Efficient Numerical Simulation of Biochemotaxis Phenomena in Fluid Environments
Abstract
:1. Introduction
2. Numerical Schemes
3. The MAC Finite Difference Scheme
- Step 1:
- X-direction: for all , solve by:Y-direction: for all , solve by:
- Step 2:
- Computing the intermediate variable by solving X- and Y-direction subproblems and updating pressure:X-direction: for all , solve by:Y-direction: for all , solve by:Updating pressure by:
- Step 3:
- can be obtained by resolving X- and Y-direction subproblems:X-direction: for all , solve by:Y-direction: for all , solve by:
- Step 4:
- can be obtained by resolving X- and Y-direction subproblems:X-direction: for all , solve by:Y-direction: for all , solve by:For the discretization of mixed boundary conditions, we achieve this by using the ghost cell technique [4], i.e., the values of virtual points are determined according to the boundary conditions:
4. Numerical Simulations
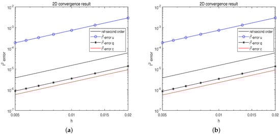
4.1. Convergence Test
4.2. Efficiency Test
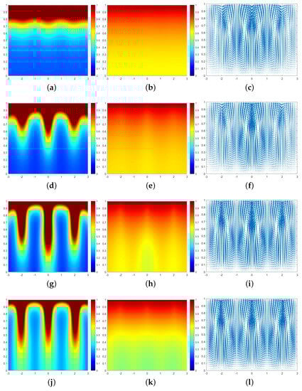
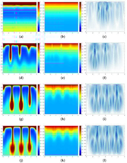
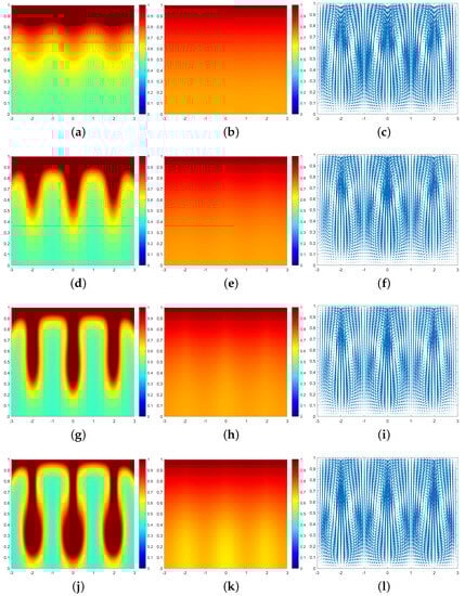
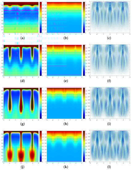
4.3. Simulating the Biochemotaxis Phenomenon
4.3.1. Effect of Increased
4.3.2. Effect of Increased and
4.3.3. Test with Random Initial Density of Cells
5. Conclusions
Author Contributions
Funding
Institutional Review Board Statement
Data Availability Statement
Acknowledgments
Conflicts of Interest
References
- Hillesdon, A.J.; Pedley, T.J.; Kessler, J.O. The development of concentration gradients in a suspension of chemotactic bacteria. Bull. Math. Biol. 1995, 57, 299–344. [Google Scholar] [CrossRef] [PubMed]
- Tuval, I.; Cisneros, L.; Dombrowski, C.; Wolgemuth, C.W.; Kessler, J.O.; Goldstein, R.E. Bacterial swimming and oxygen transport near contact lines. Proc. Natl. Acad. Sci. USA 2005, 102, 2277–2282. [Google Scholar] [CrossRef] [PubMed]
- Huang, X.L.; Feng, X.L.; Xiao, X.F.; Wang, K. Fully decoupled, linear and positivity-preserving scheme for the chemotaxis-Stokes equations. Comput. Methods Appl. Mech. Eng. 2021, 383, 113909. [Google Scholar] [CrossRef]
- Chertock, A.; Fellner, K.; Kurganov, A.; Lorz, A.; Markowich, P. Sinking, merging and stationary plumes in a coupled chemotaxis-fluid model: A high-resolution numerical approach. J. Fluid Mech. 2012, 694, 155–190. [Google Scholar] [CrossRef]
- Tyson, R.; Stern, L.; LeVeque, R. Fractional step methods applied to a chemotaxis model. J. Math. Biol. 2000, 41, 455–475. [Google Scholar] [CrossRef] [PubMed]
- Chertock, A.; Kurganov, A. A second-order positivity preserving central-upwind scheme for chemotaxis and haptotaxis models. Numer. Math. 2008, 111, 169–205. [Google Scholar] [CrossRef]
- Wang, C.X.; Chertock, A.; Cui, S.M.; Kurganov, A.; Zhang, Z. A diffuse-domain based numerical method for a Chemotaxis-Fluid model. Numer. Anal. 2022, 33, 341–375. [Google Scholar] [CrossRef]
- Morton, K.W.; Mayers, D.F. Numerical Solution of Partial Differential Equations: An introduction; Cambridge University Press: Cambridge, MA, USA, 2005. [Google Scholar]
- Thomas, J.W. Numerical Partial Differential Equations: Finite Difference Methods; Springer Science & Business Media: Berlin/Heidelberg, Germany, 2013; Volume 22. [Google Scholar]
- Gidey, H.H.; Reddy, B.D. Operator-splitting methods for the 2D convective Cahn-Hilliard equation. Comput. Math. Appl. 2019, 77, 3128–3153. [Google Scholar] [CrossRef]
- Lee, H.G.; Shin, J.; Lee, J.Y. A second order operator splitting method for Allen-Cahn type equations with nonlinear source terms. Phys. A Stat. Mech. Its Appl. 2015, 432, 24–34. [Google Scholar] [CrossRef]
- Lee, H.G.; Shin, J.; Lee, J.Y. First and second order operator splitting methods for the phase field crystal equation. J. Comput. Phys. 2015, 299, 82–91. [Google Scholar] [CrossRef]
- Guermond, J.L.; Minev, P.D. A new class of massively parallel direction splitting for the incompressible Navier-Stokes equations. Comput. Methods Appl. Mech. Eng. 2011, 200, 2083–2093. [Google Scholar] [CrossRef]
- Chen, Y.L.; Ji, L.J.; Wang, Z. A hyper-reduced MAC scheme for the parametric Stokes and Navier-Stokes equations. J. Comput. Phys. 2022, 466, 111412. [Google Scholar] [CrossRef]
- McKee, S.; Tomé, M.F.; Ferreira, V.G.; Cuminato, J.A.; Castelo, A.; Sousa, F.S.; Mangiavacchi, N. The MAC method. Comput. Fluids 2008, 37, 907–930. [Google Scholar] [CrossRef]
- Pyo, J.-H.; Shen, J. Normal mode analysis of second-order projection methods for incompressible flows. Discret. Contin. Dyn. Syst. B 2005, 5, 817–840. [Google Scholar] [CrossRef]








| Space Subdivision | n = 64 | n = 128 | n = 256 | n = 512 | n = 1024 | n = 2048 |
|---|---|---|---|---|---|---|
| Dimension splitting | 0.194 s | 0.154 s | 0.260 s | 1.543 s | 14.745 s | 105.419 s |
| Non-dimension splitting | 0.264 s | 0.470 s | 2.344 s | 13.146 s | 71.192 s | 513.749 s |
Disclaimer/Publisher’s Note: The statements, opinions and data contained in all publications are solely those of the individual author(s) and contributor(s) and not of MDPI and/or the editor(s). MDPI and/or the editor(s) disclaim responsibility for any injury to people or property resulting from any ideas, methods, instructions or products referred to in the content. |
© 2023 by the authors. Licensee MDPI, Basel, Switzerland. This article is an open access article distributed under the terms and conditions of the Creative Commons Attribution (CC BY) license (https://creativecommons.org/licenses/by/4.0/).
Share and Cite
Zhou, X.; Bian, G.; Wang, Y.; Xiao, X. Efficient Numerical Simulation of Biochemotaxis Phenomena in Fluid Environments. Entropy 2023, 25, 1224. https://doi.org/10.3390/e25081224
Zhou X, Bian G, Wang Y, Xiao X. Efficient Numerical Simulation of Biochemotaxis Phenomena in Fluid Environments. Entropy. 2023; 25(8):1224. https://doi.org/10.3390/e25081224
Chicago/Turabian StyleZhou, Xingying, Guoqing Bian, Yan Wang, and Xufeng Xiao. 2023. "Efficient Numerical Simulation of Biochemotaxis Phenomena in Fluid Environments" Entropy 25, no. 8: 1224. https://doi.org/10.3390/e25081224
APA StyleZhou, X., Bian, G., Wang, Y., & Xiao, X. (2023). Efficient Numerical Simulation of Biochemotaxis Phenomena in Fluid Environments. Entropy, 25(8), 1224. https://doi.org/10.3390/e25081224
