Modeling Oxidation of AlCoCrFeNi High-Entropy Alloy Using Stochastic Cellular Automata
Abstract
1. Introduction
2. Computational Method
3. Results and Discussion
3.1. Oxidation of the Equiatomic AlCoCrFeNi Alloy
3.1.1. Effect of the Al:Cr Ratio
3.1.2. Effect of Fe:Co:Ni
3.2. Effect of Microstructure on the Oxidation Behavior
3.2.1. Dendritic-Core and Interdendritic Microstructure
3.2.2. Precipitate–Matrix Model
4. Conclusions
- (a)
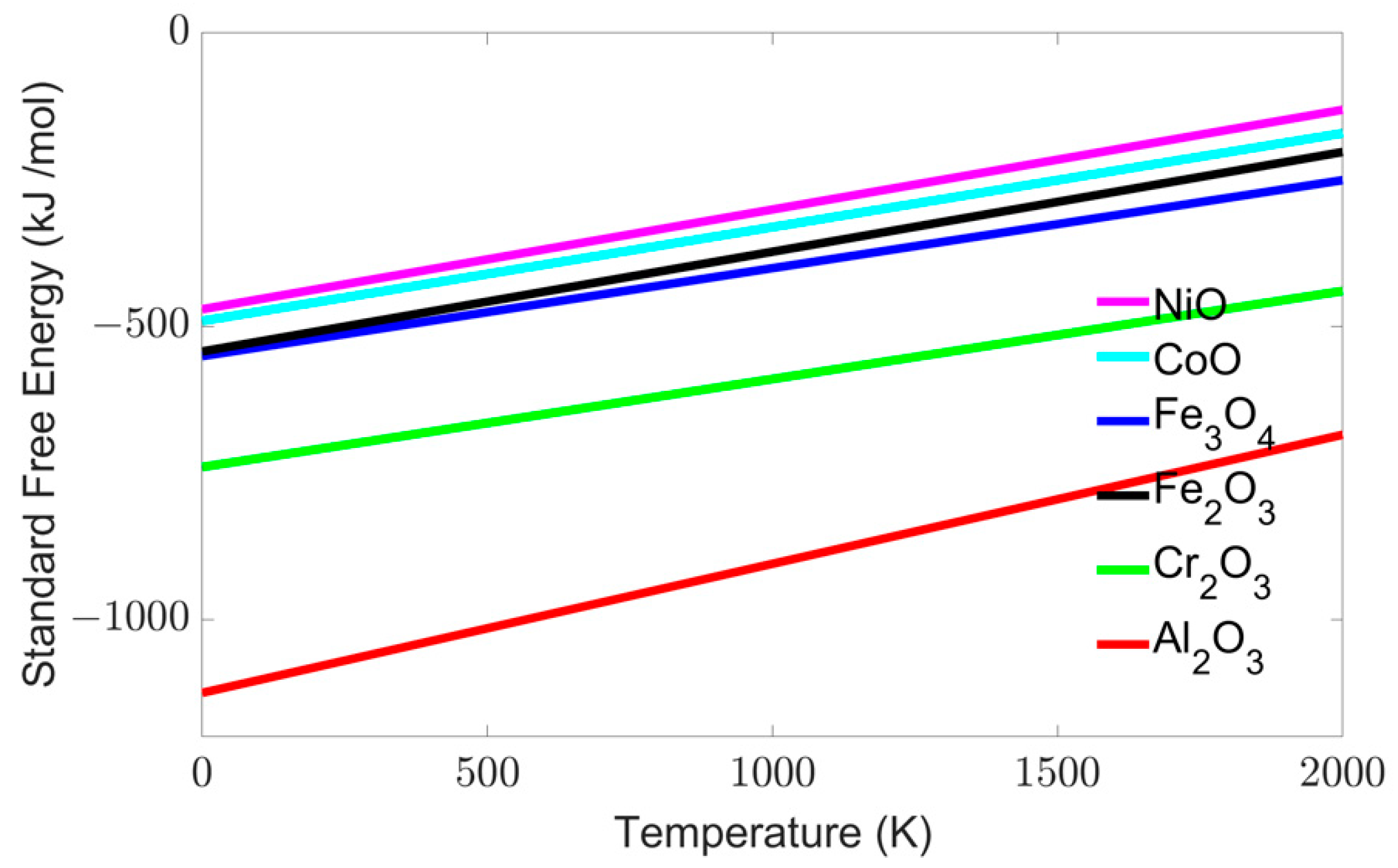
- The primary goal of the single-crystal equimolar simulations was to isolate and understand the effect of alloy chemistry. Experimental alloys are, of course, more complex—but the approach adopted is to understand the effect of composition in isolation and then progress toward modeling of multi-phase microstructures. For the equimolar alloy, Al and Cr form the passivating oxides, and the concentration of α-Al2O3 and Cr2O3 grows over time in the oxide scale before approaching a steady state. The other oxides (namely those of Fe, Co, and Ni) form initially in larger concentrations, but their concentration in the oxide scale decreases with time. The concentration of CoO and NiO decreases more rapidly than that of iron oxide, possibly due to the greater thermodynamic stability of iron oxide. These results do show a qualitative agreement with experimental findings.
- (b)
- Upon varying the Al:Cr ratio, the overall oxidation kinetics does not change appreciably at 1000 K, but the scale chemistry does change proportional to the Al:Cr ratio in the alloy. Similarly, changing the Fe:Co:Ni ratio did not affect the kinetics significantly. The amounts of oxides of Fe, Co, and Ni in the scale were in accordance with their composition in the alloy. However, a lower Fe content did promote the α-Al2O3 and Cr2O3 content in the scale.
- (c)
- The single-crystal simulations, though successfully indicating α-Al2O3 and Cr2O3 to be the primary scale-forming oxides, did not indicate a segregation of these oxides; rather, they were seen to form intimately inter-mixed. Once the simulation cell was adjusted to account for the phase-separation observed in the heat-treated samples on which oxidation experiments were performed, we observed a concomitant separation between the Al2O3- and Cr2O3-rich scales with the Al-Ni- and Cr-Fe-rich regions in the alloy, respectively.
- (d)
- While the dendritic/interdendritic structures are more typical of traditional casting processes, rapid quenching, followed by aging, can result in the initial formation of a metastable solid solution with extended solid solubility which eventually decomposes, resulting in the formation of precipitates within a matrix. Given the nanoscale distribution of these features, the model could not be scaled, and the results were obtained in terms of the number of iterations/number of cells, as opposed to a scaled time/length, due to lack of experimental data on the oxidation of such alloys. A propensity of iron oxide was observed which could possibly indicate that the number of iterations was successful in capturing only the initial stages. However, here, our results are inconclusive, and further work is required to extend this model for nanoscale features.
Author Contributions
Funding
Institutional Review Board Statement
Data Availability Statement
Conflicts of Interest
References
- Wallwork, G.R. The oxidation of alloys. Rep. Prog. Phys. 1976, 39, 401–485. [Google Scholar] [CrossRef]
- Cabrera, N.; Mott, N.F. Theory of the oxidation of metals. Rep. Prog. Phys. 1949, 12, 163–184. [Google Scholar] [CrossRef]
- George, E.P.; Raabe, D.; Ritchie, R.O. High-entropy alloys. Nat. Rev. Mater. 2019, 4, 515–534. [Google Scholar] [CrossRef]
- Ray, P.K.; Akinc, M.; Kramer, M. Formation of multilayered scale during the oxidation of NiAl–Mo alloy. Appl. Surf. Sci. 2014, 301, 107–111. [Google Scholar] [CrossRef]
- Karahan, T.; Ouyang, G.; Ray, P.K.; Kramer, M.J.; Akinc, M. Oxidation mechanism of W substituted Mo-Si-B alloys. Intermetallics 2017, 87, 38–44. [Google Scholar] [CrossRef]
- Rioult, F.A.; Imhoff, S.D.; Sakidja, R.; Perepezko, J.H. Transient oxidation of Mo–Si–B alloys: Effect of the microstructure size scale. Acta Mater. 2009, 57, 4600–4613. [Google Scholar] [CrossRef]
- Park, S.-J.; Seo, S.-M.; Yoo, Y.-S.; Jeong, H.-W.; Jang, H. Effects of Al and Ta on the high temperature oxidation of Ni-based superalloys. Corros. Sci. 2015, 90, 305–312. [Google Scholar] [CrossRef]
- Saber, D.; Emam, I.S.; Abdel-Karim, R. High temperature cyclic oxidation of Ni based superalloys at different temperatures in air. J. Alloys Compd. 2017, 719, 133–141. [Google Scholar] [CrossRef]
- Park, S.-J.; Seo, S.-M.; Yoo, Y.-S.; Jeong, H.-W.; Jang, H. Effects of Cr, W, and Mo on the High Temperature Oxidation of Ni-Based Superalloys. Materials 2019, 12, 2934. [Google Scholar] [CrossRef]
- Brenneman, J.; Wei, J.; Sun, Z.; Liu, L.; Zou, G.; Zhou, Y. Oxidation behavior of GTD111 Ni-based superalloy at 900 °C in air. Corros. Sci. 2015, 100, 267–274. [Google Scholar] [CrossRef]
- Josefsson, H.; Liu, F.; Svensson, J.-E.; Halvarsson, M.; Johansson, L.-G. Oxidation of FeCrAl alloys at 500–900 °C in dry O2. Mater. Corros. 2005, 56, 801–805. [Google Scholar] [CrossRef]
- Hoffman, A.K.; Umretiya, R.V.; Gupta, V.K.; Larsen, M.; Graff, C.; Perlee, C.; Brennan, P.; Rebak, R. Oxidation Resistance in 1200 °C Steam of a FeCrAl Alloy Fabricated by Three Metallurgical Processes. JOM 2022, 74, 1690–1697. [Google Scholar] [CrossRef]
- Asteman, H.; Spiegel, M. A comparison of the oxidation behaviours of Al2O3 formers and Cr2O3 formers at 700 °C—Oxide solid solutions acting as a template for nucleation. Corros. Sci. 2008, 50, 1734–1743. [Google Scholar] [CrossRef]
- Alshataif, Y.A.; Sivasankaran, S.; Al-Mufadi, F.A.; Alaboodi, A.S.; Ammar, H.R. Synthesis, Microstructures and Mechanical Behaviour of Cr0.21Fe0.20Al0.41Cu0.18 and Cr0.14Fe0.13Al0.26Cu0.11Si0.25Zn0.11 Nanocrystallite Entropy Alloys Prepared by Mechanical Alloying and Hot-Pressing. Met. Mater. Int. 2021, 27, 139–155. [Google Scholar] [CrossRef]
- Zhang, L.; Yu, P.; Zhang, M.; Liu, D.; Zhou, Z.; Ma, M.; Liaw, P.; Li, G.; Liu, R. Microstructure and mechanical behaviors of GdxCoCrCuFeNi high-entropy alloys. Mater. Sci. Eng. A 2017, 707, 708–716. [Google Scholar] [CrossRef]
- Brady, M.P.; Smialek, J.L.; Terepka, F. Microstructure of alumina-forming oxidation resistant Al-Ti-Cr alloys. Scr. Met. Mater. 1995, 32, 1659–1664. [Google Scholar] [CrossRef]
- Garg, M.; Grewal, H.S.; Sharma, R.K.; Arora, H.S. Enhanced Oxidation Resistance of Ultrafine-Grain Microstructure AlCoCrFeNi High Entropy Alloy. ACS Omega 2022, 7, 12589–12600. [Google Scholar] [CrossRef]
- Yan, K.; Guo, H.; Gong, S. High-temperature oxidation behavior of minor Hf doped NiAl alloy in dry and humid atmospheres. Corros. Sci. 2013, 75, 337–344. [Google Scholar] [CrossRef]
- Kumar T., K.; Sourav, A.; Murty, B.S.; Chelvane, A.; Thangaraju, S. Role of Al and Cr on cyclic oxidation behavior of AlCoCrFeNi2 high entropy alloy. J. Alloys Compd. 2022, 919, 165820. [Google Scholar] [CrossRef]
- Loeffel, K.; Anand, L.; Gasem, Z.M. On modeling the oxidation of high-temperature alloys. Acta Mater. 2013, 61, 399–424. [Google Scholar] [CrossRef]
- Saltykov, P.; Fabrichnaya, O.; Golczewski, J.; Aldinger, F. Thermodynamic modeling of oxidation of Al–Cr–Ni alloys. J. Alloys Compd. 2004, 381, 99–113. [Google Scholar] [CrossRef]
- Kirkaldy, J.S. On the theory of internal oxidation and sulphation of alloys. Can. Met. Q. 1969, 8, 35–38. [Google Scholar] [CrossRef]
- Leblond, J.-B.; Bergheau, J.-M.; Lacroix, R.; Huin, D. Implementation and application of some nonlinear models of diffusion/reaction in solids. Finite Elem. Anal. Des. 2017, 132, 8–26. [Google Scholar] [CrossRef][Green Version]
- Huin, D.; Leblond, J.-B.; Darghoum, I.; Bergheau, J.-M.; Bertrand, F. Extended Wagner-type models and their application to the prediction of the transition from internal to external oxidation. Comput. Mater. Sci. 2022, 209, 111334. [Google Scholar] [CrossRef]
- Hasnaoui, A.; Politano, O.; Salazar, J.M.; Aral, G.; Kalia, R.K.; Nakano, A.; Vashishta, P. Molecular dynamics simulations of the nano-scale room-temperature oxidation of aluminum single crystals. Surf. Sci. 2005, 579, 47–57. [Google Scholar] [CrossRef]
- Qiao, Y.; Wang, P.; Qi, W.; Du, S.; Liu, Z.; Meng, F.; Zhang, X.; Wang, K.; Li, Q.; Yao, Z.; et al. Mechanism of Al on FeCrAl steam oxidation behavior and molecular dynamics simulations. J. Alloys Compd. 2020, 828, 154310. [Google Scholar] [CrossRef]
- Bigdeli, S.; Kjellqvist, L.; Naraghi, R.; Höglund, L.; Larsson, H.; Jonsson, T. Strategies for High-Temperature Corrosion Simulations of Fe-Based Alloys Using the Calphad Approach: Part I. J. Phase Equilibria Diffus. 2021, 42, 403–418. [Google Scholar] [CrossRef]
- Gheno, T.; Rio, C.; Ecochard, M.; Texier, D. Alumina Failure and Post-failure Oxidation in the NiCoCrAlY Alloy System at High Temperature. Oxid. Met. 2021, 96, 487–517. [Google Scholar] [CrossRef]
- Song, B.; Yang, Y.; Rabbani, M.; Yang, T.T.; He, K.; Hu, X.; Yuan, Y.; Ghildiyal, P.; Dravid, V.P.; Zachariah, M.R.; et al. In Situ Oxidation Studies of High-Entropy Alloy Nanoparticles. ACS Nano 2020, 14, 15131–15143. [Google Scholar] [CrossRef]
- Roy, I.; Ekuma, C.; Balasubramanian, G. Examining the thermodynamic stability of mixed principal element oxides in AlCoCrFeNi high-entropy alloy by first-principles. Comput. Mater. Sci. 2022, 213, 111619. [Google Scholar] [CrossRef]
- Roy, I.; Ray, P.K.; Balasubramanian, G. Diffusion of multi-principal elements through stable Cr2O3 and Al2O3 scales. Materialia 2022, 24, 101497. [Google Scholar] [CrossRef]
- Osei-Agyemang, E.; Balasubramanian, G. Surface oxidation mechanism of a refractory high-entropy alloy. NPJ Mater. Degrad. 2019, 3, 20. [Google Scholar] [CrossRef]
- Casadebaigt, A.; Hugues, J.; Monceau, D. Influence of Microstructure and Surface Roughness on Oxidation Kinetics at 500–600 °C of Ti–6Al–4V Alloy Fabricated by Additive Manufacturing. Oxid. Met. 2018, 90, 633–648. [Google Scholar] [CrossRef]
- Leyens, C.; Peters, M.; Kaysser, W.A. Influence of microstructure on oxidation behaviour of near-α titanium alloys. Mater. Sci. Technol. 1996, 12, 213–218. [Google Scholar] [CrossRef]
- Kim, S.-H.; Zhang, X.; Ma, Y.; Souza Filho, I.R.; Schweinar, K.; Angenendt, K.; Vogel, D.; Stephenson, L.T.; El-Zoka, A.A.; Mianroodi, J.R.; et al. Influence of microstructure and atomic-scale chemistry on the direct reduction of iron ore with hydrogen at 700 °C. Acta Mater. 2021, 212, 116933. [Google Scholar] [CrossRef]
- Roy, I.; Ray, P.K.; Balasubramanian, G. Examining oxidation in β-NiAl and β-NiAl+Hf alloys by stochastic cellular automata simulations. NPJ Mater. Degrad. 2021, 5, 55. [Google Scholar] [CrossRef]
- Butler, T.M.; Weaver, M.L. Oxidation behavior of arc melted AlCoCrFeNi multi-component high-entropy alloys. J. Alloys Compd. 2016, 674, 229–244. [Google Scholar] [CrossRef]
- Lu, J.; Chen, Y.; Zhang, H.; Li, L.; Fu, L.; Zhao, X.; Guo, F.; Xiao, P. Effect of Al content on the oxidation behavior of Y/Hf-doped AlCoCrFeNi high-entropy alloy. Corros. Sci. 2020, 170, 108691. [Google Scholar] [CrossRef]
- Lu, J.; Chen, Y.; Zhang, H.; Ni, N.; Li, L.; He, L.; Mu, R.; Zhao, X.; Guo, F. Y/Hf-doped AlCoCrFeNi high-entropy alloy with ultra oxidation and spallation resistance. Corros. Sci. 2020, 166, 108426. [Google Scholar] [CrossRef]
- Hasegawa, M. Chapter 3.3—Ellingham Diagram. In Treatise on Process Metallurgy; Seetharaman, S., Ed.; Elsevier: Boston, MA, USA, 2014; pp. 507–516. ISBN 978-0-08-096986-2. [Google Scholar]
- Munitz, A.; Salhov, S.; Hayun, S.; Frage, N. Heat treatment impacts the micro-structure and mechanical properties of AlCoCrFeNi high entropy alloy. J. Alloys Compd. 2016, 683, 221–230. [Google Scholar] [CrossRef]
- Manzoni, A.; Daoud, H.; Völkl, R.; Glatzel, U.; Wanderka, N. Phase separation in equiatomic AlCoCrFeNi high-entropy alloy. Ultramicroscopy 2013, 132, 212–215. [Google Scholar] [CrossRef] [PubMed]
- Garg, M.; Grewal, H.S.; Sharma, R.K.; Gwalani, B.; Arora, H.S. High oxidation resistance of AlCoCrFeNi high entropy alloy through severe shear deformation processing. J. Alloys Compd. 2022, 917, 165385. [Google Scholar] [CrossRef]
- Hall, J.; Hellström, K.; Svensson, J.-E.; Norell, M.; Lundberg, M.; Helander, T.; Johansson, L.-G. The Initial Oxide Scale Development on a Model FeNiCrAl Alloy at 900 °C in Dry and Humid Atmosphere: A Detailed Investigation. Oxid. Met. 2014, 82, 225–247. [Google Scholar] [CrossRef]
- Zhu, J.; Lu, S.; Jin, Y.; Xu, L.; Xu, X.; Yin, C.; Jia, Y. High-Temperature Oxidation Behaviours of AlCoCrFeNi High-Entropy Alloy at 1073–1273 K. Oxid. Met. 2020, 94, 265–281. [Google Scholar] [CrossRef]
- Sigler, D.R. Aluminum oxide adherence on Fe-Cr-Al alloys modified with group IIIB, IVB, VB, and VIB elements. Oxid. Met. 1989, 32, 337–355. [Google Scholar] [CrossRef]
- Nijdam, T.J.; Jeurgens, L.P.H.; Sloof, W.G. Promoting exclusive α-Al2O3 growth upon high-temperature oxidation of NiCrAl alloys: Experiment versus model predictions. Acta Mater. 2005, 53, 1643–1653. [Google Scholar] [CrossRef]
- Listyawan, T.A.; Agustianingrum, M.P.; Na, Y.S.; Lim, K.R.; Park, N. Improving high-temperature oxidation behavior by modifying Al and Co content in Al-Co-Cr-Fe-Ni high-entropy alloy. J. Mater. Sci. Technol. 2022, 129, 115–126. [Google Scholar] [CrossRef]














| Diffusing Element | Through α-Al2O3 | Through Cr2O3 | ||
|---|---|---|---|---|
| Diffusion Coefficient | Probability | Diffusion Coefficient | Probability | |
| Al | 7.94 × 10−13 | 0.00123456 | 1.78 × 10−14 | 0.00102564 |
| Cr | 6.31 × 10−12 | 0.00138888 | 2.04 × 10−15 | 0.00093545 |
| Co | 1.55 × 10−11 | 0.00147058 | 9.46 × 10−16 | 0.00090702 |
| Fe | 9.77 × 10−12 | 0.00142653 | 1.26 × 10−15 | 0.00091743 |
| Ni | 1.55 × 10−11 | 0.00147058 | 1.58 × 10−14 | 0.00102040 |
| O | 1.01 × 10−12 | 0.06250000 | 8.13 × 10−16 | 0.04510000 |
| Element | 1273 | 1323 | 1373 |
|---|---|---|---|
| Al | 1.00 × 10−14 | 1.00 × 10−14 | 1.00 × 10−14 |
| Co | 3.26 × 10−16 | 1.09 × 10−15 | 1.55 × 10−15 |
| Cr | 4.57 × 10−16 | 1.38 × 10−15 | 3.16 × 10−15 |
| Fe | 3.80 × 10−16 | 1.41 × 10−15 | 2.57 × 10−15 |
| Ni | 1.00 × 10−16 | 1.66 × 10−16 | 4.78 × 10−16 |
Publisher’s Note: MDPI stays neutral with regard to jurisdictional claims in published maps and institutional affiliations. |
© 2022 by the authors. Licensee MDPI, Basel, Switzerland. This article is an open access article distributed under the terms and conditions of the Creative Commons Attribution (CC BY) license (https://creativecommons.org/licenses/by/4.0/).
Share and Cite
Roy, I.; Ray, P.K.; Balasubramanian, G. Modeling Oxidation of AlCoCrFeNi High-Entropy Alloy Using Stochastic Cellular Automata. Entropy 2022, 24, 1263. https://doi.org/10.3390/e24091263
Roy I, Ray PK, Balasubramanian G. Modeling Oxidation of AlCoCrFeNi High-Entropy Alloy Using Stochastic Cellular Automata. Entropy. 2022; 24(9):1263. https://doi.org/10.3390/e24091263
Chicago/Turabian StyleRoy, Indranil, Pratik K. Ray, and Ganesh Balasubramanian. 2022. "Modeling Oxidation of AlCoCrFeNi High-Entropy Alloy Using Stochastic Cellular Automata" Entropy 24, no. 9: 1263. https://doi.org/10.3390/e24091263
APA StyleRoy, I., Ray, P. K., & Balasubramanian, G. (2022). Modeling Oxidation of AlCoCrFeNi High-Entropy Alloy Using Stochastic Cellular Automata. Entropy, 24(9), 1263. https://doi.org/10.3390/e24091263
