Multi-Source Partial Discharge Fault Location with Comprehensive Arrival Time Difference Extraction Method and Multi-Data Dynamic Weighting Algorithm
Abstract
1. Introduction
- (1)
- The optimized energy accumulation method and the secondary correlation method are proposed and combined to reduce the error in TDOA extraction. In addition, dynamic weighting algorithms are used to effectively utilize multiple groups of TDOA data in PD source calculations and improve the location accuracy. Compared with the other methods, the localization method has better interference and accuracy.
- (2)
- Compared to the conventional method, the optimized energy accumulation curve method obtains the inflection point of the energy curve as a reference point through wavelet transform and mode maximization calculations, which overcomes the effect of the interference signal before the wave peak.
- (3)
- In the secondary correlation method, the effect of interfering signals is mitigated by the two rounds of correlation calculations. The interference capability of TDOA extraction is further improved compared to the cross-correlation method.
2. TDOA Extraction Methods
2.1. Optimized Energy Accumulation Method
2.2. Secondary Correlation Method
2.3. Preliminary Comparison of TDOA Extraction Method
3. MSPD TDOA Extraction
3.1. Application of Optimized Energy Accumulation Method
3.2. Application of Secondary Correlation Method
- (1)
- Set the signal of channel 1 as the reference, which is marked as s1(t). First, the highest value of s1(t) is searched for and marked as s1(tm1). Then, search for the nearest points whose amplitude equals 30%·s1(tm1), and the corresponding time coordinates are marked as ts1, te1. The fragment of s1(t) in the time interval [ts1, te1] is defined as the first reference fragment s1r1(t).
- (2)
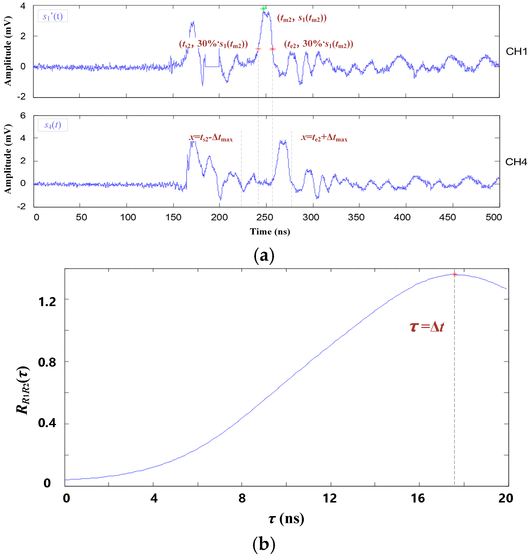
- Signal of channel 4 is the contrast signal, which is marked as s4(t). From s4(t), the contrast fragment s4c1(t) corresponding to the reference fragment s1r1(t) is selected. Considering the theoretical maximum time difference Δtmax, the time interval of s4c1(t) should be [ts1 − Δtmax, te1 + Δtmax]. Then, based on Equations (11)–(13), the secondary function of f1(t) and T1(t) is deduced. The function curve of is shown in Figure 9b. The first TDOA is then extracted.
- (3)
- After completing the first TDOA extraction, set the function value of [ts1, te1] in s1(t) to 0 and obtain a new reference signal s1′(t). Then, repeat the above steps to extract the new reference fragment s1r2(t) from s1′(t) and the contrast fragment s4c2(t) from s4(t), as shown in Figure 10. Then, the second TDOA is extracted. The TDOA extracting process above will be repeated until s1(tmi) is lower than the threshold st = 30%·s1(tm1).
3.3. Method Comparison and Application Strategy
- (a)
- If the signal–noise ratio (SNR) of the PD signal is low, the secondary correlation method is used.
- (b)
- If the distance between the reference sensor and PD source is estimated to be shorter than 1 m, and SNR of the PD signal is not very low, the optimized energy accumulation method is used.
- (c)
- Otherwise, the results of the two methods should be compared.
4. Multi-Data Dynamic Weighting Algorithm
4.1. Point Density Estimation
4.2. Linear Classification
4.3. Dynamic Weighting
4.4. Application Results and Analysis
5. Conclusions
- (1)
- The optimized energy accumulation curve method overcomes the effect of the interference signal before the wave peak. The secondary correlation method further improves the interference capability of the TDOA extraction. Both methods have smaller errors than the first peak method for a single PD source.
- (2)
- For the MSPD location inside a piece of power equipment, the optimized energy accumulation method should be applied when the interference signal is weak and the distance between the reference sensor and the PD source is estimated to be small. The secondary correlation method should be applied when the interference signal is strong and the distance between the reference sensor and the PD source is estimated to be large.
- (3)
- The proposed dynamic weighting algorithm can fully utilize multiple TDOA data to reduce the effect of accidental data and improve location accuracy.
Author Contributions
Funding
Institutional Review Board Statement
Informed Consent Statement
Data Availability Statement
Conflicts of Interest
References
- Fuhr, J.; Aschwanden, T. Identification and location of PD-sources in power-transformers and power-generators. IEEE Trans. Dielectr. Electr. Insul. 2017, 24, 17–30. [Google Scholar] [CrossRef]
- Markalous, S.; Tenbohlen, S.; Feser, K. Detection and location of partial discharges in power transformers using acoustic and electromagnetic signals. IEEE Trans. Dielectr. Electr. Insul. 2008, 15, 1576–1583. [Google Scholar] [CrossRef]
- Mondal, M.; Kumbhar, G.B. Partial Discharge Localization in a Power Transformer: Methods, Trends, and Future Research. IETE Tech. Rev. 2017, 34, 504–513. [Google Scholar] [CrossRef]
- Xavier, G.V.; Silva, H.S.; Da Costa, E.G.; Serres, A.J.; Carvalho, N.B.; Oliveira, A.S. Detection, Classification and Location of Sources of Partial Discharges Using the Radiometric Method: Trends, Challenges and Open Issues. IEEE Access 2021, 9, 787–810. [Google Scholar] [CrossRef]
- Liu, J.; Dong, M.; An, S.; Yang, L.; Kuang, S.; Zhang, W. Review of Partial Discharge Live Detection and Location Technology for Power Transformer. Insul. Mater. 2015, 48, 1–7. [Google Scholar]
- He, S.; Dong, X. High-accuracy location platform using asynchronous time difference of arrival technology. IEEE Trans. Instrum. Meas. 2017, 66, 1728–1742. [Google Scholar] [CrossRef]
- Sinaga, H.H.; Phung, B.T.; Blackburn, T.R. Partial discharge localization in transformers using UHF detection method. IEEE Trans. Dielectr. Electr. Insul. 2012, 19, 1891–1900. [Google Scholar] [CrossRef]
- Ha, S.G.; Cho, J.; Lee, J.; Min, B.W.; Choi, J.; Jung, K.Y. Numerical Study of Estimating the Arrival Time of UHF Signals for Partial Discharge Localization in a Power Transformer. J. Electromagn. Eng. Sci. 2018, 18, 94–100. [Google Scholar] [CrossRef]
- Jiang, J.; Wang, K.; Zhang, C.; Chen, M.; Zheng, H.; Albarracín, R. Improving the Error of Time Differences of Arrival on Partial Discharges Measurement in Gas-Insulated Switchgear. Sensors 2018, 18, 4078. [Google Scholar] [CrossRef]
- Dukanac, D. Application of UHF method for partial discharge source location in power transformers. IEEE Trans. Dielectr. Electr. Insul. 2018, 25, 2266–2278. [Google Scholar] [CrossRef]
- Coenen, S.; Tenbohlen, S. Location of PD sources in power transformers by UHF and acoustic measurements. IEEE Trans. Dielectr. Electr. Insul. 2013, 19, 1934–1940. [Google Scholar] [CrossRef]
- Cao, J.; Lin, T.; Qiang, X. Harmonic andinter-harmonic measuring method using improved support vector machnie and complex wavelet transform. High Volt. Eng. 2011, 37, 1384–1390. [Google Scholar]
- Xavier, G.V.; Coelho, R.D.A.; Silva, H.S.; Serres, A.J.; da Costa, E.G.; Oliveira, A.S. Partial Discharge Location through Application of Stationary Discrete Wavelet Transform on UHF Signals. IEEE Sens. J. 2021, 21, 24644–24652. [Google Scholar] [CrossRef]
- Yang, J.; Li, D.; Li, J.; Yuan, P.; Li, Y. Study of TDoA of UHF Signal Arrival in Location Partial Discharge. In Proceedings of the International Conference on Condition Monitoring and Diagnosis, Beijing, China, 21–24 April 2008; pp. 1088–1092. [Google Scholar]
- Tang, J.; Li, W.; Ouyang, Y. Partial Discharge Pattern Recognition Using Discrete Wavelet Transform and Singular Value Decomposition. High Volt. Eng. 2010, 36, 1686–1691. [Google Scholar]
- Tang, J.; Xie, Y. Partial discharge location based on time difference of energy accumulation curve of multiple signals. IET Electr. Power Appl. 2011, 5, 175–180. [Google Scholar] [CrossRef]
- Mitchell, S.D.; Siegel, M.; Beltle, M.; Tenbohlen, S. Discrimination of partial discharge sources in the UHF domain. IEEE Trans. Dielectr. Electr. Insul. 2016, 23, 1068–1075. [Google Scholar] [CrossRef]
- Xue, N.; Yang, J.; Shen, D.; Xu, P.; Yang, K.; Zhuo, Z.; Zhang, L.; Zhang, J. The Location of Partial Discharge Sources inside Power Transformers Based on TDOA Database with UHF Sensors. IEEE Access 2019, 28, 146732–146744. [Google Scholar] [CrossRef]
- Tang, J.; Gao, L.; Xie, Y. Suppressing PD’s Periodicity Narrow Band Noise in the PD Measurement by Using Complex Wavelet Packet Transform. High Volt. Eng. 2008, 34, 2355–2361. [Google Scholar]
- Zhang, X.X.; Zhou, J.J.; Li, N.; Wen, X.S. Block Thresholding Spatial Combined De-Noising Method for Suppress White-Noise Interference in PD Signals. High Volt. Eng. 2011, 37, 1142–1148. [Google Scholar]
- Zhang, X.; Tang, J.; Meng, Y. Study on the outer UHF microstrip patch antenna for partial discharge detection in GIS. Chin. J. Sci. Instrum. 2006, 27, 1595–1599. [Google Scholar]
- Du, J.; Chen, W.; Zhang, Z. Propagation Characteristics of Ultra High Frequency Signals in an Actual Power Transformer. High Volt. Eng. 2020, 46, 2185–2191. [Google Scholar]
- Wadi, A.; Al-Masri, W.; Siyam, W.; Abdel-Hafez, M.F.; El-Hag, A.H. Accurate Estimation of Partial Discharge Location using Maximum Likelihood. IEEE Sens. Lett. 2018, 2, 1–4. [Google Scholar] [CrossRef]












| Error (ns) | First Peak Method | Secondary Correlation Method | Optimized Energy Accumulation Method | |
|---|---|---|---|---|
| Theoretical TDOA (ns) | ||||
| 1.6 | 0.16 | 0.47 | 0.19 | |
| 7.3 | 0.68 | 0.48 | 0.45 | |
| 11.0 | 1.35 | 0.30 | 0.17 | |
| 16.8 | 1.26 | 0.52 | 0.43 | |
| TDOA (ns) | P1 (0.2 m, 0.3 m, 0.2 m) | P2 (5 m, 2.4 m, 1.8 m) | |||||
|---|---|---|---|---|---|---|---|
| Group | Δt12 | Δt13 | Δt14 | Δt12 | Δt13 | Δt14 | |
| Theoretical value | 15.3 | 0.7 | 18.0 | −16.6 | −2.4 | −17.5 | |
| 1 | 15.3 | 0.6 | 18.1 | −18.0 | −3.8 | −19.5 | |
| 2 | 15.3 | 0.7 | 18.1 | −17.8 | −3.2 | −18.7 | |
| 3 | - | - | - | −15.7 | −2.1 | −16.6 | |
| 4 | - | - | - | −17.6 | −3.4 | −18.6 | |
| 5 | 15.7 | 0.7 | 18.5 | −16.9 | −2.7 | −17.8 | |
| 6 | 15.3 | 0.5 | 18.1 | - | - | - | |
| 7 | 14.8 | 0.6 | 17.0 | −16.8 | −2.0 | −18.7 | |
| 8 | - | - | - | −17.4 | −3.5 | −18.8 | |
| 9 | 15.4 | 0.7 | 18.2 | −17.1 | −2.9 | −18 | |
| 10 | 14.8 | 0.4 | 16.7 | −18.0 | −3.2 | −19.2 | |
| 11 | 14.6 | 0.5 | 16.5 | −18.0 | −3.7 | −17.2 | |
| 12 | - | - | - | −17.2 | −2.2 | −18.8 | |
| Average absolute error | 0.28 | 0.11 | 0.60 | 0.88 | 0.74 | 1.07 | |
| TDOA (ns) | P1 (0.2 m, 0.3 m, 0.2 m) | P2 (5 m, 2.4 m, 1.8 m) | |||||
|---|---|---|---|---|---|---|---|
| Group | Δt12 | Δt13 | Δt14 | Δt12 | Δt13 | Δt14 | |
| Theoretical value | 15.3 | 0.7 | 18.0 | −16.6 | −2.4 | −17.5 | |
| 1 | 15.0 | 0.6 | 19.5 | −16.2 | −2.4 | −17.0 | |
| 2 | 15.3 | 0.7 | 18.0 | −15.7 | −1.5 | −16.6 | |
| 3 | 15.7 | 0.5 | 19.0 | −17.8 | −3.2 | −18.8 | |
| 4 | 15.0 | 0.1 | 17.2 | −17.0 | −2.1 | −18.0 | |
| 5 | 14.3 | 0.5 | 17.1 | −18.0 | −2.4 | −18.9 | |
| 6 | 14.8 | 0.3 | 17.0 | −15.1 | −1.7 | −18.3 | |
| 7 | 15.4 | 0.7 | 18.5 | −16.0 | −2.1 | −18.9 | |
| 8 | 14.7 | 0.5 | 16.9 | −17.5 | −3.0 | −18.9 | |
| 9 | 14.6 | 0.5 | 16.5 | −17.0 | −2.9 | −17.0 | |
| 10 | 15.0 | 0.6 | 18.5 | −18.0 | −3.6 | −18.0 | |
| Average absolute error | 0.42 | 0.21 | 0.88 | 0.91 | 0.53 | 0.99 | |
| Method | PD Source (cm) | Location Result (cm) | Error (cm) |
|---|---|---|---|
| Optimized energy accumulation method | P1 (20, 30, 20) | (25.5, 36.7, 24.9) | 10.0 |
| P2 (500, 240, 180) | (494.7, 233.5, 178.7) | 8.5 | |
| Secondary correlation method | P1 (20, 30, 20) | (29.8, 28.1, 26.9) | 12.1 |
| P2 (500, 240, 180) | (503.7, 235.5, 185.2) | 8.4 | |
| P3 (220, 135, 55) | (233.7, 141.0, 52.4) | 15.2 | |
| P4 (285, 155, 50) | (272.1, 148.0, 52.0) | 14.8 |
Disclaimer/Publisher’s Note: The statements, opinions and data contained in all publications are solely those of the individual author(s) and contributor(s) and not of MDPI and/or the editor(s). MDPI and/or the editor(s) disclaim responsibility for any injury to people or property resulting from any ideas, methods, instructions or products referred to in the content. |
© 2023 by the authors. Licensee MDPI, Basel, Switzerland. This article is an open access article distributed under the terms and conditions of the Creative Commons Attribution (CC BY) license (https://creativecommons.org/licenses/by/4.0/).
Share and Cite
Wang, D.; Du, L.; Wang, T.; Zhao, X. Multi-Source Partial Discharge Fault Location with Comprehensive Arrival Time Difference Extraction Method and Multi-Data Dynamic Weighting Algorithm. Entropy 2023, 25, 572. https://doi.org/10.3390/e25040572
Wang D, Du L, Wang T, Zhao X. Multi-Source Partial Discharge Fault Location with Comprehensive Arrival Time Difference Extraction Method and Multi-Data Dynamic Weighting Algorithm. Entropy. 2023; 25(4):572. https://doi.org/10.3390/e25040572
Chicago/Turabian StyleWang, Disheng, Lin Du, Tao Wang, and Xiuna Zhao. 2023. "Multi-Source Partial Discharge Fault Location with Comprehensive Arrival Time Difference Extraction Method and Multi-Data Dynamic Weighting Algorithm" Entropy 25, no. 4: 572. https://doi.org/10.3390/e25040572
APA StyleWang, D., Du, L., Wang, T., & Zhao, X. (2023). Multi-Source Partial Discharge Fault Location with Comprehensive Arrival Time Difference Extraction Method and Multi-Data Dynamic Weighting Algorithm. Entropy, 25(4), 572. https://doi.org/10.3390/e25040572

