Robustness Analysis of an Urban Public Traffic Network Based on a Multi-Subnet Composite Complex Network Model
Abstract
:1. Introduction
- (1)
- As a result of the difference in the traffic flow of each line and each station, a new flow function algorithm is proposed.
- (2)
- The traditional load capacity model is improved through different types of transportation and multiple attributes of nodes.
- (3)
- Based on a high-order complex network model, the degree centrality algorithm is improved to select important nodes for deliberate attack simulation experiments.
2. Materials and Methods
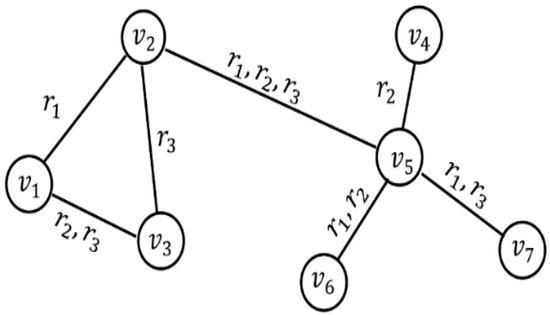
2.1. Multi-Subnet Composite Complex Network Model
- (1)
- represents a set of nodes, is the total number of nodes in the network;
- (2)
- represents a set of edges between nodes;
- (3)
- represents a set of various relationships between nodes, represents the -th relationship between nodes, is the total number of relationships;
- (4)
- F: E → R is a mapping function.
2.2. Cascade Failure Model Based on an Urban Public Traffic Composite Network
- (1)
- Initial load
- (2)
- Node capacity
- (3)
- Load redistribution
2.3. Robustness Evaluation Indicator
3. Results
3.1. Experimental Data
3.2. Experimental Analysis
4. Discussion
5. Conclusions
Funding
Institutional Review Board Statement
Data Availability Statement
Conflicts of Interest
References
- Chatterjee, A. Studies on the Structure and Dynamics of Urban Bus Networks in Indian Cities. Physics 2015, 21, 451–458. [Google Scholar]
- Shang, X.; Yang, K.; Jia, B. Distributionally robust cluster-based hierarchical hub location problem for the integration of urban and rural public transport system. Comput. Ind. Eng. 2021, 155, 107181. [Google Scholar] [CrossRef]
- Cai, Q. Cause Analysis of Traffic Accidents on Urban Roads Based on an Improved Association Rule Mining Algorithm. IEEE Access 2020, 8, 75607–75615. [Google Scholar] [CrossRef]
- Shiwakoti, N.; Tay, R.; Stasinopoulos, P. Passengers’ perceived ability to get out safely from an underground train station in an emergency situation. Cogn. Technol. Work 2018, 20, 367–375. [Google Scholar] [CrossRef]
- Yin, R.R.; Yuan, H.; Wang, J. Modeling and analyzing cascading dynamics of the urban road traffic network. Phys. A Stat. Mech. Its Appl. 2021, 566, 125600. [Google Scholar] [CrossRef]
- Bin, S. Construction and Simulation Analysis of Epidemic Propagation Model Based on COVID-19 Characteristics. Int. J. Environ. Res. Public Health 2023, 20, 132. [Google Scholar] [CrossRef]
- Huang, C.Z.L. Robust evaluation method of communication network based on the combination of complex network and big data. Neural Comput. Appl. 2021, 33, 887–896. [Google Scholar] [CrossRef]
- Socievole, A.; Yoneki, E.; De Rango, F. ML-SOR: Message routing using multi-layer social networks in opportunistic communications. Comput. Netw. 2015, 81, 201–219. [Google Scholar] [CrossRef]
- Ferber, C.; Berche, B.; Holovatch, T. A tale of two cities: Vulnerabilities of the London and Paris transit networks. J. Transp. Secur. 2012, 5, 199–216. [Google Scholar] [CrossRef]
- Huang, W.; Yu, Y.; Sun, H. Using the disaster spreading theory to analyze the cascading failure of urban rail transit network. Reliab. Eng. Syst. Saf. 2021, 215, 107825. [Google Scholar] [CrossRef]
- Buldyrev, S.V.; Parshani, R.; Paul, G. Catastrophic Cascade of Failures in Interdependent Networks. Nature 2010, 464, 1025–1028. [Google Scholar] [CrossRef] [PubMed]
- Cai, Y.; Li, Y.; Cao, Y. Modeling and impact analysis of interdependent characteristics on cascading failures in smart grids. Int. J. Electr. Power Energy Syst. 2010, 89, 106–114. [Google Scholar] [CrossRef]
- Aleta, A.; Meloni, S.; Moreno, Y. A multilayer perspective for the analysis of urban transportation systems. Sci. Rep. 2016, 7, 44359. [Google Scholar] [CrossRef] [PubMed]
- Shen, Y.; Ren, G.; Ran, B. Cascading failure analysis and robustness optimization of metro networks based on coupled map lattices: A case study of Nanjing, China. Transportation 2021, 48, 537–553. [Google Scholar] [CrossRef]
- Li, T. Simulating the spread of epidemics in China on multi-layer transportation networks: Beyond COVID-19 in Wuhan. EPL 2020, 130, 48002. [Google Scholar] [CrossRef]
- Wang, Y.M.; Chen, B.; Chen, X.S. Cascading Failure Model for Command and Control Networks Based on an m-Order Adjacency Matrix. Mob. Inf. Syst. 2018, 2018, 6404136. [Google Scholar] [CrossRef]
- Sun, G.; Chen, C.C.; Bin, S. Study of Cascading Failure in Multisubnet Composite Complex Networks. Symmetry 2021, 13, 523. [Google Scholar] [CrossRef]
- Bin, S.; Sun, G. Research on the Influence Maximization Problem in Social Networks Based on the Multi-Functional Complex Networks Model. J. Organ. End User Comput. 2022, 34, 1–17. [Google Scholar] [CrossRef]
- Zhang, X.; Zheng, Z.; Zhu, Y. Protection issues for supply systems involving random attacks. Comput. Oper. Res. 2014, 43, 137–156. [Google Scholar] [CrossRef]
- Yang, H.; An, S. Robustness evaluation for multi-subnet composited complex network of urban public transport. Alex. Eng. J. 2021, 60, 2065–2074. [Google Scholar] [CrossRef]
- Yildirimoglu, M.; Kim, J. Identification of communities in urban mobility networks using multi-layer graphs of network traffic. Transp. Res. Part C Emerg. Technol. 2018, 89, 254–267. [Google Scholar] [CrossRef]
- Ameli, M.; Lebacque, J.P.; Leclercq, L. Computational Methods for Calculating Multimodal Multiclass Traffic Network Equilibrium: Simulation Benchmark on a Large-Scale Test Case. J. Adv. Transp. 2021, 2021, 8815653. [Google Scholar] [CrossRef]
- Zhang, L.; Wen, H.; Lu, J. Exploring cascading reliability of multi-modal public transit network based on complex networks. Reliab. Eng. Syst. Saf. 2022, 221, 108367. [Google Scholar] [CrossRef]









| Attack Mode | Random Attack | Deliberate Attack | ||
|---|---|---|---|---|
| Evaluation Indicator | ||||
| The proposed cascading failure model | 0.1 | 0.338 | 0.125 | 0.431 |
| Flow-based cascading failure model | 0.16 | 0.403 | 0.24 | 0.527 |
Disclaimer/Publisher’s Note: The statements, opinions and data contained in all publications are solely those of the individual author(s) and contributor(s) and not of MDPI and/or the editor(s). MDPI and/or the editor(s) disclaim responsibility for any injury to people or property resulting from any ideas, methods, instructions or products referred to in the content. |
© 2023 by the author. Licensee MDPI, Basel, Switzerland. This article is an open access article distributed under the terms and conditions of the Creative Commons Attribution (CC BY) license (https://creativecommons.org/licenses/by/4.0/).
Share and Cite
Sun, G. Robustness Analysis of an Urban Public Traffic Network Based on a Multi-Subnet Composite Complex Network Model. Entropy 2023, 25, 1377. https://doi.org/10.3390/e25101377
Sun G. Robustness Analysis of an Urban Public Traffic Network Based on a Multi-Subnet Composite Complex Network Model. Entropy. 2023; 25(10):1377. https://doi.org/10.3390/e25101377
Chicago/Turabian StyleSun, Gengxin. 2023. "Robustness Analysis of an Urban Public Traffic Network Based on a Multi-Subnet Composite Complex Network Model" Entropy 25, no. 10: 1377. https://doi.org/10.3390/e25101377
APA StyleSun, G. (2023). Robustness Analysis of an Urban Public Traffic Network Based on a Multi-Subnet Composite Complex Network Model. Entropy, 25(10), 1377. https://doi.org/10.3390/e25101377
