Model Checking Fuzzy Computation Tree Logic Based on Fuzzy Decision Processes with Cost
Abstract
:1. Introduction
- A fuzzy decision process model with cost function is defined, which can describe the cost and other quantitative properties of a fuzzy system. The action property in the model is used to describe the uncertain action selection of the model, and the cost property is used to describe the cost of the system.
- The FCTL is extended to FCTL with cost operator. The fuzzy computation tree logic with cost operator inherits the existence and arbitrary quantifiers of classical temporal logic and adds operators about cost.
- The fuzzy computation tree logic model checking quantitative calculation formula and algorithm are given. At the same time, the complexity of the algorithm is analyzed.
2. Preliminaries
- S is a countable, non-empty set of states,
- is the fuzzy transition. For each , there exist such that ,
- is the initial fuzzy distribution function. The initial state is s, and the truth value is ,
- is the set of atomic propositions,
- is a fuzzy labeling function. is the truth value to the atomic proposition p in state s.
3. Fuzzy Decision Processes with Cost
- S is a countable, non-empty set of states,
- is the set of actions,
- is the fuzzy transition. For each and , there exists which let ,
- is the initial fuzzy distribution function. For , the truth value is ,
- is the set of atomic propositions,
- is a fuzzy labeling function. is the truth value to the atomic proposition p in state s.
- is a cost function. For each and , is the cost of that the action α is selected in state s.
4. FCTL with Cost Operator
5. Model Checking Fuzzy Computation Tree Logic Based on Fuzzy Decision Processes with Cost
| Algorithm 1 Catch the action | 
| 
 | 
| Algorithm 2 Calculating the formal FCTL state formula | 
| 
 | 
| Algorithm 3 Calculating the cost operators of FCTL | 
| 
 | 
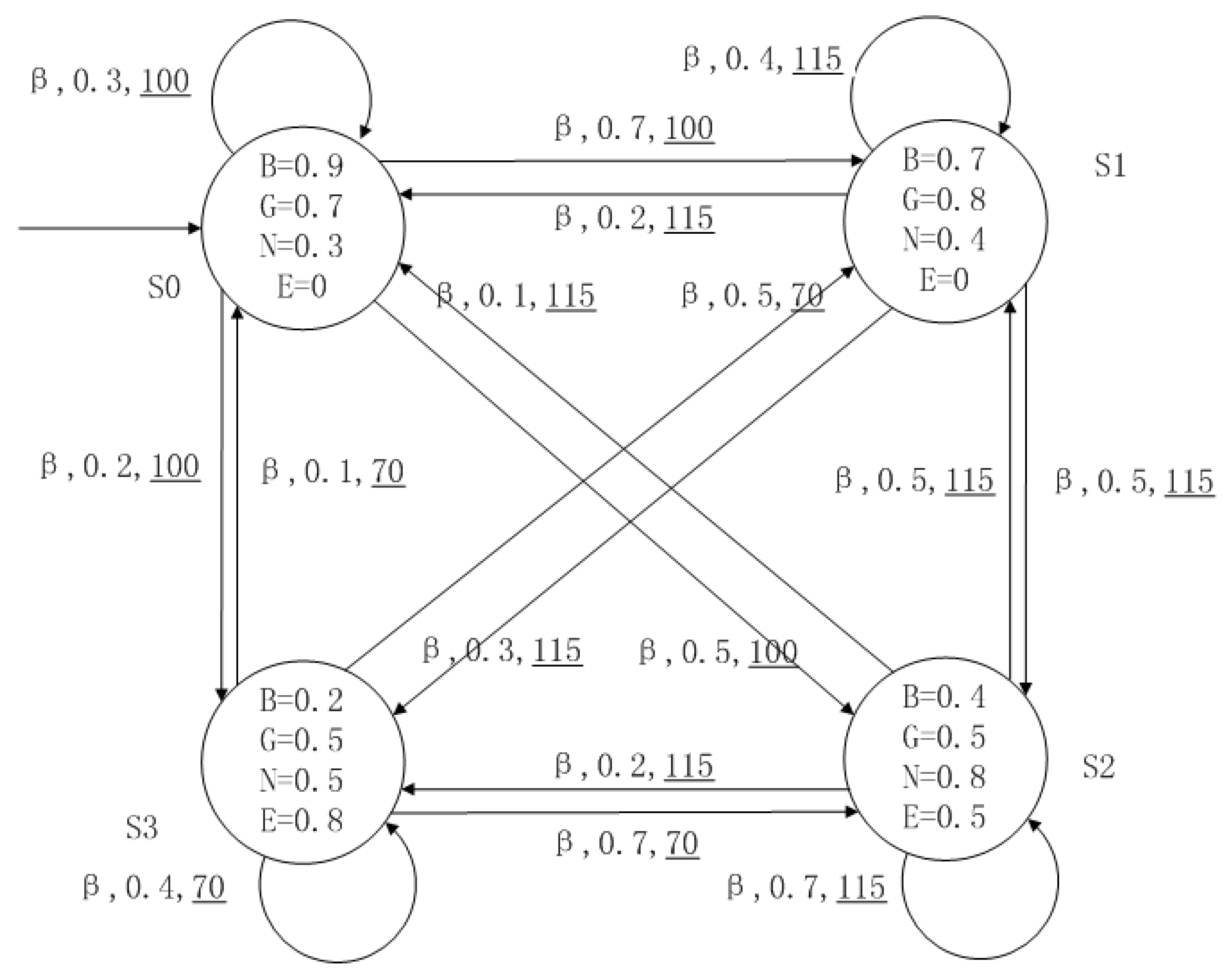
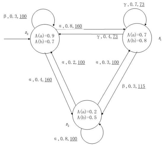
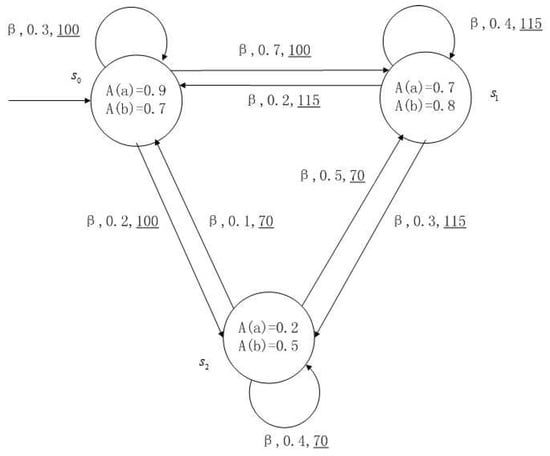
6. Illustrative Examples
7. Conclusions
Author Contributions
Funding
Institutional Review Board Statement
Informed Consent Statement
Data Availability Statement
Conflicts of Interest
Appendix A. Proof of (1)–(10)
References
- Baier, C.; Katoen, J.P. Principles of Model Checking; MIT Press: Cambridge, MA, USA, 2008. [Google Scholar]
- Xie, D.; Xiong, W.; Bu, L.; Li, X. Deriving unbounded reachability proof of linear hybrid automata during bounded checking procedure. IEEE Trans. Comput. 2017, 66, 416–430. [Google Scholar] [CrossRef]
- Rawlings, B.C.; Lafortune, S.; Ydstie, B.E. Supervisory control of labeled transition systems subject to multiple reachability requirements via symbolic model checking. IEEE Trans. Control. Syst. Technol. 2020, 28, 644–652. [Google Scholar] [CrossRef]
- Hart, S.; Sharir, M. Probabilistic propositional temporal logics. Inf. Control. 1986, 70, 97–155. [Google Scholar] [CrossRef]
- Alfaro, L.D.; Kwiatkowska, M.; Norman, G.; Parker, D.; Segala, R. Symbolic model checking of probabilistic processes using mtbdds and the kronecker representation. In Tools and Algorithms for the Construction and Analysis of Systems; Graf, S., Schwartzbach, M., Eds.; Springer: Berlin/Heidelberg, Germany, 2000; pp. 395–410. [Google Scholar]
- Baier, C.; Clarke, E.M.; Hartonas-Garmhausen, V.; Kwiatkowska, M.; Ryan, M. Symbolic model checking for probabilistic processes. In International Colloquium on Automata, Languages, and Programming; Degano, P., Gorrieri, R., Marchetti-Spaccamela, A., Eds.; Springer: Berlin/Heidelberg, Germany, 1997; pp. 430–440. [Google Scholar] [CrossRef]
- Baier, C.; Ciesinski, F.; Grosser, M. Probmela: A Modeling Language for Communicating Probabilistic Processes. In Proceedings of the Second ACM and IEEE International Conference on Formal Methods and Models for Co-Design, San Diego, CA, USA, 23–25 June 2004; Volume 4, pp. 57–66. [Google Scholar]
- Baier, C.; de Alfaro, L.; Forejt, V.; Kwiatkowska, M. Model Checking Probabilistic Systems; Springer International Publishing: Cham, Switzerland, 2018; pp. 963–999. [Google Scholar] [CrossRef]
- Chechik, M.; Gurfinkel, A.; Devereux, B. Xchek: A Multi-Valued Model-Checker. In Computer Aided Verification; Brinksma, E., Larsen, K.G., Eds.; Springer: Berlin/Heidelberg, Germany, 2002; pp. 505–509. [Google Scholar] [CrossRef]
- Chechik, M.; Easterbrook, S.; Devereux, B. Model checking with multi-valued temporal logics. In Proceedings of the 31st IEEE International Symposium on Multiple-Valued Logic, Warsaw, Poland, 22–24 May 2001; IEEE: Warsaw, Poland, 2001; pp. 187–192. [Google Scholar]
- Li, Y.; Droste, M.; Lei, L. Model checking of linear-time properties in multi-valued systems. Inf. Sci. 2017, 377, 51–74. [Google Scholar] [CrossRef]
- Chechik, M.; Gurfinkel, A.; Devereux, B.; Lai, A.; Easterbrook, S. Data structures for symbolic multi-valued model-checking. Form. Methods Syst. Des. 2006, 29, 295–344. [Google Scholar] [CrossRef]
- Li, Y.; Li, L. Model checking of linear-time properties based on possibility measure. IEEE Trans. Fuzzy Syst. 2013, 21, 842–854. [Google Scholar] [CrossRef]
- Li, Y.; Li, Y.; Ma, Z. Computation tree logic model checking based on possibility measures. Fuzzy Sets Syst. 2015, 262, 44–59. [Google Scholar] [CrossRef] [Green Version]
- Li, Y.; Ma, Z. Quantitative computation tree logic model checking based on generalized possibility measures. IEEE Trans. Fuzzy Syst. 2015, 23, 2034–2047. [Google Scholar] [CrossRef]
- Zhang, S.; Li, Y. Expressive power of linear-temporal logic based on generalized possibility measures. In Proceedings of the 2016 IEEE International Conference on Fuzzy Systems (FUZZ-IEEE), Vancouver, BC, Canada, 24–29 July 2016; pp. 431–436. [Google Scholar]
- Subhankar Mukherjee, P.D. A fuzzy real-time temporal logic. Int. J. Approx. Reason. 2013, 54, 1452–1470. [Google Scholar] [CrossRef]
- Yang, C.; Li, Y. ϵ-bisimulation relations for fuzzy automata. IEEE Trans. Fuzzy Syst. 2018, 26, 2017–2029. [Google Scholar] [CrossRef]
- Pan, H.; Li, Y.; Cao, Y.; Ma, Z. Model checking fuzzy computation tree logic. Fuzzy Sets Syst. 2015, 262, 60–77. [Google Scholar] [CrossRef]
- Zadeh, L. Fuzzy sets. Inf. Cont. 1965, 8, 338–353. [Google Scholar] [CrossRef]
- Zimmermann, H.-J. Fuzzy Set Theory and Its Applications; Springer: Dordrecht, The Netherlands, 2001. [Google Scholar]
- Frigeri, A.; Pasquale, L.; Spoletini, P. Fuzzy time in linear temporal logic. ACM Trans. Comput. Log. 2014, 15, 1–22. [Google Scholar] [CrossRef]
- Garmendia Salvador, L.; González del Campo, R.; López, V.; Recasens Ferrés, J. An algorithm to compute the transitive closure, a transitive approximation and a transitive opening of a proximity. Mathw. Soft Comput. 2009, 16, 175–191. [Google Scholar]
- Zhang, P.; Jiang, J.; Ma, Z.; Zhu, H. Quantitative μ-calculus model checking algorithm based on generalized possibility measures. In Proceedings of the 2019 IEEE Intl Conference on Dependable, Autonomic and Secure Computing, International Conference on Pervasive Intelligence and Computing, International Conference on Cloud and Big Data Computing, International Conference on Cyber Science and Technology Congress (DASC/PiCom/CBDCom/CyberSciTech), Fukuoka, Japan, 5–8 August 2019; IEEE: Piscataway, NJ, USA, 2019; pp. 449–453. [Google Scholar] [CrossRef]
- Choi, J.; Lee, K.Y. Fuzzy Decision Making for TEP; Wiley-IEEE Press: Piscataway, NJ, USA, 2022; pp. 375–399. [Google Scholar]
- Li, Y.; Wei, J. Possibilistic fuzzy linear temporal logic and its model checking. IEEE Trans. Fuzzy Syst. 2021, 29, 1899–1913. [Google Scholar] [CrossRef]
- Yang, W.; Jhang, S.; Shi, S.E.A. A novel additive consistency for intuitionistic fuzzy preference relations in group decision making. Appl. Intell. 2020, 50, 4342–4356. [Google Scholar] [CrossRef]
- Xue, Y.; Deng, Y. Decision making under measure-based granular uncertainty with intuitionistic fuzzy sets. Appl. Intell. 2021, 51, 6224–6233. [Google Scholar] [CrossRef] [PubMed]
- Li, Y.M. Analysis of Fuzzy Systems; Science Press: Beijing, China, 2005. (In Chinese) [Google Scholar]
- Zhang, Y.; Tang, J.; Meng, F. Programming model-based method for ranking objects from group decision making with interval-valued hesitant fuzzy preference relations. Appl. Intell. 2019, 49, 837–857. [Google Scholar] [CrossRef]













| Publisher’s Note: MDPI stays neutral with regard to jurisdictional claims in published maps and institutional affiliations. | 
© 2022 by the authors. Licensee MDPI, Basel, Switzerland. This article is an open access article distributed under the terms and conditions of the Creative Commons Attribution (CC BY) license (https://creativecommons.org/licenses/by/4.0/).
Share and Cite
Ma, Z.; Li, Z.; Li, W.; Gao, Y.; Li, X. Model Checking Fuzzy Computation Tree Logic Based on Fuzzy Decision Processes with Cost. Entropy 2022, 24, 1183. https://doi.org/10.3390/e24091183
Ma Z, Li Z, Li W, Gao Y, Li X. Model Checking Fuzzy Computation Tree Logic Based on Fuzzy Decision Processes with Cost. Entropy. 2022; 24(9):1183. https://doi.org/10.3390/e24091183
Chicago/Turabian StyleMa, Zhanyou, Zhaokai Li, Weijun Li, Yingnan Gao, and Xia Li. 2022. "Model Checking Fuzzy Computation Tree Logic Based on Fuzzy Decision Processes with Cost" Entropy 24, no. 9: 1183. https://doi.org/10.3390/e24091183
APA StyleMa, Z., Li, Z., Li, W., Gao, Y., & Li, X. (2022). Model Checking Fuzzy Computation Tree Logic Based on Fuzzy Decision Processes with Cost. Entropy, 24(9), 1183. https://doi.org/10.3390/e24091183
 
        


