Maximum-Power Stirling-like Heat Engine with a Harmonically Confined Brownian Particle
Abstract
1. Introduction
2. The Model System
2.1. Harmonically Confined Brownian Particle
Energy, Work and Heat
2.2. Dimensionless Variables
3. Building Blocks for a Stirling Cycle
3.1. Isothermal Processes
3.1.1. Quasi-Static Isothermal Processes
3.1.2. Optimal Isothermal Processes
3.2. Isochoric Processes
3.2.1. Quasi-Static Isochoric Processes
3.2.2. Optimal Isochoric Processes
4. Stochastic Stirling Heat Engine
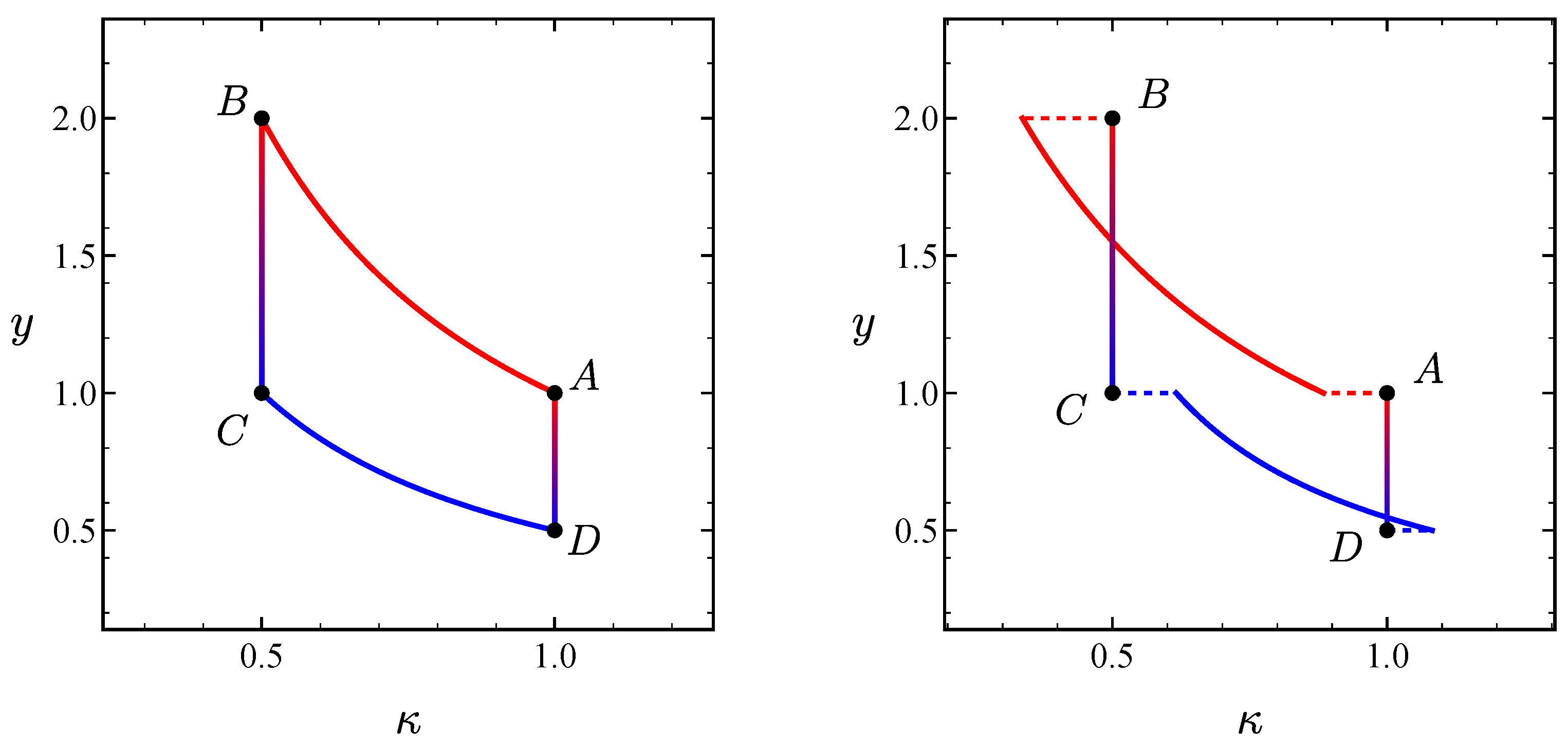
- Isothermal expansion at the hot bath temperature , connecting the phase points A and B, i.e., and . The confining harmonic potential is modified by controlling its stiffness ; the term lexpansion (lcompression) refers to the sign of the stiffness increment, i.e., to ().
- Isochoric cooling at lloose stiffness , starting from the state-point up to , with . The time dependence of the temperature of the heat bath is now controlled.
- Isothermal compression at the cold bath temperature , linking states and . As in process 1, the control variable is the time-dependent stiffness of the harmonic trap.
- Isochoric heating at ltight stiffness , departing from state and closing the cycle by returning to the initial point ; thus . As in process 2, the control variable is the time-dependent temperature of the bath.
| y | |||
|---|---|---|---|
| A | 1 | 1 | 1 |
| B | 1 | ||
| C | |||
| D | 1 |
Quasi-Static Stirling Cycle
| 0 | |||
| 0 | |||
| 0 | |||
| 0 | |||
| Total | 0 |
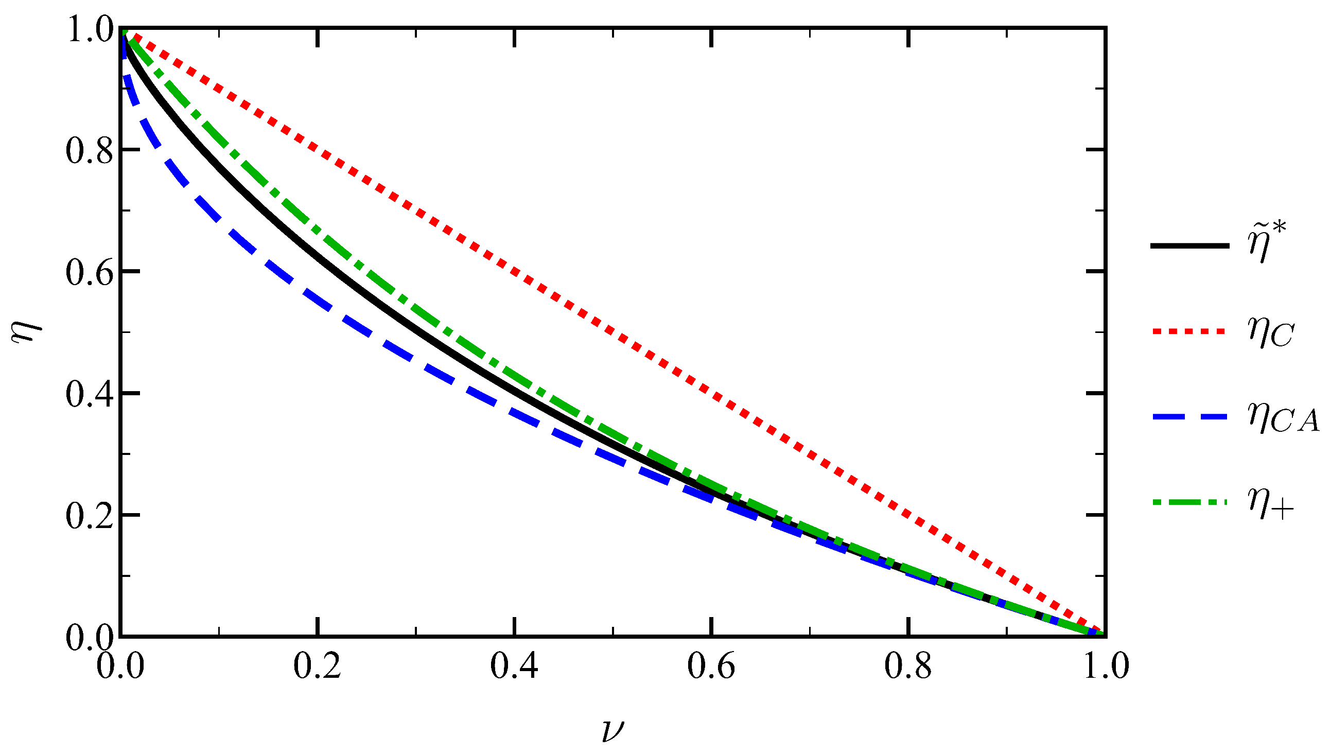
5. Optimal Irreversible Stirling Cycle
5.1. Optimal Cycle for Fixed Operating Points and Temperature Bounds
| 0 | |||
| 0 | |||
| 0 | |||
| 0 | |||
| Total | 0 |
5.2. Further Optimisation of the Irreversible Stirling Cycle
5.3. Further Optimisation with Ideal Temperature Bounds
5.4. Further Optimisation for Arbitrary Temperature Bounds ,
6. Discussion
Author Contributions
Funding
Data Availability Statement
Conflicts of Interest
References
- Sekimoto, K. Stochastic Energetics; Springer: Berlin, Germany, 2010. [Google Scholar]
- Shiraishi, N. An Introduction to Stochastic Thermodynamics: From Basic to Advanced; Fundamental Theories of Physics; Springer Nature Singapore: Singapore, 2023. [Google Scholar]
- Seifert, U. Stochastic thermodynamics, fluctuation theorems and molecular machines. Rep. Prog. Phys. 2012, 75, 126001. [Google Scholar] [CrossRef]
- Van Kampen, N.G. Stochastic Processes in Physics and Chemistry; Elsevier: Amsterdam, The Netherlands, 1992. [Google Scholar]
- Ciliberto, S. Experiments in Stochastic Thermodynamics: Short History and Perspectives. Phys. Rev. X 2017, 7, 021051. [Google Scholar] [CrossRef]
- Thomson, W. The Sorting Demon of Maxwell. Nature 1879, 20, 126. [Google Scholar] [CrossRef]
- Martínez, I.A.; Roldán, E.; Dinis, L.; Rica, R.A. Colloidal heat engines: A review. Soft Matter 2017, 13, 22–36. [Google Scholar] [CrossRef] [PubMed]
- Magnasco, M.O. Forced thermal ratchets. Phys. Rev. Lett. 1993, 71, 1477–1481. [Google Scholar] [CrossRef] [PubMed]
- Reimann, P.; Bartussek, R.; Häußler, R.; Hänggi, P. Brownian motors driven by temperature oscillations. Phys. Lett. A 1996, 215, 26–31. [Google Scholar] [CrossRef]
- Jülicher, F.; Ajdari, A.; Prost, J. Modeling molecular motors. Rev. Mod. Phys. 1997, 69, 1269–1282. [Google Scholar] [CrossRef]
- Reimann, P. Brownian motors: Noisy transport far from equilibrium. Phys. Rep. 2002, 361, 57–265. [Google Scholar] [CrossRef]
- Hänggi, P.; Marchesoni, F.; Nori, F. Brownian motors. Ann. Phys. 2005, 517, 51–70. [Google Scholar] [CrossRef]
- Horowitz, J.; Parrondo, J.M. A Stirling effort. Nat. Phys. 2011, 8, 108–109. [Google Scholar] [CrossRef]
- Blickle, V.; Bechinger, C. Realization of a micrometre-sized stochastic heat engine. Nat. Phys. 2012, 8, 143–146. [Google Scholar] [CrossRef]
- Holubec, V. An exactly solvable model of a stochastic heat engine: Optimization of power, power fluctuations and efficiency. J. Stat. Mech. Theory Exp. 2014, 2014, P05022. [Google Scholar] [CrossRef]
- Rana, S.; Pal, P.S.; Saha, A.; Jayannavar, A.M. Single-particle stochastic heat engine. Phys. Rev. E 2014, 90, 042146. [Google Scholar] [CrossRef]
- Tu, Z.C. Stochastic heat engine with the consideration of inertial effects and shortcuts to adiabaticity. Phys. Rev. E 2014, 89, 052148. [Google Scholar] [CrossRef]
- Martínez, I.; Roldán, E.; Dinis, L.; Petrov, D.; Parrondo, J.M.; Rica, R. Brownian Carnot engine. Nat. Phys. 2015, 12, 67–70. [Google Scholar] [CrossRef]
- Bauer, M.; Brandner, K.; Seifert, U. Optimal performance of periodically driven, stochastic heat engines under limited control. Phys. Rev. E 2016, 93, 042112. [Google Scholar] [CrossRef] [PubMed]
- Dechant, A.; Kiesel, N.; Lutz, E. Underdamped stochastic heat engine at maximum efficiency. Europhys. Lett. 2017, 119, 50003. [Google Scholar] [CrossRef]
- Plata, C.A.; Guéry-Odelin, D.; Trizac, E.; Prados, A. Building an irreversible Carnot-like heat engine with an overdamped harmonic oscillator. J. Stat. Mech. Theory Exp. 2020, 2020, 093207. [Google Scholar] [CrossRef]
- Tu, Z.C. Abstract models for heat engines. Front. Phys. 2021, 16, 33202. [Google Scholar] [CrossRef]
- Apertet, Y.; Ouerdane, H.; Goupil, C.; Lecoeur, P. Irreversibilities and efficiency at maximum power of heat engines: The illustrative case of a thermoelectric generator. Phys. Rev. E 2012, 85, 031116. [Google Scholar] [CrossRef] [PubMed]
- Apertet, Y.; Ouerdane, H.; Goupil, C.; Lecoeur, P. Efficiency at maximum power of thermally coupled heat engines. Phys. Rev. E 2012, 85, 041144. [Google Scholar] [CrossRef]
- Ouerdane, H.; Apertet, Y.; Goupil, C.; Lecoeur, P. Continuity and boundary conditions in thermodynamics: From carnot’s efficiency to efficiencies at maximum power. Eur. Phys. J. Spec. Top. 2015, 224, 839–862. [Google Scholar] [CrossRef][Green Version]
- Hua, Y.; Guo, Z.Y. Maximum power and the corresponding efficiency for a Carnot-like thermoelectric cycle based on fluctuation theorem. Phys. Rev. E 2024, 109, 024130. [Google Scholar] [CrossRef] [PubMed]
- Gingrich, T.R.; Rotskoff, G.M.; Vaikuntanathan, S.; Geissler, P.L. Efficiency and large deviations in time-asymmetric stochastic heat engines. New J. Phys. 2014, 16, 102003. [Google Scholar] [CrossRef]
- Krishnamurthy, S.; Ghosh, S.; Chatterji, D.; Ganapathy, R.; Sood, A. A micrometre-sized heat engine operating between bacterial reservoirs. Nat. Phys. 2016, 12, 1134–1138. [Google Scholar] [CrossRef]
- Kumari, A.; Pal, P.S.; Saha, A.; Lahiri, S. Stochastic heat engine using an active particle. Phys. Rev. E 2020, 101, 032109. [Google Scholar] [CrossRef]
- Shiraishi, N.; Saito, K.; Tasaki, H. Universal Trade-Off Relation between Power and Efficiency for Heat Engines. Phys. Rev. Lett. 2016, 117, 190601. [Google Scholar] [CrossRef]
- Pietzonka, P.; Seifert, U. Universal Trade-Off between Power, Efficiency, and Constancy in Steady-State Heat Engines. Phys. Rev. Lett. 2018, 120, 190602. [Google Scholar] [CrossRef]
- Curzon, F.L.; Ahlborn, B. Efficiency of a Carnot engine at maximum power output. Am. J. Phys. 1975, 43, 22–24. [Google Scholar] [CrossRef]
- Van den Broeck, C. Thermodynamic Efficiency at Maximum Power. Phys. Rev. Lett. 2005, 95, 190602. [Google Scholar] [CrossRef]
- Esposito, M.; Lindenberg, K.; Van den Broeck, C. Universality of Efficiency at Maximum Power. Phys. Rev. Lett. 2009, 102, 130602. [Google Scholar] [CrossRef]
- Esposito, M.; Kawai, R.; Lindenberg, K.; Van den Broeck, C. Efficiency at Maximum Power of Low-Dissipation Carnot Engines. Phys. Rev. Lett. 2010, 105, 150603. [Google Scholar] [CrossRef] [PubMed]
- Wang, Y.; Tu, Z.C. Efficiency at maximum power output of linear irreversible Carnot-like heat engines. Phys. Rev. E 2012, 85, 011127. [Google Scholar] [CrossRef]
- Tlili, I. Finite time thermodynamic evaluation of endoreversible Stirling heat engine at maximum power conditions. Renew. Sustain. Energy Rev. 2012, 16, 2234–2241. [Google Scholar] [CrossRef]
- Gonzalez-Ayala, J.; Calvo Hernández, A.; Roco, J.M.M. From maximum power to a trade-off optimization of low-dissipation heat engines: Influence of control parameters and the role of entropy generation. Phys. Rev. E 2017, 95, 022131. [Google Scholar] [CrossRef]
- Frim, A.G.; DeWeese, M.R. Geometric Bound on the Efficiency of Irreversible Thermodynamic Cycles. Phys. Rev. Lett. 2022, 128, 230601. [Google Scholar] [CrossRef]
- Frim, A.G.; DeWeese, M.R. Optimal finite-time Brownian Carnot engine. Phys. Rev. E 2022, 105, L052103. [Google Scholar] [CrossRef]
- Contreras-Vergara, O.; Sánchez-Salas, N.; Valencia-Ortega, G.; Jiménez-Aquino, J.I. Carnot, Stirling, and Ericsson stochastic heat engines: Efficiency at maximum power. Phys. Rev. E 2023, 108, 014123. [Google Scholar] [CrossRef]
- Schmiedl, T.; Seifert, U. Efficiency at maximum power: An analytically solvable model for stochastic heat engines. Europhys. Lett. 2008, 81, 20003. [Google Scholar] [CrossRef]
- Nakamura, K.; Matrasulov, J.; Izumida, Y. Fast-forward approach to stochastic heat engine. Phys. Rev. E 2020, 102, 012129. [Google Scholar] [CrossRef] [PubMed]
- Schmiedl, T.; Seifert, U. Optimal Finite-Time Processes In Stochastic Thermodynamics. Phys. Rev. Lett. 2007, 98, 108301. [Google Scholar] [CrossRef]
- Plata, C.A.; Guéry-Odelin, D.; Trizac, E.; Prados, A. Finite-time adiabatic processes: Derivation and speed limit. Phys. Rev. E 2020, 101, 032129. [Google Scholar] [CrossRef] [PubMed]
- Patrón, A.; Prados, A.; Plata, C.A. Thermal brachistochrone for harmonically confined Brownian particles. Eur. Phys. J. Plus 2022, 137, 1011. [Google Scholar] [CrossRef]
- Pontryagin, L.S. Mathematical Theory of Optimal Processes; CRC Press: Boca Raton, FL, USA, 1987. [Google Scholar]
- Liberzon, D. Calculus of Variations and Optimal Control Theory: A Concise Introduction; Princeton University Press: Princeton, NJ, USA, 2012. [Google Scholar]
- Martínez, I.A.; Petrosyan, A.; Guéry-Odelin, D.; Trizac, E.; Ciliberto, S. Engineered swift equilibration of a Brownian particle. Nat. Phys. 2016, 12, 843–846. [Google Scholar] [CrossRef] [PubMed]
- Guéry-Odelin, D.; Jarzynski, C.; Plata, C.A.; Prados, A.; Trizac, E. Driving rapidly while remaining in control: Classical shortcuts from Hamiltonian to stochastic dynamics. Rep. Prog. Phys. 2023, 86, 035902. [Google Scholar] [CrossRef] [PubMed]
- Martínez, I.A.; Roldán, E.; Parrondo, J.M.R.; Petrov, D. Effective heating to several thousand kelvins of an optically trapped sphere in a liquid. Phys. Rev. E 2013, 87, 032159. [Google Scholar] [CrossRef]
- Callen, H.B. Thermodynamics and an Introduction to Thermostatistics; Wiley: Hoboken, NJ, USA, 1985. [Google Scholar]
- Plata, C.A.; Guéry-Odelin, D.; Trizac, E.; Prados, A. Optimal work in a harmonic trap with bounded stiffness. Phys. Rev. E 2019, 99, 012140. [Google Scholar] [CrossRef] [PubMed]
- Band, Y.; Kafri, O.; Salamon, P. Finite Time Thermodynamics: Optimal Expansion of a Heated Working Fluid. J. Appl. Phys. 1982, 53, 8–28. [Google Scholar] [CrossRef]
- Kaushik, S.C.; Tyagi, S.K.; Kumar, P. Finite Time Thermodynamic Analysis of Stirling and Ericsson Power Cycles. In Finite Time Thermodynamics of Power and Refrigeration Cycles; Springer International Publishing: Cham, Switzerland, 2017; pp. 115–148. [Google Scholar] [CrossRef]
- Chen, Y.H.; Chen, J.F.; Fei, Z.; Quan, H.T. Microscopic theory of the Curzon-Ahlborn heat engine based on a Brownian particle. Phys. Rev. E 2022, 106, 024105. [Google Scholar] [CrossRef]








Disclaimer/Publisher’s Note: The statements, opinions and data contained in all publications are solely those of the individual author(s) and contributor(s) and not of MDPI and/or the editor(s). MDPI and/or the editor(s) disclaim responsibility for any injury to people or property resulting from any ideas, methods, instructions or products referred to in the content. |
© 2025 by the authors. Licensee MDPI, Basel, Switzerland. This article is an open access article distributed under the terms and conditions of the Creative Commons Attribution (CC BY) license (https://creativecommons.org/licenses/by/4.0/).
Share and Cite
Prieto-Rodríguez, I.; Prados, A.; Plata, C.A. Maximum-Power Stirling-like Heat Engine with a Harmonically Confined Brownian Particle. Entropy 2025, 27, 72. https://doi.org/10.3390/e27010072
Prieto-Rodríguez I, Prados A, Plata CA. Maximum-Power Stirling-like Heat Engine with a Harmonically Confined Brownian Particle. Entropy. 2025; 27(1):72. https://doi.org/10.3390/e27010072
Chicago/Turabian StylePrieto-Rodríguez, Irene, Antonio Prados, and Carlos A. Plata. 2025. "Maximum-Power Stirling-like Heat Engine with a Harmonically Confined Brownian Particle" Entropy 27, no. 1: 72. https://doi.org/10.3390/e27010072
APA StylePrieto-Rodríguez, I., Prados, A., & Plata, C. A. (2025). Maximum-Power Stirling-like Heat Engine with a Harmonically Confined Brownian Particle. Entropy, 27(1), 72. https://doi.org/10.3390/e27010072

