Anomalous Non-Hermitian Open-Boundary Spectrum
Abstract
1. Introduction
2. Model and Theory
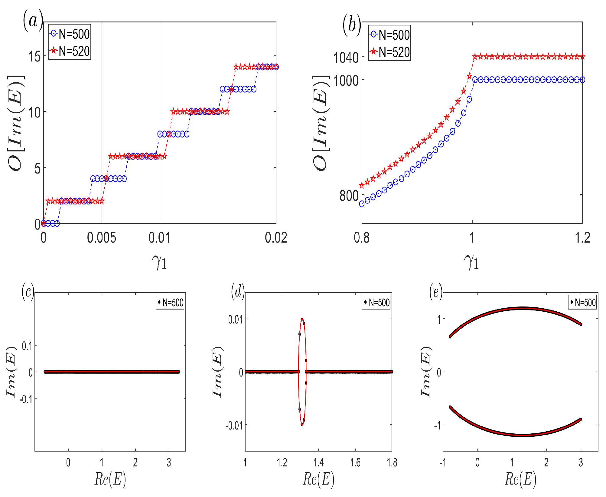
3. Anomalous Non-Hermitian Open-Boundary Spectrum
4. Conclusions and Discussion
Author Contributions
Funding
Data Availability Statement
Conflicts of Interest
References
- Xiong, Y. Why does bulk boundary correspondence fail in some non-hermitian topological models. J. Phys. Commun. 2018, 2, 035043. [Google Scholar] [CrossRef]
- Martinez Alvarez, V.M.; Barrios Vargas, J.E.; Foa Torres, L.E.F. Non-Hermitian robust edge states in one dimension: Anomalous localization and eigenspace condensation at exceptional points. Phys. Rev. B 2018, 97, 121401. [Google Scholar] [CrossRef]
- Guo, C.X.; Liu, C.H.; Zhao, X.M.; Liu, Y.; Chen, S. Exact Solution of Non-Hermitian Systems with Generalized Boundary Conditions: Size-Dependent Boundary Effect and Fragility of the Skin Effect. Phys. Rev. Lett. 2021, 127, 116801. [Google Scholar] [CrossRef]
- Longhi, S. Non-Hermitian skin effect beyond the tight-binding models. Phys. Rev. B 2021, 104, 125109. [Google Scholar] [CrossRef]
- Liu, Y.; Han, Y.; Liu, C. Topological phases of non-Hermitian SSH model with spin-orbit coupling. Optik 2022, 255, 168727. [Google Scholar] [CrossRef]
- Li, S.; Li, M.; Gao, Y.; Tong, P. Topological properties and localization transition in a one-dimensional non-Hermitian lattice with a slowly varying potential. Phys. Rev. B 2022, 105, 104201. [Google Scholar] [CrossRef]
- Wanjura, C.C.; Brunelli, M.; Nunnenkamp, A. Correspondence between Non-Hermitian Topology and Directional Amplification in the Presence of Disorder. Phys. Rev. Lett. 2021, 127, 213601. [Google Scholar] [CrossRef]
- Zhai, L.J.; Huang, G.Y.; Yin, S. Cascade of the delocalization transition in a non-Hermitian interpolating Aubry-André-Fibonacci chain. Phys. Rev. B 2021, 104, 014202. [Google Scholar] [CrossRef]
- Xiao, L.; Deng, T.; Wang, K.; Wang, Z.; Yi, W.; Xue, P. Observation of Non-Bloch Parity-Time Symmetry and Exceptional Points. Phys. Rev. Lett. 2021, 126, 230402. [Google Scholar] [CrossRef]
- Li, T.; Sun, J.Z.; Zhang, Y.S.; Yi, W. Non-Bloch quench dynamics. Phys. Rev. Res. 2021, 3, 023022. [Google Scholar] [CrossRef]
- Kawabata, K.; Shiozaki, K.; Ryu, S. Topological Field Theory of Non-Hermitian Systems. Phys. Rev. Lett. 2021, 126, 216405. [Google Scholar] [CrossRef] [PubMed]
- Kim, K.M.; Park, M.J. Disorder-driven phase transition in the second-order non-Hermitian skin effect. Phys. Rev. B 2021, 104, L121101. [Google Scholar] [CrossRef]
- Xue, W.T.; Hu, Y.M.; Song, F.; Wang, Z. Non-Hermitian Edge Burst. Phys. Rev. Lett. 2022, 128, 120401. [Google Scholar] [CrossRef]
- Ezawa, M. Non-Hermitian non-Abelian topological insulators with symmetry. Phys. Rev. Res. 2021, 3, 043006. [Google Scholar] [CrossRef]
- Guo, G.F.; Bao, X.X.; Tan, L. Non-Hermitian bulk-boundary correspondence and singular behaviors of generalized Brillouin zone. New J. Phys. 2021, 23, 123007. [Google Scholar] [CrossRef]
- Michen, B.; Micallo, T.; Budich, J.C. Exceptional non-Hermitian phases in disordered quantum wires. Phys. Rev. B 2021, 104, 035413. [Google Scholar] [CrossRef]
- Shen, Y.X.; Peng, Y.G.; Cao, P.C.; Li, J.; Zhu, X.F. Observing localization and delocalization of the flat-band states in an acoustic cubic lattice. Phys. Rev. B 2022, 105, 104102. [Google Scholar] [CrossRef]
- Li, T.; Zhang, Y.S.; Yi, W. Engineering dissipative quasicrystals. Phys. Rev. B 2022, 105, 125111. [Google Scholar] [CrossRef]
- Lee, C.H. Many-body topological and skin states without open boundaries. Phys. Rev. B 2021, 104, 195102. [Google Scholar] [CrossRef]
- Okuma, N.; Sato, M. Non-Hermitian Skin Effects in Hermitian Correlated or Disordered Systems: Quantities Sensitive or Insensitive to Boundary Effects and Pseudo-Quantum-Number. Phys. Rev. Lett. 2021, 126, 176601. [Google Scholar] [CrossRef]
- Pires, D.P.; Macrì, T. Probing phase transitions in non-Hermitian systems with multiple quantum coherences. Phys. Rev. B 2021, 104, 155141. [Google Scholar] [CrossRef]
- Schindler, F.; Prem, A. Dislocation non-Hermitian skin effect. Phys. Rev. B 2021, 104, L161106. [Google Scholar] [CrossRef]
- Cai, X. Boundary-dependent self-dualities, winding numbers, and asymmetrical localization in non-Hermitian aperiodic one-dimensional models. Phys. Rev. B 2021, 103, 014201. [Google Scholar] [CrossRef]
- Shiozaki, K.; Ono, S. Symmetry indicator in non-Hermitian systems. Phys. Rev. B 2021, 104, 035424. [Google Scholar] [CrossRef]
- Kawabata, K.; Ryu, S. Nonunitary Scaling Theory of Non-Hermitian Localization. Phys. Rev. Lett. 2021, 126, 166801. [Google Scholar] [CrossRef]
- Yu, L.W.; Deng, D.L. Unsupervised Learning of Non-Hermitian Topological Phases. Phys. Rev. Lett. 2021, 126, 240402. [Google Scholar] [CrossRef]
- Yang, Z.; Schnyder, A.P.; Hu, J.; Chiu, C.K. Fermion Doubling Theorems in Two-Dimensional Non-Hermitian Systems for Fermi Points and Exceptional Points. Phys. Rev. Lett. 2021, 126, 086401. [Google Scholar] [CrossRef]
- Zirnstein, H.G.; Refael, G.; Rosenow, B. Bulk-Boundary Correspondence for Non-Hermitian Hamiltonians via Green Functions. Phys. Rev. Lett. 2021, 126, 216407. [Google Scholar] [CrossRef] [PubMed]
- Mao, L.; Deng, T.; Zhang, P. Boundary condition independence of non-Hermitian Hamiltonian dynamics. Phys. Rev. B 2021, 104, 125435. [Google Scholar] [CrossRef]
- Yoshida, T.; Hatsugai, Y. Correlation effects on non-Hermitian point-gap topology in zero dimension: Reduction of topological classification. Phys. Rev. B 2021, 104, 075106. [Google Scholar] [CrossRef]
- Wang, C.; Wang, X.R. Hermitian chiral boundary states in non-Hermitian topological insulators. Phys. Rev. B 2022, 105, 125103. [Google Scholar] [CrossRef]
- Xi, W.; Zhang, Z.H.; Gu, Z.C.; Chen, W.Q. Classification of topological phases in one dimensional interacting non-Hermitian systems and emergent unitarity. Sci. Bull. 2021, 66, 1731–1739. [Google Scholar] [CrossRef] [PubMed]
- Zhong, J.; Wang, K.; Park, Y.; Asadchy, V.; Wojcik, C.C.; Dutt, A.; Fan, S. Nontrivial point-gap topology and non-Hermitian skin effect in photonic crystals. Phys. Rev. B 2021, 104, 125416. [Google Scholar] [CrossRef]
- Liu, S.; Shao, R.; Ma, S.; Zhang, L.; You, O.; Wu, H.; Xiang, Y.J.; Cui, T.J.; Zhang, S. Non-Hermitian Skin Effect in a Non-Hermitian Electrical Circuit. Research 2021, 2021, 5608038. [Google Scholar] [CrossRef] [PubMed]
- Lee, T.E. Anomalous Edge State in a Non-Hermitian Lattice. Phys. Rev. Lett. 2016, 116, 133903. [Google Scholar] [CrossRef]
- Yao, S.; Wang, Z. Edge States and Topological Invariants of Non-Hermitian Systems. Phys. Rev. Lett. 2018, 121, 086803. [Google Scholar] [CrossRef]
- Yokomizo, K.; Murakami, S. Non-Bloch Band Theory of Non-Hermitian Systems. Phys. Rev. Lett. 2019, 123, 066404. [Google Scholar] [CrossRef]
- Zhang, K.; Yang, Z.; Fang, C. Correspondence between Winding Numbers and Skin Modes in Non-Hermitian Systems. Phys. Rev. Lett. 2020, 125, 126402. [Google Scholar] [CrossRef]
- Yang, Z.; Zhang, K.; Fang, C.; Hu, J. Non-Hermitian Bulk-Boundary Correspondence and Auxiliary Generalized Brillouin Zone Theory. Phys. Rev. Lett. 2020, 125, 226402. [Google Scholar] [CrossRef]
- Kunst, F.K.; Edvardsson, E.; Budich, J.C.; Bergholtz, E.J. Biorthogonal Bulk-Boundary Correspondence in Non-Hermitian Systems. Phys. Rev. Lett. 2018, 121, 026808. [Google Scholar] [CrossRef]
- Li, L.; Lee, C.H.; Mu, S.; Gong, J. Critical non-Hermitian skin effect. Nat. Commun. 2020, 11, 5491. [Google Scholar] [CrossRef] [PubMed]
- Li, L.; Oshikawa, M.; Zheng, Y. Symmetry Protected Topological Criticality: Decorated Defect Construction, Signatures and Stability. arXiv 2022. [Google Scholar] [CrossRef]
- Yang, H.; Li, L.; Okunishi, K.; Katsura, H. Duality, Criticality, Anomaly, and Topology in Quantum Spin-1 Chains. Phys. Rev. B 2023, 107, 125158. [Google Scholar] [CrossRef]
- Balabanov, O.; Ortega-Taberner, C.; Hermanns, M. Quantization of topological indices in critical chains at low temperatures. Phys. Rev. B 2022, 106, 045116. [Google Scholar] [CrossRef]
- Huang, W.; Yao, Y. Critical region of topological trivial and nontrivial phases in interacting Kitaev chain with spatially varying potentials. arXiv 2021. [Google Scholar] [CrossRef]
- Rahul, S.; Sarkar, S. Topological Quantum Criticality in non-Hermitian Kitaev chain with Longer Range Interaction. arXiv 2021. [Google Scholar] [CrossRef]
- Fraxanet, J.; González-Cuadra, D.; Pfau, T.; Lewenstein, M.; Langen, T.; Barbiero, L. Topological Quantum Critical Points in the Extended Bose-Hubbard Model. Phys. Rev. Lett. 2022, 128, 043402. [Google Scholar] [CrossRef]
- Balabanov, O.; Erkensten, D.; Johannesson, H. Topology of critical chiral phases: Multiband insulators and superconductors. Phys. Rev. Res. 2021, 3, 043048. [Google Scholar] [CrossRef]
- Kurilovich, V.D.; Murthy, C.; Kurilovich, P.D.; van Heck, B.; Glazman, L.I.; Nayak, C. Quantum critical dynamics of a Josephson junction at the topological transition. Phys. Rev. B 2021, 104, 014509. [Google Scholar] [CrossRef]
- Rufo, S.; Lopes, N.; Continentino, M.A.; Griffith, M.A.R. Multicritical behavior in topological phase transitions. Phys. Rev. B 2019, 100, 195432. [Google Scholar] [CrossRef]
- Sbierski, B.; Karcher, J.F.; Foster, M.S. Spectrum-Wide Quantum Criticality at the Surface of Class AIII Topological Phases: An “Energy Stack” of Integer Quantum Hall Plateau Transitions. Phys. Rev. X 2020, 10, 021025. [Google Scholar] [CrossRef]
- Wiedmann, R.; Lenke, L.; Walther, M.R.; Mühlhauser, M.; Schmidt, K.P. Quantum critical phase transition between two topologically ordered phases in the Ising toric code bilayer. Phys. Rev. B 2020, 102, 214422. [Google Scholar] [CrossRef]
- Wu, X.C.; Xu, Y.; Geng, H.; Jian, C.M.; Xu, C. Boundary criticality of topological quantum phase transitions in two-dimensional systems. Phys. Rev. B 2020, 101, 174406. [Google Scholar] [CrossRef]
- You, Y.; Bibo, J.; Pollmann, F.; Hughes, T.L. Fracton Critical Point in Higher-Order Topological Phase Transition. Phys. Rev. B 2020, 106, 235130. [Google Scholar] [CrossRef]
- Kartik, Y.R.; Kumar, R.R.; Rahul, S.; Roy, N.; Sarkar, S. Topological quantum phase transitions and criticality in a longer-range Kitaev chain. Phys. Rev. B 2021, 104, 075113. [Google Scholar] [CrossRef]
- Iqbal, M.; Schuch, N. Entanglement Order Parameters and Critical Behavior for Topological Phase Transitions and Beyond. Phys. Rev. X 2021, 11, 041014. [Google Scholar] [CrossRef]
- Sadrzadeh, M.; Jafari, R.; Langari, A. Dynamical topological quantum phase transitions at criticality. Phys. Rev. B 2021, 103, 144305. [Google Scholar] [CrossRef]
- Xiao, T.; Xie, D.; Dong, Z.; Chen, T.; Yi, W.; Yan, B. Observation of topological phase with critical localization in a quasi-periodic lattice. Sci. Bull. 2021, 66, 2175–2180. [Google Scholar] [CrossRef]
- Song, A.Y.; Sun, X.Q.; Dutt, A.; Minkov, M.; Wojcik, C.; Wang, H.; Williamson, I.A.D.; Orenstein, M.; Fan, S. -Symmetric Topological Edge-Gain Effect. Phys. Rev. Lett. 2020, 125, 033603. [Google Scholar] [CrossRef]
- Denner, M.M.; Skurativska, A.; Fischer, M.H.; Thomale, R.; Bzdušek, T.; Neupert, T. Exceptional topological insulators. Nat. Commun. 2021, 12, 5681. [Google Scholar] [CrossRef]
- Lee, C.H.; Thomale, R. Anatomy of skin modes and topology in non-Hermitian systems. Phys. Rev. B 2019, 99, 201103. [Google Scholar] [CrossRef]
- Okugawa, R.; Takahashi, R.; Yokomizo, K. Non-Hermitian band topology with generalized inversion symmetry. Phys. Rev. B 2021, 103, 205205. [Google Scholar] [CrossRef]
- He, Y.; Chien, C.C. Non-Hermitian generalizations of extended Su–Schrieffer–Heeger models. J. Phys. Condens. Matter 2020, 33, 085501. [Google Scholar] [CrossRef] [PubMed]
- Vecsei, P.M.; Denner, M.M.; Neupert, T.; Schindler, F. Symmetry indicators for inversion-symmetric non-Hermitian topological band structures. Phys. Rev. B 2021, 103, L201114. [Google Scholar] [CrossRef]
- Okuma, N.; Kawabata, K.; Shiozaki, K.; Sato, M. Topological Origin of Non-Hermitian Skin Effects. Phys. Rev. Lett. 2020, 124, 086801. [Google Scholar] [CrossRef]
- Gong, Z.; Ashida, Y.; Kawabata, K.; Takasan, K.; Higashikawa, S.; Ueda, M. Topological Phases of Non-Hermitian Systems. Phys. Rev. X 2018, 8, 031079. [Google Scholar] [CrossRef]
- Kumar, R.R.; Roy, N.; Kartik, Y.R.; Rahul, S.; Sarkar, S. Topological phase transition at quantum criticality. arXiv 2021. [Google Scholar] [CrossRef]
- Mondragon-Shem, I.; Hughes, T.L.; Song, J.; Prodan, E. Topological Criticality in the Chiral-Symmetric AIII Class at Strong Disorder. Phys. Rev. Lett. 2014, 113, 046802. [Google Scholar] [CrossRef]
- Zhang, D.W.; Tang, L.Z.; Lang, L.J.; Yan, H.; Zhu, S.L. Non-Hermitian topological Anderson insulators. Sci. China Phys. Mech. Astron. 2020, 63, 267062. [Google Scholar] [CrossRef]
- Bao, X.X.; Guo, G.F.; Du, X.P.; Gu, H.Q.; Tan, L. The topological criticality in disordered non-Hermitian system. J. Phys. Condens. Matter 2021, 33, 185401. [Google Scholar] [CrossRef]
- Yokomizo, K.; Murakami, S. Scaling rule for the critical non-Hermitian skin effect. Phys. Rev. B 2021, 104, 165117. [Google Scholar] [CrossRef]
- Okuma, N.; Sato, M. Topological Phase Transition Driven by Infinitesimal Instability: Majorana Fermions in Non-Hermitian Spintronics. Phys. Rev. Lett. 2019, 123, 097701. [Google Scholar] [CrossRef] [PubMed]
- Hasan , M.Z.; Kane, C.L. Colloquium: Topological insulators. Rev. Mod. Phys. 2010, 82, 3045. [Google Scholar] [CrossRef]
- Zhu, S.L.; Wang, B.; Duan, L.M. Simulation and Detection of Dirac Fermions with Cold Atoms in an Optical Lattice. Phys. Rev. Lett. 2007, 98, 260402. [Google Scholar] [CrossRef] [PubMed]
- Lewenstein, M.; Sanpera, A.; Ahufinger, V.; Damski, B.; Sen(De), A.; Sen, U. Ultracold atomic gases in optical lattices: Mimicking condensed matter physics and beyond. Adv. Phys. 2007, 56, 243–379. [Google Scholar] [CrossRef]
- Jiang, J.H. Tunable topological Weyl semimetal from simple-cubic lattices with staggered fluxes. Phys. Rev. A 2012, 85, 033640. [Google Scholar] [CrossRef]
- Wang, P.; Yu, Z.Q.; Fu, Z.; Miao, J.; Huang, L.; Chai, S.; Zhai, H.; Zhang, J. Spin-Orbit Coupled Degenerate Fermi Gases. Phys. Rev. Lett. 2012, 109, 095301. [Google Scholar] [CrossRef]
- Deng, D.L.; Wang, S.T.; Duan, L.M. Direct probe of topological order for cold atoms. Phys. Rev. A 2014, 90, 041601. [Google Scholar] [CrossRef]
- Liu, X.J.; Liu, Z.X.; Cheng, M. Manipulating Topological Edge Spins in a One-Dimensional Optical Lattice. Phys. Rev. Lett. 2013, 110, 076401. [Google Scholar] [CrossRef]
- Brandenbourger, M.; Locsin, X.; Lerner, E.; Coulais, C. Non-reciprocal robotic metamaterials. Nat. Commun. 2019, 10. [Google Scholar] [CrossRef]
- Zou, D.; Chen, T.; He, W.; Bao, J.; Lee, C.H.; Sun, H.; Zhang, X. Observation of hybrid higher-order skin-topological effect in non-Hermitian topolectrical circuits. Nat. Commun. 2021, 12, 7201. [Google Scholar] [CrossRef]
- Gou, W.; Chen, T.; Xie, D.; Xiao, T.; Deng, T.S.; Gadway, B.; Yi, W.; Yan, B. Tunable Nonreciprocal Quantum Transport through a Dissipative Aharonov-Bohm Ring in Ultracold Atoms. Phys. Rev. Lett. 2020, 124, 070402. [Google Scholar] [CrossRef] [PubMed]
- Xu, Y.; Wang, S.T.; Duan, L.M. Weyl Exceptional Rings in a Three-Dimensional Dissipative Cold Atomic Gas. Phys. Rev. Lett. 2017, 118, 045701. [Google Scholar] [CrossRef] [PubMed]
- Yoshida, T.; Peters, R.; Kawakami, N. Non-Hermitian perspective of the band structure in heavy-fermion systems. Phys. Rev. B 2018, 98, 035141. [Google Scholar] [CrossRef]
- Lu, L.; Joannopoulos, J.D.; Soljačić, M. Topological photonics. Nat. Photonics 2014, 8, 821–829. [Google Scholar] [CrossRef]
- Cerjan, A.; Huang, S.; Wang, M.; Chen, K.P.; Chong, Y.; Rechtsman, M.C. Experimental realization of a Weyl exceptional ring. Nat. Photonics 2019, 13, 623–628. [Google Scholar] [CrossRef]
- Peng, B.; Özdemir, Ş.K.; Liertzer, M.; Chen, W.; Kramer, J.; Yılmaz, H.; Wiersig, J.; Rotter, S.; Yang, L. Chiral modes and directional lasing at exceptional points. Proc. Natl. Acad. Sci. USA 2016, 113, 6845–6850. [Google Scholar] [CrossRef] [PubMed]
- Chen, W.; Kaya Özdemir, Ş.; Zhao, G.; Wiersig, J.; Yang, L. Exceptional points enhance sensing in an optical microcavity. Nature 2017, 548, 192–196. [Google Scholar] [CrossRef]
- Ningyuan, J.; Owens, C.; Sommer, A.; Schuster, D.; Simon, J. Time- and Site-Resolved Dynamics in a Topological Circuit. Phys. Rev. X 2015, 5, 021031. [Google Scholar] [CrossRef]
- Dong, J.; Juričić, V.; Roy, B. Topolectric circuits: Theory and construction. Phys. Rev. Res. 2021, 3, 023056. [Google Scholar] [CrossRef]
- Lu, Y.; Jia, N.; Su, L.; Owens, C.; Juzeliūnas, G.; Schuster, D.I.; Simon, J. Probing the Berry curvature and Fermi arcs of a Weyl circuit. Phys. Rev. B 2019, 99, 020302. [Google Scholar] [CrossRef]
- Helbig, T.; Hofmann, T.; Lee, C.H.; Thomale, R.; Imhof, S.; Molenkamp, L.W.; Kiessling, T. Band structure engineering and reconstruction in electric circuit networks. Phys. Rev. B 2019, 99, 161114. [Google Scholar] [CrossRef]







Disclaimer/Publisher’s Note: The statements, opinions and data contained in all publications are solely those of the individual author(s) and contributor(s) and not of MDPI and/or the editor(s). MDPI and/or the editor(s) disclaim responsibility for any injury to people or property resulting from any ideas, methods, instructions or products referred to in the content. |
© 2024 by the authors. Licensee MDPI, Basel, Switzerland. This article is an open access article distributed under the terms and conditions of the Creative Commons Attribution (CC BY) license (https://creativecommons.org/licenses/by/4.0/).
Share and Cite
Bao, X.-X.; Guo, G.-F.; Tan, L.; Liu, W.-M. Anomalous Non-Hermitian Open-Boundary Spectrum. Entropy 2024, 26, 845. https://doi.org/10.3390/e26100845
Bao X-X, Guo G-F, Tan L, Liu W-M. Anomalous Non-Hermitian Open-Boundary Spectrum. Entropy. 2024; 26(10):845. https://doi.org/10.3390/e26100845
Chicago/Turabian StyleBao, Xi-Xi, Gang-Feng Guo, Lei Tan, and Wu-Ming Liu. 2024. "Anomalous Non-Hermitian Open-Boundary Spectrum" Entropy 26, no. 10: 845. https://doi.org/10.3390/e26100845
APA StyleBao, X.-X., Guo, G.-F., Tan, L., & Liu, W.-M. (2024). Anomalous Non-Hermitian Open-Boundary Spectrum. Entropy, 26(10), 845. https://doi.org/10.3390/e26100845
