Joint Design of Polar Coding and Physical Network Coding for Two−User Downlink Non−Orthogonal Multiple Access
Abstract
1. Introduction
2. Background and System Model
2.1. System Model
2.2. Channel Polarization
3. Polar Coded for NOMA
3.1. Proposed PN-DNOMA Scheme
3.2. Information-Theoretic Finite-Length Code Performance
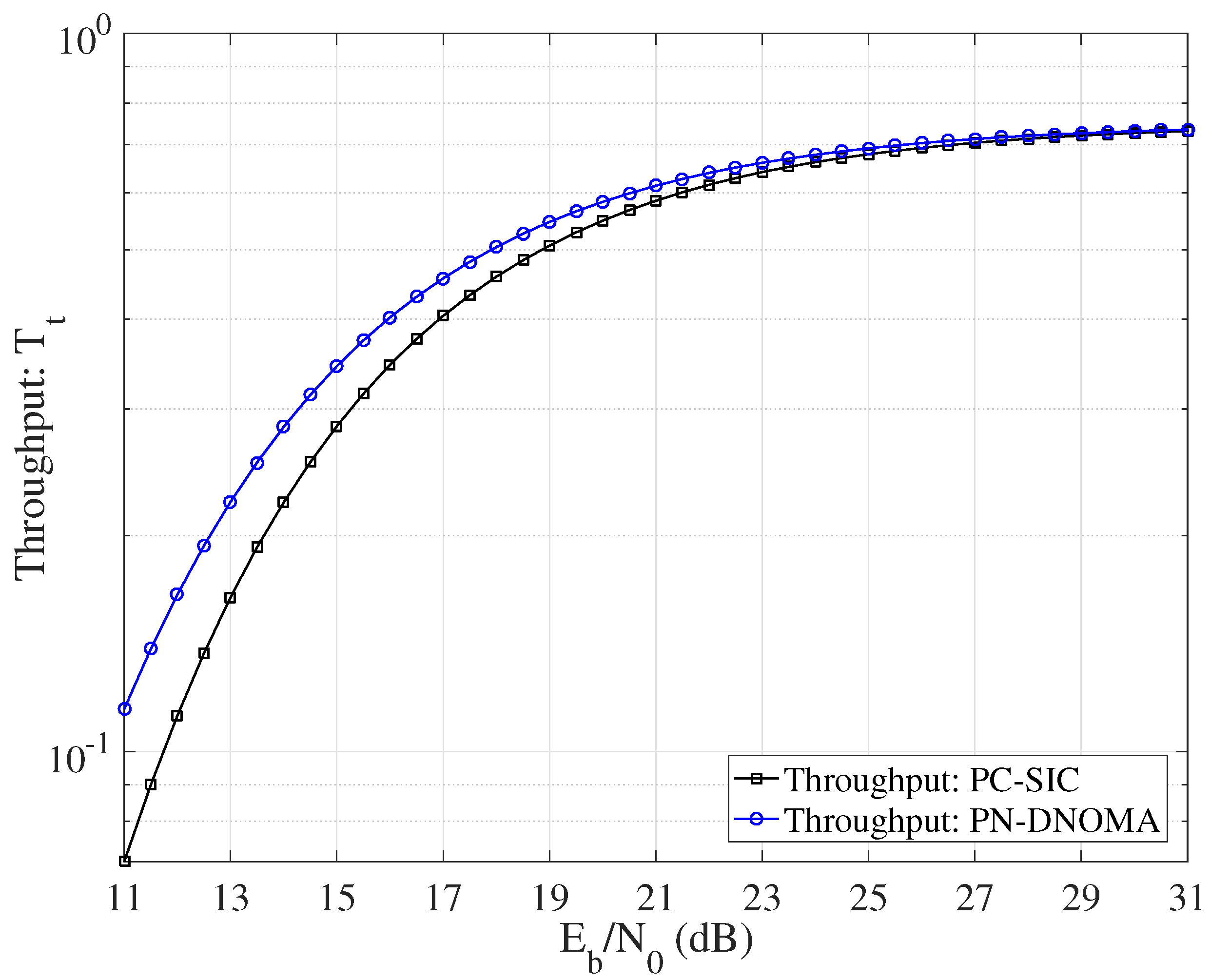
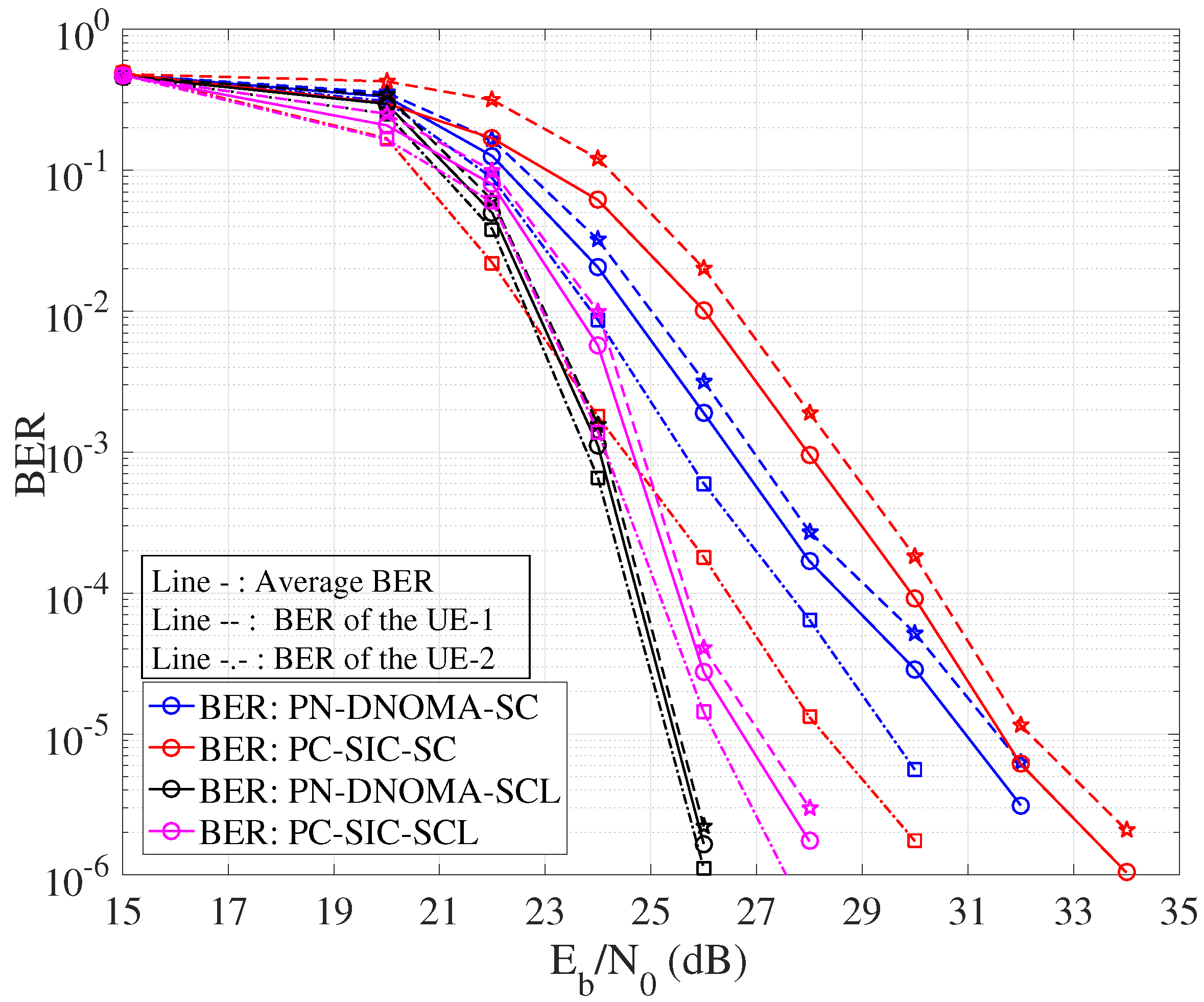
4. Simulation Results
5. Conclusions
Author Contributions
Funding
Institutional Review Board Statement
Informed Consent Statement
Data Availability Statement
Conflicts of Interest
Abbreviations
| PNC | Physical network coding |
| PN-DNOMA | A joint PNC for two−user downlink non−orthogonal multiple access |
| NOMA | Non−orthogonal multiple access |
| SIC | Successive interference cancellation |
| PA | Power allocation |
| BS | Base station |
| PC-SIC | A joint polar decoding and SIC decoding strategy |
| NCMA | Network-coded multiple access |
| SC | Successive cancellation |
| CS-SCL | Cyclic−redundancy−check−aided SC−list |
| CSIT | Channel state information at the transmitter |
| B-DMC | Binary−input discrete memoryless channel |
| SINR | Signal−to−interference−plus−noise ratio |
| JSC | Joint successive cancellation |
| QAM | Quadrature amplitude modulation |
| MF | Matched-filter |
References
- Dai, L.; Wang, B.; Yuan, Y.; Han, S.; Chih-lin, I.; Wang, Z. Non-orthogonal multiple access for 5G: Solutions, challenges, opportunities, and future research trends. IEEE Commun. Mag. 2015, 53, 74–81. [Google Scholar] [CrossRef]
- Fang, F.; Zhang, H.; Cheng, J.; Leung, V.C. Energy-efficient resource allocation for downlink non-orthogonal multiple access network. IEEE Trans. Commun. 2016, 64, 3722–3732. [Google Scholar] [CrossRef]
- Cover, T. Broadcast channels. IEEE Trans. Inf. Theory. 1972, 18, 2–14. [Google Scholar] [CrossRef]
- Sun, Q.; Han, S.; Chin-Lin, I.; Pan, Z. On the ergodic capacity of MIMO NOMA systems. IEEE Wirel. Commun. Lett. 2015, 4, 405–408. [Google Scholar] [CrossRef]
- Assaf, T.; Al-Dweik, A.J.; El Moursi, M.S.; Zeineldin, H.; Al-Jarrah, M. Exact bit error-rate analysis of two-user NOMA using QAM with arbitrary modulation orders. IEEE Commun. Lett. 2020, 24, 2705–2709. [Google Scholar] [CrossRef]
- Yu, W.; Jia, H.; Musavian, L. Joint adaptive M-QAM modulation and power adaptation for a downlink NOMA network. IEEE Trans. Commun. 2021, 70, 783–796. [Google Scholar] [CrossRef]
- Sun, Z.; Jing, Y.; Yu, X. NOMA design with power-outage tradeoff for two-user systems. IEEE Wirel. Commun. Lett. 2020, 9, 1278–1282. [Google Scholar] [CrossRef]
- Liu, K.H. Quasi-Degradation Probability of Two-User NOMA Over Rician Fading Channels. IEEE Trans. Veh. Technol. 2021, 70, 3514–3524. [Google Scholar] [CrossRef]
- Zaidel, B.M.; Shental, O.; Shamai, S. Beyond equal-power sparse NOMA: Two user classes and closed-form bounds on the achievable region. Entropy 2022, 24, 227. [Google Scholar] [CrossRef] [PubMed]
- Li, S.; Derakhshani, M.; Lambotharan, S.; Hanzo, L. Outage probability analysis for the multi-carrier NOMA downlink relying on statistical CSI. IEEE Trans. Commun. 2020, 68, 3572–3587. [Google Scholar] [CrossRef]
- Tse, D.; Viswanath, P. Fundamentals of Wireless Communication; Cambridge University Press: Cambridge, UK, 2005. [Google Scholar]
- Yao, J.; Zhang, Q.; Qin, J. Joint Decoding in Downlink NOMA Systems with Finite Blocklength Transmissions for Ultra-Reliable Low-Latency Tasks. IEEE Internet Things J. 2022. [Google Scholar] [CrossRef]
- Chung, K. Correlated superposition coding: Lossless two-user NOMA implementation without SIC under user-fairness. IEEE Wirel. Commun. Lett. 2021, 10, 1999–2003. [Google Scholar] [CrossRef]
- Arikan, E. Channel polarization: A method for constructing capacity-achieving codes for symmetric binary-input memoryless channels. IEEE Trans. Inf. Theory. 2009, 55, 3051–3073. [Google Scholar] [CrossRef]
- Zhang, S.; Liew, S.C.; Lam, P.P. Hot topic: Physical-layer network coding. In Proceedings of the 12th Annual International Conference on Mobile Computing and Networking, Los Angeles, CA, USA, 23–29 September 2006; pp. 358–365. [Google Scholar]
- Chen, P.; Shi, L.; Fang, Y.; Lau, F.C.M.; Cheng, J. Rate-Diverse Multiple Access over Gaussian Channels. IEEE Trans. Wirel. Commun. 2023, 1, 1. [Google Scholar] [CrossRef]
- Xie, Z.; Chen, P.; Mei, Z.; Long, S.; Cai, K.; Fang, Y. Polar-coded physical layer network coding over two-way relay channels. IEEE Commun. Lett. 2019, 23, 1301–1305. [Google Scholar] [CrossRef]
- Khan, A.S.; Chatzigeorgiou, I.; Lambotharan, S.; Zheng, G. Network-coded NOMA with antenna selection for the support of two heterogeneous groups of users. IEEE Trans. Wirel. Commun. 2019, 18, 1332–1345. [Google Scholar] [CrossRef]
- Zhang, Z.; Qu, H.; Zhao, J.; Wang, W. Contract Theory-Based Incentive Mechanism for Full Duplex Cooperative NOMA with SWIPT Communication Networks. Entropy 2021, 23, 1161. [Google Scholar] [CrossRef] [PubMed]
- Cui, J.; Ding, Z.; Fan, P. A novel power allocation scheme under outage constraints in NOMA systems. IEEE Signal Process. Lett. 2016, 23, 1226–1230. [Google Scholar] [CrossRef]
- Wang, H.; Dong, J.; Tang, K.; Shi, H. Outage Performance Analysis of NOMA in Wireless Powered Cognitive Radio Networks with AF and DF Relaying Techniques. Entropy 2021, 23, 1463. [Google Scholar] [CrossRef] [PubMed]
- Lau, V.K.; Liu, Y.; Chen, T.A. Capacity of memoryless channels and block-fading channels with designable cardinality-constrained channel state feedback. IEEE Trans. Inf. Theory. 2004, 50, 2038–2049. [Google Scholar] [CrossRef]
- Arikan, E. Systematic polar coding. IEEE Commun. Lett. 2011, 15, 860–862. [Google Scholar] [CrossRef]
- Trifonov, P. Efficient design and decoding of polar codes. IEEE Trans. Commun. 2012, 60, 3221–3227. [Google Scholar] [CrossRef]
- Balatsoukas-Stimming, A.; Parizi, M.B.; Burg, A. LLR-based successive cancellation list decoding of polar codes. IEEE Trans. Signal Process. 2015, 63, 5165–5179. [Google Scholar] [CrossRef]
- Wei, Z.; Ng, D.W.K.; Yuan, J.; Wang, H.M. Optimal resource allocation for power-efficient MC-NOMA with imperfect channel state information. IEEE Trans. Commun. 2017, 65, 3944–3961. [Google Scholar] [CrossRef]
- Zhang, S.; Liew, S.C.; Wang, H.; Lin, X. Capacity of two-way relay channel. In Proceedings of the Access Network; Springer: Berlin/Heidelberg, Germany, 2009; Volume 23, pp. 219–231. [Google Scholar]
- Nam, W.; Chung, S.Y.; Lee, Y.H. Capacity of the Gaussian Two-Way Relay Channel to Within 1/2 Bit. IEEE Trans. Inf. Theory. 2010, 56, 5488–5494. [Google Scholar] [CrossRef]
- Xu, B.; Xiang, Z.; Ren, P.; Guo, X. Outage performance of downlink full-duplex network-coded cooperative noma. IEEE Wirel. Commun. Lett. 2020, 10, 26–29. [Google Scholar] [CrossRef]
- Polyanskiy, Y.; Poor, H.V.; Verdú, S. Channel coding rate in the finite blocklength regime. IEEE Trans. Inf. Theory. 2010, 56, 2307–2359. [Google Scholar] [CrossRef]
- Sun, X.; Yan, S.; Yang, N.; Ding, Z.; Shen, C.; Zhong, Z. Short-packet downlink transmission with non-orthogonal multiple access. IEEE Trans. Wirel. Commun. 2018, 17, 4550–4564. [Google Scholar] [CrossRef]








| j | S | |||||
|---|---|---|---|---|---|---|
| 0 | 0 | 0 | 0 | |||
| 1 | 1 | 0 | 1 | |||
| 2 | 0 | 1 | 1 | |||
| 3 | 1 | 1 | 0 |
| Decoder | ||||
|---|---|---|---|---|
| SC Decoder | CA−SCL Decoder | |||
| PC−SIC | PN−DNOMA | PC−SIC | PN−DNOMA | |
| BER: | 30.1 (dB) | 28.3 (dB) | 25.6 (dB) | 24.5 (dB) |
| BER: | 31.8 (dB) | 30.9 (dB) | 26.7 (dB) | 25.6 (dB) |
| Decoding Complexity | ||||
Disclaimer/Publisher’s Note: The statements, opinions and data contained in all publications are solely those of the individual author(s) and contributor(s) and not of MDPI and/or the editor(s). MDPI and/or the editor(s) disclaim responsibility for any injury to people or property resulting from any ideas, methods, instructions or products referred to in the content. |
© 2023 by the authors. Licensee MDPI, Basel, Switzerland. This article is an open access article distributed under the terms and conditions of the Creative Commons Attribution (CC BY) license (https://creativecommons.org/licenses/by/4.0/).
Share and Cite
Xie, Z.; Chen, P.; Li, Y. Joint Design of Polar Coding and Physical Network Coding for Two−User Downlink Non−Orthogonal Multiple Access. Entropy 2023, 25, 233. https://doi.org/10.3390/e25020233
Xie Z, Chen P, Li Y. Joint Design of Polar Coding and Physical Network Coding for Two−User Downlink Non−Orthogonal Multiple Access. Entropy. 2023; 25(2):233. https://doi.org/10.3390/e25020233
Chicago/Turabian StyleXie, Zhaopeng, Pingping Chen, and Yong Li. 2023. "Joint Design of Polar Coding and Physical Network Coding for Two−User Downlink Non−Orthogonal Multiple Access" Entropy 25, no. 2: 233. https://doi.org/10.3390/e25020233
APA StyleXie, Z., Chen, P., & Li, Y. (2023). Joint Design of Polar Coding and Physical Network Coding for Two−User Downlink Non−Orthogonal Multiple Access. Entropy, 25(2), 233. https://doi.org/10.3390/e25020233

