Events as Elements of Physical Observation: Experimental Evidence
Abstract
1. Introduction
2. The Three Key Experiments


3. Differences and Commonalities between the Three Key Experiments
4. Emergence and Erasure of Elementary Observations
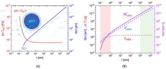
4.1. Rutherford Scattering
4.2. Visualization of Nuclear Particle Tracks
4.3. Producing Permanent Images of Photon Impacts
5. Summary, Conclusions, and Outlook
Funding
Institutional Review Board Statement
Data Availability Statement
Conflicts of Interest
References
- Geiger, H.; Marsden, E. The Laws of Deflexion of a-Particles through Large Angles. Phil. Mag. 1913, 25, 604–623. [Google Scholar] [CrossRef]
- Rutherford, E. The Scattering of α and β Particles by Matter and the Structure of the Atom. Phil. Mag. 1911, 21, 669–688. [Google Scholar] [CrossRef]
- Rutherford, E. The Structure of the Atom. Phil. Mag. 1914, 27, 488–498. [Google Scholar] [CrossRef]
- Meschede, D. Youngs Interferenzexperiment mit Licht. In Die Top Ten der Schönsten Physikalischen Experimente; Fäßler, A., Jönsson, C., Eds.; Rowohlt Verlag: Hamburg, Germany, 2005; pp. 94–105. ISBN 3-499-61628-9. [Google Scholar]
- Jönsson, C. Electron Diffraction at Multiple Slits. Am. J. Phys. 1974, 42, 4–11. [Google Scholar] [CrossRef]
- Carnal, O.; Mlynek, J. Young’s double-slit experiment with atoms: A simple atom interferometer. Phys. Rev. Lett. 1991, 66, 2689–2692. [Google Scholar] [CrossRef]
- Nairz, O.; Arndt, M.; Zeilinger, A. Quantum interference experiments with large molecules. Am. J. Phys. 2003, 71, 319–325. [Google Scholar] [CrossRef]
- Wilson, C.T.R. On a Method of Making Visible the Paths of Ionising Particles through a Gas. Proc. R. Soc. Lond. A Math. Phys. Eng. Sci. 1911, 85, 578. [Google Scholar]
- Glaser, D.A. Some Effects of Ionizing Radiation on the Formation of Bubbles in Liquids. Phys. Rev. 1952, 87, 665. [Google Scholar] [CrossRef]
- Griffiths, L.; Symoms, C.R.; Zacharov, B. Determination of Particle Momenta in Spark Chamber and Counter Experiments; CERN Yellow Reports: Monographs CERN-66-17; CERN: Geneva, Switzerland, 1966. [Google Scholar]
- Dosch, H.G. Jenseits der Nanowelt—Leptonen, Quarks und Eichbosonen; Springer: Berlin/Heidelberg, Germany, 2005; ISBN 978-3-540-22889-9. [Google Scholar]
- LeSurf, J.C.G. Information and Measurement; I.O.P. Publsihing Ltd.: Bristol, UK; Philadelphia, PA, USA, 1995; ISBN 0-7503-0308-5. [Google Scholar]
- Shannon, C.E. A Mathematical Theory of Communication. Bell Syst. Tech. J. 1948, 27, 379–423. [Google Scholar] [CrossRef]
- Ben-Naim, A. Information Theory; World Scientific: Singapore, 2017. [Google Scholar]
- Wheeler, J.A. Information, physics, quantum: The search for links. In Proceedings of the 3rd International Symposium on Foundations of Quantum Mechanics in the Light of New Technology, Tokyo, Japan, 28–31 August 1989; pp. 354–368. [Google Scholar]
- Knuth, K.H. Information-Based Physics and the Influence Network. In It from Bit or Bit from It? Aguirre, A., Foster, B., Merali, Z., Eds.; Springer: Berlin/Heidelberg, Germany, 2015. [Google Scholar]
- Landauer, R. Irreversibility and heat generation in the computing process. IBM J. Res. 1961, 5, 183–191. [Google Scholar] [CrossRef]
- Landauer, R. Information is physical. Phys. Today 1991, 44, 23–29. [Google Scholar] [CrossRef]
- Landauer, R. Minimal energy requirements in communication. Science 1996, 272, 1914–1918. [Google Scholar] [CrossRef] [PubMed]
- Knuth, K.H.; Walsh, J.L. An introduction to influence theory: Kinematics and dynamics. Ann. Phys. 2019, 531, 1800091. [Google Scholar] [CrossRef]
- Bormashenko, E. The Landauer Principle: Re-Formulation of the Second Thermodynamics Law or a Step to Great Unification? Entropy 2019, 21, 918. [Google Scholar] [CrossRef]
- Müller, J.G. A conceptual Device Turning Quantum-Mechanical Interactions into Macrocopically Observable Events; Munich University of Applied Sciences: Munich, Germany, 2024; manuscript in preparation. [Google Scholar]
- Müller, J.G. Assigning Meaning to Physical Observations; Munich University of Applied Sciences: Munich, Germany, 2024; manuscript in preparation. [Google Scholar]
- Thompson, J.J. On the structure of the atom. Phil. Mag. 1904, 7, 237–265. [Google Scholar]
- Bohr, N. On the constitution of atoms and molecules. Phil. Mag. J. Sci. 1913, 26, 1–25. [Google Scholar] [CrossRef]
- Heisenberg, W. Über quantentheoretische Umdeutung kinematischer und mechanischer Beziehungen—On the reformulation of kinematic and mechanical relationships. Z. Phys. 1925, 33, 879–893. [Google Scholar] [CrossRef]
- Schrödinger, E. An Undulatory Theory of the Mechanics of Atoms and Molecules. Phys. Rev. 1926, 28, 1049–1070. [Google Scholar] [CrossRef]
- Double-Slit Experiment—Wikipedia. Available online: https://en.wikipedia.org/wiki/Double-slit_experiment (accessed on 1 February 2024).
- Particle Tracks in AWAN Expansion Cloud Chamber—Cloud Chamber—Wikipedia. Available online: https://en.wikipedia.org/wiki/Cloud_chamber (accessed on 1 February 2024).
- Jackson, J.D. Classical Electrodynamics; John Wiley & Sons: New York, NY, USA, 1975; p. 629. [Google Scholar]
- Matossi, F.; Leutwein, K.; Schmid, G. Elektronenbeweglichkeit in Zinksufid-Einkristallen. Z. Naturforschg. 1966, 21, 461–464. [Google Scholar] [CrossRef][Green Version]
- Fluorescence—Wikipedia. Available online: https://en.wikipedia.org/wiki/Fluorescence (accessed on 1 February 2024).
- Müller, J.G. Information contained in molecular motion. Entropy 2019, 21, 1052. [Google Scholar] [CrossRef]
- Müller, J.G. Photon detection as a process of information gain. Entropy 2020, 22, 392. [Google Scholar] [CrossRef] [PubMed]
- Christen, H.R. Grundlagen der Allgemeinen und Anorganischen Chemie; Otto Salle Verlag: Frankfurt, Germany, 1982; ISBN 3-7935-5394-9. [Google Scholar]
- Ostwald, W. Studien über die Bildung und Umwandlung fester Körper—Studies on the formation and transformation of solid bodies. Z. Phys. Chem. 1897, 22, 289–330. [Google Scholar] [CrossRef]
- Enthalpy of Vaporization—Wikipedia. Available online: https://en.wikipedia.org/wiki/Enthalpy_of_vaporization (accessed on 1 February 2024).
- Surface Tension—Wikipedia. Available online: https://en.wikipedia.org/wiki/Surface_Tension (accessed on 1 February 2024).
- Thomson, W. On the equilibrium of vapor at a curved surface of liquid. Phil. Mag. 1871, 42, 448–452. [Google Scholar] [CrossRef]
- Von Helmholtz, R. Untersuchungen über Dämple und Nebel, besonders über solche von Lösungen (Investigations of vapors and mists, and especially of such things from solutions). Ann. Phys. 1886, 263, 508–543. [Google Scholar] [CrossRef]
- Szilárd, L. Über die Entropieverminderung in einem thermodynamischen System bei Eingriffen intelligenter Wesen. Z. Phys. 1929, 53, 840–856. (In German) [Google Scholar] [CrossRef]
- Ben-Naim, A. A Farewell to Entropy: Statistical Thermodynamics Based on Information; World Scientific Publishing Co. Pte. Ltd.: Singpore, 2008. [Google Scholar] [CrossRef]




Disclaimer/Publisher’s Note: The statements, opinions and data contained in all publications are solely those of the individual author(s) and contributor(s) and not of MDPI and/or the editor(s). MDPI and/or the editor(s) disclaim responsibility for any injury to people or property resulting from any ideas, methods, instructions or products referred to in the content. |
© 2024 by the author. Licensee MDPI, Basel, Switzerland. This article is an open access article distributed under the terms and conditions of the Creative Commons Attribution (CC BY) license (https://creativecommons.org/licenses/by/4.0/).
Share and Cite
Müller, J.G. Events as Elements of Physical Observation: Experimental Evidence. Entropy 2024, 26, 255. https://doi.org/10.3390/e26030255
Müller JG. Events as Elements of Physical Observation: Experimental Evidence. Entropy. 2024; 26(3):255. https://doi.org/10.3390/e26030255
Chicago/Turabian StyleMüller, J. Gerhard. 2024. "Events as Elements of Physical Observation: Experimental Evidence" Entropy 26, no. 3: 255. https://doi.org/10.3390/e26030255
APA StyleMüller, J. G. (2024). Events as Elements of Physical Observation: Experimental Evidence. Entropy, 26(3), 255. https://doi.org/10.3390/e26030255

