting Integrable Chains. Phys. Rev. Lett. 2024, 132, 130401. [Google Scholar] [CrossRef]
- Georgescu, I.M.; Ashhab, S.; Nori, F. Quantum simulation. Rev. Mod. Phys. 2014, 86, 153–185. [Google Scholar] [CrossRef]
- Hübner, F.; Biagetti, L.; De Nardis, J.; Doyon, B. Diffusive Hydrodynamics from Long-Range Correlations. Phys. Rev. Lett. 2025, 134, 187101. [Google Scholar] [CrossRef]
- Wei, D.; Rubio-Abadal, A.; Ye, B.; Machado, F.; Kemp, J.; Srakaew, K.; Hollerith, S.; Rui, J.; Gopalakrishnan, S.; Yao, N.Y.; et al. Quantum gas microscopy of Kardar-Parisi-Zhang superdiffusion. Science 2022, 376, 716–720. [Google Scholar] [CrossRef]
- Wienand, J.F.; Karch, S.; Impertro, A.; Schweizer, C.; McCulloch, E.; Vasseur, R.; Gopalakrishnan, S.; Aidelsburger, M.; Bloch, I. Emergence of fluctuating hydrodynamics in chaotic quantum systems. Nat. Phys. 2024, 20, 1732–1737. [Google Scholar] [CrossRef]
- Rosenberg, E.; Andersen, T.; Samajdar, R.; Petukhov, A.; Hoke, J.; Abanin, D.; Bengtsson, A.; Drozdov, I.; Erickson, C.; Klimov, P.; et al. Dynamics of magnetization at infinite temperature in a Heisenberg spin chain. Science 2024, 384, 48–53. [Google Scholar] [CrossRef]
- Doyon, B.; Gopalakrishnan, S.; Møller, F.; Schmiedmayer, J.; Vasseur, R. Generalized Hydrodynamics: A Perspective. Phys. Rev. X 2025, 15, 010501. [Google Scholar] [CrossRef]
- Castro-Alvaredo, O.A.; Doyon, B.; Yoshimura, T. Emergent hydrodynamics in integrable quantum systems out of equilibrium. Phys. Rev. X 2016, 6, 041065. [Google Scholar] [CrossRef]
- Bertini, B.; Collura, M.; De Nardis, J.; Fagotti, M. Transport in out-of-equilibrium XXZ chains: Exact profiles of charges and currents. Phys. Rev. Lett. 2016, 117, 207201. [Google Scholar] [CrossRef] [PubMed]
- Vecchio, G.D.V.D.; Luca, A.D.; Bastianello, A. Transport through interacting defects and lack of thermalisation. SciPost Phys. 2022, 12, 060. [Google Scholar] [CrossRef]
- Jepsen, P.N.; Amato-Grill, J.; Dimitrova, I.; Ho, W.W.; Demler, E.; Ketterle, W. Spin transport in a tunable Heisenberg model realized with ultracold atoms. Nature 2020, 588, 403–407. [Google Scholar] [CrossRef]
- Jepsen, P.N.; Ho, W.W.; Amato-Grill, J.; Dimitrova, I.; Demler, E.; Ketterle, W. Transverse Spin Dynamics in the Anisotropic Heisenberg Model Realized with Ultracold Atoms. Phys. Rev. X 2021, 11, 041054. [Google Scholar] [CrossRef]
- Jepsen, P.N.; Lee, Y.K.E.; Lin, H.; Dimitrova, I.; Margalit, Y.; Ho, W.W.; Ketterle, W. Long-lived phantom helix states in Heisenberg quantum magnets. Nat. Phys. 2022, 18, 899–904. [Google Scholar] [CrossRef]
- Zotos, X. Finite temperature Drude weight of the one-dimensional spin-1/2 Heisenberg model. Phys. Rev. Lett. 1999, 82, 1764. [Google Scholar] [CrossRef]
- Takahashi, M. Thermodynamics of One-Dimensional Solvable Models; Cambridge University Press: Cambridge, UK, 1999. [Google Scholar]
- Borsi, M.; Pozsgay, B.; Pristyák, L. Current Operators in Bethe Ansatz and Generalized Hydrodynamics: An Exact Quantum-Classical Correspondence. Phys. Rev. X 2020, 10, 011054. [Google Scholar] [CrossRef]
- De Tomasi, G.; Pollmann, F.; Heyl, M. Efficiently solving the dynamics of many-body localized systems at strong disorder. Phys. Rev. B 2019, 99, 241114. [Google Scholar] [CrossRef]
- Tang, Y.; Kattel, P.; Pixley, J.H.; Andrei, N. Quantum Zeno effect in noisy integrable quantum circuits for impurity models. Phys. Rev. B 2025, 111, 054313. [Google Scholar] [CrossRef]
- Begg, S.E.; Hanai, R. Quantum criticality in open quantum spin chains with nonreciprocity. Phys. Rev. Lett. 2024, 132, 120401. [Google Scholar] [CrossRef]
- Dupont, M.; Moore, J.E. Universal spin dynamics in infinite-temperature one-dimensional quantum magnets. Phys. Rev. B 2020, 101, 121106. [Google Scholar] [CrossRef]
- Pereira, D.; Mueller, E.J. Dynamics of spin helices in the diluted one-dimensional XX model. Phys. Rev. A 2024, 110, 023313. [Google Scholar] [CrossRef]
- Kiely, T.G.; Mueller, E.J. High-temperature transport in the one-dimensional mass-imbalanced Fermi-Hubbard model. Phys. Rev. A 2024, 109, 063318. [Google Scholar] [CrossRef]
- De Nardis, J.; Bernard, D.; Doyon, B. Hydrodynamic Diffusion in Integrable Systems. Phys. Rev. Lett. 2018, 121, 160603. [Google Scholar] [CrossRef]
- Gopalakrishnan, S.; Morningstar, A.; Vasseur, R.; Khemani, V. Distinct universality classes of diffusive transport from full counting statistics. Phys. Rev. B 2024, 109, 024417. [Google Scholar] [CrossRef]
- Gopalakrishnan, S.; Huse, D.A.; Khemani, V.; Vasseur, R. Hydrodynamics of operator spreading and quasiparticle diffusion in interacting integrable systems. Phys. Rev. B 2018, 98, 220303. [Google Scholar] [CrossRef]
- Doyon, B.; Perfetto, G.; Sasamoto, T.; Yoshimura, T. Ballistic macroscopic fluctuation theory. SciPost Phys. 2023, 15, 136. [Google Scholar] [CrossRef]
- Myers, J.; Bhaseen, M.J.; Harris, R.J.; Doyon, B. Transport fluctuations in integrable models out of equilibrium. SciPost Phys. 2020, 8, 007. [Google Scholar] [CrossRef]
- Narozhny, B.N.; Millis, A.J.; Andrei, N. Transport in the XXZ model. Phys. Rev. B 1998, 58, R2921–R2924. [Google Scholar] [CrossRef]
- Krajnik, Ž.; Schmidt, J.; Ilievski, E.; Prosen, T. Dynamical criticality of magnetization transfer in integrable spin chains. Phys. Rev. Lett. 2024, 132, 017101. [Google Scholar] [CrossRef]
- Kardar, M.; Parisi, G.; Zhang, Y.C. Dynamic Scaling of Growing Interfaces. Phys. Rev. Lett. 1986, 56, 889–892. [Google Scholar] [CrossRef] [PubMed]
- Ljubotina, M.; Žnidarič, M.; Prosen, T. Spin diffusion from an inhomogeneous quench in an integrable system. Nat. Commun. 2017, 8, 16117. [Google Scholar] [CrossRef]
- Misguich, G.; Mallick, K.; Krapivsky, P.L. Dynamics of the spin- Heisenberg chain initialized in a domain-wall state. Phys. Rev. B 2017, 96, 195151. [Google Scholar] [CrossRef]
- Ljubotina, M.; Žnidarič, M.; Prosen, T. A class of states supporting diffusive spin dynamics in the isotropic Heisenberg model. J. Phys. A Math. Theor. 2017, 50, 475002. [Google Scholar] [CrossRef]
- Misguich, G.; Pavloff, N.; Pasquier, V. Domain wall problem in the quantum XXZ chain and semiclassical behavior close to the isotropic point. SciPost Phys. 2019, 7, 025. [Google Scholar] [CrossRef]
- Gamayun, O.; Miao, Y.; Ilievski, E. Domain wall dynamics in the Landau–Lifshitz magnet and the classical-quantum correspondence for spin transport. Phys. Rev. B 2019, 99, 140301. [Google Scholar] [CrossRef]
- Kohn, W. Nobel Lecture: Electronic structure of matter—Wave functions and density functionals. Rev. Mod. Phys. 1999, 71, 1253. [Google Scholar] [CrossRef]
- Pereira, D.; Mueller, E.J. Dynamics of spin helices in the one-dimensional XX model. Phys. Rev. A 2022, 106, 043306. [Google Scholar] [CrossRef]
- Haegeman, J.; Cirac, J.I.; Osborne, T.J.; Pižorn, I.; Verschelde, H.; Verstraete, F. Time-Dependent Variational Principle for Quantum Lattices. Phys. Rev. Lett. 2011, 107, 070601. [Google Scholar] [CrossRef] [PubMed]
- Goto, S.; Danshita, I. Performance of the time-dependent variational principle for matrix product states in the long-time evolution of a pure state. Phys. Rev. B 2019, 99, 054307. [Google Scholar] [CrossRef]
- Gleis, A.; Li, J.W.; von Delft, J. Controlled Bond Expansion for Density Matrix Renormalization Group Ground State Search at Single-Site Costs. Phys. Rev. Lett. 2023, 130, 246402. [Google Scholar] [CrossRef]
- Yang, M.; White, S.R. Time-dependent variational principle with ancillary Krylov subspace. Phys. Rev. B 2020, 102, 094315. [Google Scholar] [CrossRef]
- Fishman, M.; White, S.R.; Stoudenmire, E.M. The ITensor Software Library for Tensor Network Calculations. SciPost Phys. Codebases 2022, 4. [Google Scholar] [CrossRef]
- Verkholyak, T.; Strečka, J.; Jaščur, M.; Richter, J. Magnetic properties of the quantum spin-XX diamond chain: The Jordan-Wigner approach. Eur. Phys. J. B 2011, 80, 433–444. [Google Scholar] [CrossRef]
- Cecile, G.; Gopalakrishnan, S.; Vasseur, R.; De Nardis, J. Hydrodynamic relaxation of spin helices. Phys. Rev. B 2023, 108, 075135. [Google Scholar] [CrossRef]
- Mossel, J.; Caux, J.S. Relaxation dynamics in the gapped XXZ spin-1/2 chain. New J. Phys. 2010, 12, 055028. [Google Scholar] [CrossRef]







Disclaimer/Publisher’s Note: The statements, opinions and data contained in all publications are solely those of the individual author(s) and contributor(s) and not of MDPI and/or the editor(s). MDPI and/or the editor(s) disclaim responsibility for any injury to people or property resulting from any ideas, methods, instructions or products referred to in the content. |
© 2025 by the authors. Licensee MDPI, Basel, Switzerland. This article is an open access article distributed under the terms and conditions of the Creative Commons Attribution (CC BY) license (https://creativecommons.org/licenses/by/4.0/).
Share and Cite
Jiang, S.; Liu, J.; Li, Y. Contrast Analysis on Spin Transport of Multi-Periodic Exotic States in the XXZ Chain. Entropy 2025, 27, 1070. https://doi.org/10.3390/e27101070
Jiang S, Liu J, Li Y. Contrast Analysis on Spin Transport of Multi-Periodic Exotic States in the XXZ Chain. Entropy. 2025; 27(10):1070. https://doi.org/10.3390/e27101070
Chicago/Turabian StyleJiang, Shixian, Jianpeng Liu, and Yongqiang Li. 2025. "Contrast Analysis on Spin Transport of Multi-Periodic Exotic States in the XXZ Chain" Entropy 27, no. 10: 1070. https://doi.org/10.3390/e27101070
APA StyleJiang, S., Liu, J., & Li, Y. (2025). Contrast Analysis on Spin Transport of Multi-Periodic Exotic States in the XXZ Chain. Entropy, 27(10), 1070. https://doi.org/10.3390/e27101070

