Early Warning of Systemic Risk in Commodity Markets Based on Transfer Entropy Networks: Evidence from China
Abstract
1. Introduction
2. Materials and Methods
2.1. Data and Sample
2.2. Transfer Entropy Networks of Commodities
2.3. Measures of Systemic Risk Entropy and Network Structure
2.3.1. Systemic Risk Entropy
2.3.2. Measures of Network Structure of Commodities
- (1)
- Degree
- (2)
- Strength
- (3)
- Betweenness centrality
2.4. Early Warning of Commodity Market Risks
3. Results
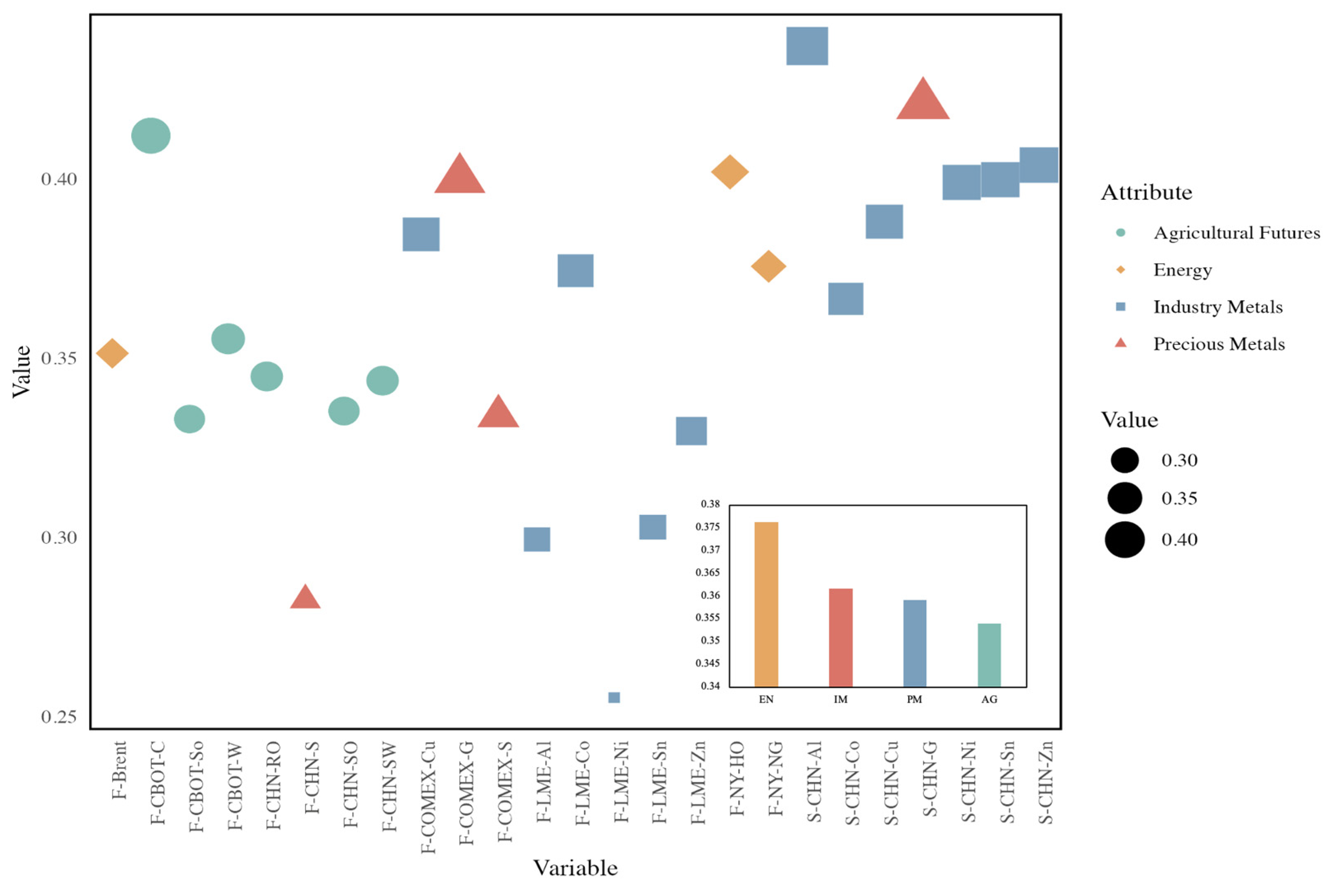
3.1. Subsection Structure of Causal Relationship Network
3.2. Time-Varying Analysis of the Causality Network
3.3. Causal Model External Shock and Early Warning Analysis
4. Conclusions and Discussion
Author Contributions
Funding
Institutional Review Board Statement
Data Availability Statement
Acknowledgments
Conflicts of Interest
References
- Ahmed, A.D.; Huo, R. Volatility transmissions across international oil market, commodity futures and stock markets: Empirical evidence from China. Energy Econ. 2021, 93, 104741. [Google Scholar] [CrossRef]
- Mitsas, S.; Golitsis, P.; Khudoykulov, K.; McMillan, D. Investigating the impact of geopolitical risks on the commodity futures. Cogent Econ. Financ. 2022, 10, 2049477. [Google Scholar] [CrossRef]
- Ding, S.; Cui, T.; Zheng, D.; Du, M. The effects of commodity financialization on commodity market volatility. Resour. Policy 2021, 73, 102220. [Google Scholar] [CrossRef]
- Fattouh, B.; Kilian, L.; Mahadeva, L. The role of speculation in oil markets: What have we learned so far? Energy J. 2013, 34, 7–33. [Google Scholar] [CrossRef]
- Gong, X.; Xu, J. Geopolitical risk and dynamic connectedness between commodity markets. Energy Econ. 2022, 110, 106028. [Google Scholar] [CrossRef]
- Hung, N.T. Oil prices and agricultural commodity markets: Evidence from pre and during COVID-19 outbreak. Resour. Policy 2021, 73, 102236. [Google Scholar] [CrossRef] [PubMed]
- Balli, F.; Naeem, M.A.; Shahzad, S.J.H.; de Bruin, A. Spillover network of commodity uncertainties. Energy Econ. 2019, 81, 914–927. [Google Scholar] [CrossRef]
- Gozgor, G.; Khalfaoui, R.; Yarovaya, L. Global supply chain pressure and commodity markets: Evidence from multiple wavelet and quantile connectedness analyses. Financ. Res. Lett. 2023, 54, 103791. [Google Scholar] [CrossRef]
- He, C.; Huang, K.; Lin, J.; Wang, T.; Zhang, Z. Explain systemic risk of commodity futures market by dynamic network. Int. Rev. Financ. Anal. 2023, 88, 102658. [Google Scholar] [CrossRef]
- Yao, X.; Le, W.; Sun, X.; Li, J. Financial stress dynamics in China: An interconnectedness perspective. Int. Rev. Econ. Financ. 2020, 68, 217–238. [Google Scholar] [CrossRef]
- Liu, J.; Song, Q.; Qi, Y.; Rahman, S.; Sriboonchitta, S. Measurement of systemic risk in global financial markets and its application in forecasting trading decisions. Sustainability 2020, 12, 4000. [Google Scholar] [CrossRef]
- Weiß, G.N.; Bostandzic, D.; Neumann, S. What factors drive systemic risk during international financial crises? J. Bank. Financ. 2014, 41, 78–96. [Google Scholar] [CrossRef]
- Bostandzic, D.; Weiss, G.N. Why do some banks contribute more to global systemic risk? J. Financ. Intermediation 2018, 35, 17–40. [Google Scholar] [CrossRef]
- Cincinelli, P.; Pellini, E.; Urga, G. Systemic risk in the Chinese financial system: A panel Granger causality analysis. Int. Rev. Financ. Anal. 2022, 82, 102179. [Google Scholar] [CrossRef]
- Wu, X.; Bai, X.; Qi, H.; Lu, L.; Yang, M.; Taghizadeh-Hesary, F. The impact of climate change on banking systemic risk. Econ. Anal. Policy 2023, 78, 419–437. [Google Scholar] [CrossRef]
- Magner, N.S.; Hardy, N.; Lavin, J.; Ferreira, T. Forecasting Commodity Market Synchronization with Commodity Currencies: A Network-Based Approach. Entropy 2023, 25, 562. [Google Scholar] [CrossRef] [PubMed]
- Bouri, E.; Lucey, B.; Saeed, T.; Vo, X.V. The realized volatility of commodity futures: Interconnectedness and determinants. Int. Rev. Econ. Financ. 2021, 73, 139–151. [Google Scholar] [CrossRef]
- Karali, B.; Ramirez, O.A. Macro determinants of volatility and volatility spillover in energy markets. Energy Econ. 2014, 46, 413–421. [Google Scholar] [CrossRef]
- Yang, L.; Zhu, Y.; Wang, Y.; Wang, Y. Multifractal detrended cross-correlations between crude oil market and Chinese ten sector stock markets. Phys. A Stat. Mech. Its Appl. 2016, 462, 255–265. [Google Scholar] [CrossRef]
- Albulescu, C.T.; Tiwari, A.K.; Ji, Q. Copula-based local dependence among energy, agriculture and metal commodities markets. Energy 2020, 202, 117762. [Google Scholar] [CrossRef]
- Reboredo, J.C.; Rivera-Castro, M.A.; Zebende, G.F. Oil and US dollar exchange rate dependence: A detrended cross-correlation approach. Energy Econ. 2014, 42, 132–139. [Google Scholar] [CrossRef]
- Ferreira, P.; Loures, L.; Nunes, J.; Brito, P. Are renewable energy stocks a possibility to diversify portfolios considering an environmentally friendly approach? The view of DCCA correlation coefficient. Phys. A Stat. Mech. Its Appl. 2018, 512, 675–681. [Google Scholar] [CrossRef]
- Ahmadi, M.; Behmiri, N.B.; Manera, M. How is volatility in commodity markets linked to oil price shocks? Energy Econ. 2016, 59, 11–23. [Google Scholar] [CrossRef]
- Luo, J.; Ji, Q. High-frequency volatility connectedness between the US crude oil market and China’s agricultural commodity markets. Energy Econ. 2018, 76, 424–438. [Google Scholar] [CrossRef]
- Zhang, D.; Broadstock, D.C. Global financial crisis and rising connectedness in the international commodity markets. Int. Rev. Financ. Anal. 2020, 68, 101239. [Google Scholar] [CrossRef]
- Chang, T.-H.; Su, H.-M. The substitutive effect of biofuels on fossil fuels in the lower and higher crude oil price periods. Energy 2010, 35, 2807–2813. [Google Scholar] [CrossRef]
- Marfatia, H.A.; Ji, Q.; Luo, J. Forecasting the volatility of agricultural commodity futures: The role of co-volatility and oil volatility. J. Forecast. 2022, 41, 383–404. [Google Scholar] [CrossRef]
- Wang, Y.; Wu, C.; Yang, L. Oil price shocks and agricultural commodity prices. Energy Econ. 2014, 44, 22–35. [Google Scholar] [CrossRef]
- Hernandez, J.A.; Shahzad, S.J.H.; Uddin, G.S.; Kang, S.H. Can agricultural and precious metal commodities diversify and hedge extreme downside and upside oil market risk? An extreme quantile approach. Resour. Policy 2019, 62, 588–601. [Google Scholar] [CrossRef]
- Ji, Q.; Bouri, E.; Roubaud, D.; Shahzad, S.J.H. Risk spillover between energy and agricultural commodity markets: A dependence-switching CoVaR-copula model. Energy Econ. 2018, 75, 14–27. [Google Scholar] [CrossRef]
- Wu, F.; Zhao, W.-L.; Ji, Q.; Zhang, D. Dependency, centrality and dynamic networks for international commodity futures prices. Int. Rev. Econ. Financ. 2020, 67, 118–132. [Google Scholar] [CrossRef]
- Chen, P.; He, L.; Yang, X. On interdependence structure of China’s commodity market. Resour. Policy 2021, 74, 102256. [Google Scholar] [CrossRef]
- An, S.; Gao, X.; An, H.; Liu, S.; Sun, Q.; Jia, N. Dynamic volatility spillovers among bulk mineral commodities: A network method. Resour. Policy 2020, 66, 101613. [Google Scholar] [CrossRef]
- Ji, Q.; Fan, Y. How do China’s oil markets affect other commodity markets both domestically and internationally? Financ. Res. Lett. 2016, 19, 247–254. [Google Scholar] [CrossRef]
- Umar, Z.; Zaremba, A.; Olson, D. Seven centuries of commodity co-movement: A wavelet analysis approach. Appl. Econ. Lett. 2022, 29, 355–359. [Google Scholar] [CrossRef]
- Kirikkaleli, D.; Darbaz, I. The causal linkage between energy price and food price. Energies 2021, 14, 4182. [Google Scholar] [CrossRef]
- Billio, M.; Getmansky, M.; Lo, A.W.; Pelizzon, L. Econometric measures of connectedness and systemic risk in the finance and insurance sectors. J. Financ. Econ. 2012, 104, 535–559. [Google Scholar] [CrossRef]
- Miwakeichi, F.; Galka, A. Comparison of Bootstrap Methods for Estimating Causality in Linear Dynamic Systems: A Review. Entropy 2023, 25, 1070. [Google Scholar] [CrossRef] [PubMed]
- Niu, H.; Hu, Z. Information transmission and entropy-based network between Chinese stock market and commodity futures market. Resour. Policy 2021, 74, 102294. [Google Scholar] [CrossRef]
- Wang, X.; Gao, X.; Wu, T.; Sun, X. Dynamic multiscale analysis of causality among mining stock prices. Resour. Policy 2022, 77, 102708. [Google Scholar] [CrossRef]
- Mao, X.; Shang, P. Transfer entropy between multivariate time series. Commun. Nonlinear Sci. Numer. Simul. 2017, 47, 338–347. [Google Scholar] [CrossRef]
- Barnett, L.; Barrett, A.B.; Seth, A.K. Granger causality and transfer entropy are equivalent for Gaussian variables. Phys. Rev. Lett. 2009, 103, 238701. [Google Scholar] [CrossRef] [PubMed]
- Papana, A.; Papana-Dagiasis, A.; Siggiridou, E. Shortcomings of transfer entropy and partial transfer entropy: Extending them to escape the curse of dimensionality. Int. J. Bifurc. Chaos 2020, 30, 2050250. [Google Scholar] [CrossRef]
- Korbel, J.; Jiang, X.; Zheng, B. Transfer entropy between communities in complex financial networks. Entropy 2019, 21, 1124. [Google Scholar] [CrossRef]
- Dhifaoui, Z.; Khalfaoui, R.; Abedin, M.Z.; Shi, B. Quantifying information transfer among clean energy, carbon, oil, and precious metals: A novel transfer entropy-based approach. Financ. Res. Lett. 2022, 49, 103138. [Google Scholar] [CrossRef]
- da Silva, J.M.; Ferreira, M.G.; de Carvalho Barreto, Í.D.; Stosic, T.; Stosic, B. Using Transfer entropy to measure the information flow in Sugar, Ethanol and Crude Oil price series. Sigmae 2019, 8, 405–410. [Google Scholar]
- Liu, C.; Sun, X.; Wang, J.; Li, J.; Chen, J. Multiscale information transmission between commodity markets: An EMD-Based transfer entropy network. Res. Int. Bus. Financ. 2021, 55, 101318. [Google Scholar] [CrossRef]
- Bossman, A.; Bossman, A.; Agyei, S.K.; Agyei, S.K. ICEEMDAN-Based Transfer Entropy between Global Commodity Classes and African Equities. Math. Probl. Eng. 2022, 2022, 8964989. [Google Scholar] [CrossRef]
- Ding, S.; Zhang, Y. Cross market predictions for commodity prices. Econ. Model. 2020, 91, 455–462. [Google Scholar] [CrossRef]
- Schreiber, T. Measuring information transfer. Phys. Rev. Lett. 2000, 85, 461. [Google Scholar] [CrossRef] [PubMed]
- Shannon, C.E. A mathematical theory of communication. Bell Syst. Tech. J. 1948, 27, 379–423. [Google Scholar] [CrossRef]
- Kullback, S.; Leibler, R.A. On Information and Sufficiency. Ann. Math. Stat. 1951, 22, 79–86. [Google Scholar] [CrossRef]
- Bekiros, S.; Nguyen, D.K.; Junior, L.S.; Uddin, G.S. Information diffusion, cluster formation and entropy-based network dynamics in equity and commodity markets. Eur. J. Oper. Res. 2017, 256, 945–961. [Google Scholar] [CrossRef]
- Xiao, J.; Wang, M.; Tian, L.; Zhen, Z. The measurement of China’s consumer market development based on CPI data. Phys. A Stat. Mech. Its Appl. 2018, 490, 664–680. [Google Scholar] [CrossRef]
- Dalin, C.; Konar, M.; Hanasaki, N.; Rinaldo, A.; Rodriguez-Iturbe, I. Evolution of the global virtual water trade network. Proc. Natl. Acad. Sci. USA 2012, 109, 5989–5994. [Google Scholar] [CrossRef] [PubMed]
- Brandes, U. A faster algorithm for betweenness centrality. J. Math. Sociol. 2001, 25, 163–177. [Google Scholar] [CrossRef]
- Siklos, P.L.; Stefan, M.; Wellenreuther, C. Metal prices made in China? A network analysis of industrial metal futures. J. Futures Mark. 2020, 40, 1354–1374. [Google Scholar] [CrossRef]
- Xiao, B.; Yu, H.; Fang, L.; Ding, S. Estimating the connectedness of commodity futures using a network approach. J. Futures Mark. 2020, 40, 598–616. [Google Scholar] [CrossRef]
- Wang, Y.; Zhang, Z.; Li, X.; Chen, X.; Wei, Y. Dynamic return connectedness across global commodity futures markets: Evidence from time and frequency domains. Phys. A Stat. Mech. Its Appl. 2020, 542, 123464. [Google Scholar] [CrossRef]
- Yu, H.; Ding, Y.; Sun, Q.; Gao, X.; Jia, X.; Wang, X.; Guo, S. Multi-scale comovement of the dynamic correlations between copper futures and spot prices. Resour. Policy 2021, 70, 101913. [Google Scholar] [CrossRef]
- Naeem, M.A.; Hamouda, F.; Karim, S. Tail risk spillover effects in commodity markets: A comparative study of crisis periods. J. Commod. Mark. 2024, 33, 100370. [Google Scholar] [CrossRef]








| Type | Series | Description |
|---|---|---|
| Energy | F-Brent | Brent oil futures |
| F-NY-HO | New York Harbor No. 2 heating oil futures (USD per Gallon) | |
| F-NY-NG | Natural Gas Futures Contract 1 (USD per million Btu) | |
| Industrial metals | S-CHN-Cu | China’s domestic copper spot |
| F-COMEX-Cu | COMEX copper futures | |
| F-LME-Ni | LME nickel futures | |
| S-CHN-Ni | China’s domestic nickel spot | |
| F-LME-Co | LME cobalt futures | |
| S-CHN-Co | China’s domestic cobalt spot | |
| F-LME-Al | LME aluminum futures | |
| S-CHN-Al | China’s domestic aluminum spot | |
| F-LME-Sn | LME tin futures | |
| S-CHN-Sn | China’s domestic tin spot | |
| F-LME-Zn | LME zinc futures | |
| S-CHN-Zn | China’s domestic zinc spot | |
| Precious metals | F-COMEX-G | COMEX gold futures |
| F-CHN-G | China’s domestic gold futures | |
| F-COMEX-S | COMEX silver futures | |
| S-CHN-S | China’s domestic silver spot | |
| Agricultural products | F-CHN-RO | China’s domestic seed oil futures |
| F-CBOT-So | CBOT soybean futures | |
| F-CBOT-C | CBOT corn futures | |
| F-CBOT-W | CBOT wheat futures | |
| F-CHN-SO | South China index soybean oil futures | |
| F-CHN-SW | South China index strong wheat futures |
| Variables | Model 1 | Model 2 | Model 3 |
|---|---|---|---|
| Out-strength | 0.008 *** | 0.019 *** | 0.020 *** |
| (0.000) | (0.000) | (0.000) | |
| Out-degree | −0.002 *** | −0.002 *** | |
| (0.000) | (0.000) | ||
| Betweenness centrality | −0.055 *** | ||
| (0.000) | |||
| Observations | 2288 | 2288 | 2288 |
| R-squared | 0.020 | 0.041 | 0.047 |
| F-statistic | 48.04 | 49.4 | 37.24 |
| Prob (F) | 0.000 | 0.000 | 0.000 |
Disclaimer/Publisher’s Note: The statements, opinions and data contained in all publications are solely those of the individual author(s) and contributor(s) and not of MDPI and/or the editor(s). MDPI and/or the editor(s) disclaim responsibility for any injury to people or property resulting from any ideas, methods, instructions or products referred to in the content. |
© 2024 by the authors. Licensee MDPI, Basel, Switzerland. This article is an open access article distributed under the terms and conditions of the Creative Commons Attribution (CC BY) license (https://creativecommons.org/licenses/by/4.0/).
Share and Cite
Zhao, Y.; Gao, X.; Wei, H.; Sun, X.; An, S. Early Warning of Systemic Risk in Commodity Markets Based on Transfer Entropy Networks: Evidence from China. Entropy 2024, 26, 549. https://doi.org/10.3390/e26070549
Zhao Y, Gao X, Wei H, Sun X, An S. Early Warning of Systemic Risk in Commodity Markets Based on Transfer Entropy Networks: Evidence from China. Entropy. 2024; 26(7):549. https://doi.org/10.3390/e26070549
Chicago/Turabian StyleZhao, Yiran, Xiangyun Gao, Hongyu Wei, Xiaotian Sun, and Sufang An. 2024. "Early Warning of Systemic Risk in Commodity Markets Based on Transfer Entropy Networks: Evidence from China" Entropy 26, no. 7: 549. https://doi.org/10.3390/e26070549
APA StyleZhao, Y., Gao, X., Wei, H., Sun, X., & An, S. (2024). Early Warning of Systemic Risk in Commodity Markets Based on Transfer Entropy Networks: Evidence from China. Entropy, 26(7), 549. https://doi.org/10.3390/e26070549
