Research on Image Stitching Algorithm Based on Point-Line Consistency and Local Edge Feature Constraints
Abstract
1. Introduction
- Aiming at the problem of insufficient features of low texture region in the overlapping region, the point-line consistency module is proposed, which uses SIFT with good stability to extract features, to increase the number of matching point pairs and filter out erroneous matches.
- Aiming at the problem of many structural features in the image that are not fully utilized, and the point-line feature being wrong, the method in this paper innovatively breaks through the traditional understanding of the structural features of the image. It not only takes into account the limitations of point and line features, but it also fully exploits the rich structural information of the image. Local edge contour features are constructed to constrain global image pre-registration, weaken the impact of mismatching, and thereby improve the accuracy of image alignment.
- Aiming at the problem of alignment and distortion imbalance in single image warpage stitching, this paper introduces multiple optimization modules to ensure image alignment and minimize the distortion of non-overlapping regions.
2. Related Work
3. Materials and Methods
3.1. Feature Detection and Point-Line Consistency Matching
3.2. Local Edge Contour Feature Extraction
3.2.1. Structure Separation
3.2.2. Local Edge Contour Merging
3.3. Local Edge Contour Feature Matching
3.4. Image Pre-Alignment
3.5. Grid Optimization with Multiple Constraint Terms for Warping
3.6. Linearly Weighted Image Fusion
4. Experimental Design and Result Analysis
4.1. Experimental Preparation
4.1.1. Experimental Environment and Setup
4.1.2. Evaluation Metrics
4.2. Experimental Results and Analysis
4.2.1. Experiments on Feature Augmentation Using Point-Line Consistency
4.2.2. Contour Feature Ablation Experiment
4.2.3. Algorithm Visual Evaluation
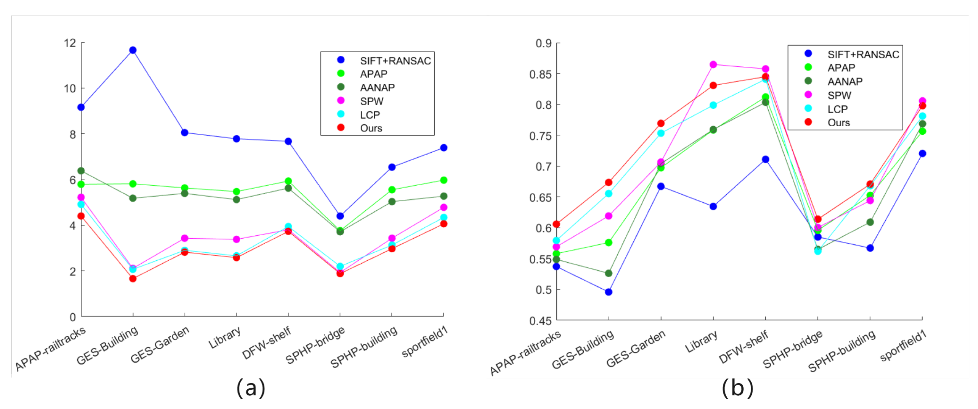
4.2.4. Objective Evaluation of Algorithm Performance
4.2.5. Run Time Analysis
5. Conclusions
Author Contributions
Funding
Institutional Review Board Statement
Informed Consent Statement
Data Availability Statement
Acknowledgments
Conflicts of Interest
References
- Win, K.P.; Kitjaidure, Y.; Hamamoto, K. An implementation of medical image mosaicing system based on oriented FAST and rotated BRIEF approach. Appl. Sci. 2020, 10, 1800. [Google Scholar] [CrossRef]
- Manandhar, P.; Jalil, A.; AlHashmi, K.; Marpu, P. Automatic generation of seamless mosaics using invariant features. Remote Sens. 2021, 13, 3094. [Google Scholar] [CrossRef]
- Madhusudana, P.C.; Soundararajan, R. Subjective and objective quality assessment of stitched images for virtual reality. IEEE Trans. Image Process. 2019, 28, 5620–5635. [Google Scholar] [CrossRef]
- Nag, S. Image registration techniques: A survey. arXiv 2017, arXiv:1712.07540. [Google Scholar]
- Lowe, D.G. Distinctive image features from scale-invariant keypoints. Int. J. Comput. Vis. 2004, 60, 91–110. [Google Scholar] [CrossRef]
- Bay, H.; Tuytelaars, T.; Van Gool, L. Surf: Speeded up robust features. In Proceedings of the Computer Vision–ECCV 2006: 9th European Conference on Computer Vision, Graz, Austria, 7–13 May 2006; Proceedings, Part I 9. Springer: Berlin/Heidelberg, Germany, 2006; pp. 404–417. [Google Scholar]
- Rublee, E.; Rabaud, V.; Konolige, K.; Bradski, G. ORB: An efficient alternative to SIFT or SURF. In Proceedings of the 2011 International Conference on Computer Vision, Washington, DC, USA, 6–13 November 2011; pp. 2564–2571. [Google Scholar]
- Von Gioi, R.G.; Jakubowicz, J.; Morel, J.M.; Randall, G. LSD: A line segment detector. Image Process. Online 2012, 2, 35–55. [Google Scholar] [CrossRef]
- Akinlar, C.; Topal, C. EDLines: A real-time line segment detector with a false detection control. Pattern Recognit. Lett. 2011, 32, 1633–1642. [Google Scholar] [CrossRef]
- Li, S.; Yuan, L.; Sun, J.; Quan, L. Dual-feature warping-based motion model estimation. In Proceedings of the IEEE International Conference on Computer Vision, Santiago, Chile, 7–13 December 2015; pp. 4283–4291. [Google Scholar]
- Joo, K.; Kim, N.; Oh, T.H.; Kweon, I.S. Line meets as-projective-as-possible image stitching with moving DLT. In Proceedings of the 2015 IEEE International Conference on Image Processing (ICIP), Quebec City, QC, Canada, 27–30 September 2015; pp. 1175–1179. [Google Scholar]
- Jia, Q.; Li, Z.; Fan, X.; Zhao, H.; Teng, S.; Ye, X.; Latecki, L.J. Leveraging line-point consistence to preserve structures for wide parallax image stitching. In Proceedings of the IEEE/CVF Conference on Computer Vision and Pattern Recognition, Nashville, TN, USA, 20–25 June 2021; pp. 12186–12195. [Google Scholar]
- Gao, J.; Kim, S.J.; Brown, M.S. Constructing image panoramas using dual-homography warping. In Proceedings of the CVPR 2011, Colorado Springs, CO, USA, 20–25 June 2011; pp. 49–56. [Google Scholar]
- Lin, W.Y.; Liu, S.; Matsushita, Y.; Ng, T.T.; Cheong, L.F. Smoothly varying affine stitching. In Proceedings of the CVPR 2011, Colorado Springs, CO, USA, 20–25 June 2011; pp. 345–352. [Google Scholar]
- Zaragoza, J.; Chin, T.J.; Brown, M.S.; Suter, D. As-projective-as-possible image stitching with moving DLT. In Proceedings of the Conference on Computer Vision and Pattern Recognition, Portland, OR, USA, 23–28 June 2013; pp. 2339–2346. [Google Scholar]
- Gao, J.; Li, Y.; Chin, T.J.; Brown, M.S. Seam-driven image stitching. In Proceedings of the Eurographics (Short Papers), Girona, Spain, 6–10 May 2013; pp. 45–48. [Google Scholar]
- Zhang, F.; Liu, F. Parallax-tolerant image stitching. In Proceedings of the IEEE Conference on Computer Vision and Pattern Recognition, Columbus, OH, USA, 23–28 June 2014; pp. 3262–3269. [Google Scholar]
- Lin, K.; Jiang, N.; Cheong, L.F.; Do, M.; Lu, J. Seagull: Seam-guided local alignment for parallax-tolerant image stitching. In Proceedings of the Computer Vision–ECCV 2016: 14th European Conference, Amsterdam, The Netherlands, 11–14 October 2016; Proceedings, Part III 14. Springer: Berlin/Heidelberg, Germany, 2016; pp. 370–385. [Google Scholar]
- Li, N.; Liao, T.; Wang, C. Perception-based seam cutting for image stitching. Signal. Image Video Process. 2018, 12, 967–974. [Google Scholar] [CrossRef]
- Chang, C.H.; Sato, Y.; Chuang, Y.Y. Shape-preserving half-projective warps for image stitching. In Proceedings of the IEEE Conference on Computer Vision and Pattern Recognition, Columbus, OH, USA, 23–28 June 2014; pp. 3254–3261. [Google Scholar]
- Chen, Y.S.; Chuang, Y.Y. Natural image stitching with the global similarity prior. In Proceedings of the European Conference on Computer Vision, Amsterdam, The Netherlands, 11–14 October 2016; Springer: Berlin/Heidelberg, Germany, 2016; pp. 186–201. [Google Scholar]
- Liao, T.; Li, N. Single-perspective warps in natural image stitching. IEEE Trans. Image Process. 2019, 29, 724–735. [Google Scholar] [CrossRef]
- Okarma, K.; Chlewicki, W.; Kopytek, M.; Marciniak, B.; Lukin, V. Entropy-Based Combined Metric for Automatic Objective Quality Assessment of Stitched Panoramic Images. Entropy 2021, 23, 1525. [Google Scholar] [CrossRef]
- Cong, Y.; Wang, Y.; Hou, W.; Pang, W. Feature Correspondences Increase and Hybrid Terms Optimization Warp for Image Stitching. Entropy 2023, 25, 106. [Google Scholar] [CrossRef] [PubMed]
- Fischler, M.A.; Bolles, R.C. Random sample consensus: A paradigm for model fitting with applications to image analysis and automated cartography. Commun. ACM 1981, 24, 381–395. [Google Scholar] [CrossRef]
- Chin, T.J.; Yu, J.; Suter, D. Accelerated hypothesis generation for multistructure data via preference analysis. IEEE Trans. Pattern Anal. Mach. Intell. 2011, 34, 625–638. [Google Scholar] [CrossRef]
- Jia, Q.; Gao, X.; Fan, X.; Luo, Z.; Li, H.; Chen, Z. Novel coplanar line-points invariants for robust line matching across views. In Proceedings of the Computer Vision–ECCV 2016: 14th European Conference, Amsterdam, The Netherlands, 11–14 October 2016; Proceedings, Part VIII 14. Springer: Berlin/Heidelberg, Germany, 2016; pp. 599–611. [Google Scholar]
- Lin, C.C.; Pankanti, S.U.; Natesan Ramamurthy, K.; Aravkin, A.Y. Adaptive as-natural-as-possible image stitching. In Proceedings of the IEEE Conference on Computer Vision and Pattern Recognition, Boston, MA, USA, 7–12 June 2015; pp. 1155–1163. [Google Scholar]
- Li, J.; Wang, Z.; Lai, S.; Zhai, Y.; Zhang, M. Parallax-tolerant image stitching based on robust elastic warping. IEEE Trans. Multimed. 2017, 20, 1672–1687. [Google Scholar] [CrossRef]
- Li, N.; Xu, Y.; Wang, C. Quasi-homography warps in image stitching. IEEE Trans. Multimed. 2017, 20, 1365–1375. [Google Scholar] [CrossRef]
- Nie, L.; Lin, C.; Liao, K.; Liu, M.; Zhao, Y. A view-free image stitching network based on global homography. J. Vis. Commun. Image Represent. 2020, 73, 102950. [Google Scholar] [CrossRef]
- Nie, L.; Lin, C.; Liao, K.; Liu, S.; Zhao, Y. Unsupervised deep image stitching: Reconstructing stitched features to images. IEEE Trans. Image Process. 2021, 30, 6184–6197. [Google Scholar] [CrossRef]
- Kweon, H.; Kim, H.; Kang, Y.; Yoon, Y.; Jeong, W.; Yoon, K.J. Pixel-wise warping for deep image stitching. In Proceedings of the AAAI Conference on Artificial Intelligence, Washington, DC, USA, 7–14 February 2023; Volume 37, pp. 1196–1204. [Google Scholar]
- Jia, Q.; Feng, X.; Liu, Y.; Fan, X.; Latecki, L.J. Learning Pixel-wise Alignment for Unsupervised Image Stitching. In Proceedings of the 31st ACM International Conference on Multimedia, Ottawa, ON, Canada, 29 October– 3 November 2023; pp. 1392–1400. [Google Scholar]
- Kim, M.; Lee, J.; Lee, B.; Im, S.; Jin, K.H. Implicit Neural Image Stitching With Enhanced and Blended Feature Reconstruction. arXiv 2023, arXiv:2309.01409. [Google Scholar]
- Bezdek, J.; Chandrasekhar, R.; Attikouzel, Y. A geometric approach to edge detection. IEEE Trans. Fuzzy Syst. 1998, 6, 52–75. [Google Scholar] [CrossRef]
- Orhei, C.; Bogdan, V.; Bonchis, C.; Vasiu, R. Dilated filters for edge-detection algorithms. Appl. Sci. 2021, 11, 10716. [Google Scholar] [CrossRef]
- Li, S.; Kang, X.; Fang, L.; Hu, J.; Yin, H. Pixel-level image fusion: A survey of the state of the art. Inf. Fusion 2017, 33, 100–112. [Google Scholar] [CrossRef]
- Wang, Z.; Bovik, A.C.; Sheikh, H.R.; Simoncelli, E.P. Image quality assessment: From error visibility to structural similarity. IEEE Trans. Image Process. 2004, 13, 600–612. [Google Scholar] [CrossRef]














| APAP-Conssite | DHW-Carpark | Office | Sportfield1 | Laodong Park | Rail Station | Olympic Building | |
|---|---|---|---|---|---|---|---|
| SIFT+RANSAC | 229/390 | 287/391 | 89/219 | 138/217 | 183/273 | 330/516 | 253/380 |
| OUR | 814/833 | 2266/2742 | 222/271 | 653/810 | 444/517 | 1523/1727 | 2078/2490 |
| Increase Ratio | 255.46% | 689.55% | 149.44% | 373.19% | 142.62% | 361.52% | 721.34% |
| Constraints | edge_1 | edge_2 | edge_3 | edge_4 | edge_5 | edge_6 | edge_7 | edge_8 | edge_9 | edge_10 | edge_11 | edge_12 |
|---|---|---|---|---|---|---|---|---|---|---|---|---|
| No | 0.9747 | 0.0988 | 0.3746 | 0.2753 | 7.4168 | 2.2124 | 0.2708 | 4.6931 | 0.9707 | 0.1250 | 4.0343 | 0.2225 |
| Yes | 1.2127 | 0.0752 | 0.3148 | 0.2589 | 3.3984 | 2.2122 | 0.2704 | 4.4830 | 1.2702 | 0.1158 | 3.3984 | 0.2283 |
| Constraints | edge_1 | edge_2 | edge_3 | edge_4 | edge_5 | edge_6 | edge_7 | edge_8 | edge_9 | edge_10 | edge_11 | edge_12 |
|---|---|---|---|---|---|---|---|---|---|---|---|---|
| No | 0.1201 | 0.1978 | 0.1724 | 0.0747 | 1.3179 | 1.1969 | 0.0949 | 0.3459 | 3.8874 | 1.6272 | 0.0951 | 0.1342 |
| Yes | 0.0494 | 0.4955 | 0.1541 | 0.0709 | 1.0664 | 0.9058 | 0.0719 | 0.3448 | 4.0613 | 1.3591 | 0.0910 | 0.1244 |
| Datasets | SIFT + RANSAC | APAP | AANAP | Spw | LCP | Ours |
|---|---|---|---|---|---|---|
| APAP-railtracks | 9.16 | 5.79 | 6.38 | 5.22 | 4.91 | 4.40 |
| GES-Building | 11.66 | 5.81 | 5.18 | 2.11 | 2.07 | 1.66 |
| GES-Garden | 8.05 | 5.63 | 5.39 | 3.43 | 2.90 | 2.82 |
| Library | 7.78 | 5.47 | 5.12 | 3.83 | 2.66 | 2.58 |
| DFW-shelf | 7.67 | 5.93 | 5.62 | 3.8 | 3.94 | 3.73 |
| SPHP-bridge | 4.40 | 3.76 | 3.71 | 1.93 | 2.20 | 1.88 |
| SPHP-building | 6.54 | 5.55 | 5.03 | 3.43 | 3.13 | 2.97 |
| sportfield1 | 7.39 | 5.97 | 5.27 | 4.78 | 4.34 | 4.06 |
| Datasets | SIFT + RANSAC | APAP | AANAP | SPW | LCP | Ours |
|---|---|---|---|---|---|---|
| APAP-railtracks | 0.5372 | 0.5580 | 0.5487 | 0.5691 | 0.5794 | 0.6059 |
| GES-Building | 0.4959 | 0.5760 | 0.5262 | 0.6192 | 0.6554 | 0.6735 |
| GES-Garden | 0.6671 | 0.6973 | 0.7040 | 0.7065 | 0.7533 | 0.7693 |
| Library | 0.6346 | 0.7585 | 0.7592 | 0.8646 | 0.7987 | 0.8307 |
| DFW-shelf | 0.7109 | 0.8119 | 0.8033 | 0.8575 | 0.8409 | 0.8448 |
| SPHP-bridge | 0.5851 | 0.5959 | 0.5649 | 0.6004 | 0.5621 | 0.6139 |
| SPHP-building | 0.5671 | 0.6525 | 0.6091 | 0.6442 | 0.6681 | 0.6708 |
| sportfield1 | 0.7204 | 0.7565 | 0.7686 | 0.8056 | 0.7811 | 0.7978 |
Disclaimer/Publisher’s Note: The statements, opinions and data contained in all publications are solely those of the individual author(s) and contributor(s) and not of MDPI and/or the editor(s). MDPI and/or the editor(s) disclaim responsibility for any injury to people or property resulting from any ideas, methods, instructions or products referred to in the content. |
© 2024 by the authors. Licensee MDPI, Basel, Switzerland. This article is an open access article distributed under the terms and conditions of the Creative Commons Attribution (CC BY) license (https://creativecommons.org/licenses/by/4.0/).
Share and Cite
Ma, S.; Li, X.; Liu, K.; Qiu, T.; Liu, Y. Research on Image Stitching Algorithm Based on Point-Line Consistency and Local Edge Feature Constraints. Entropy 2024, 26, 61. https://doi.org/10.3390/e26010061
Ma S, Li X, Liu K, Qiu T, Liu Y. Research on Image Stitching Algorithm Based on Point-Line Consistency and Local Edge Feature Constraints. Entropy. 2024; 26(1):61. https://doi.org/10.3390/e26010061
Chicago/Turabian StyleMa, Shaokang, Xiuhong Li, Kangwei Liu, Tianchi Qiu, and Yulong Liu. 2024. "Research on Image Stitching Algorithm Based on Point-Line Consistency and Local Edge Feature Constraints" Entropy 26, no. 1: 61. https://doi.org/10.3390/e26010061
APA StyleMa, S., Li, X., Liu, K., Qiu, T., & Liu, Y. (2024). Research on Image Stitching Algorithm Based on Point-Line Consistency and Local Edge Feature Constraints. Entropy, 26(1), 61. https://doi.org/10.3390/e26010061

