A Local Optima Network View of Real Function Fitness Landscapes
Abstract
:1. Introduction
2. Search Spaces and Local Optima Networks
2.1. Local Optima Networks in Discrete Spaces
2.2. LON Methodology for Real Function Optimization
| Algorithm 1 Basin Hopping |
generate initial solution minimize while termination condition not met do perturb (x) minimize acceptance (x, z) end while return
|
| Algorithm 2 Basin Hopping Sampling |
Require:, , strength p, number of sample points q 1: //vertices and edges sets 2: for each sampling point s in do 3: minimize 4: 5: while termination condition not met do 6: perturb () 7: minimize 8: if then 9: 10: 11: 12: else 13: if then 14: 15: else 16: 17: end if 18: end if 19: 20: end while 21: end for 22: |
3. LONS of Some Common Test Functions
3.1. Algorithm Performance and Problem Hardness
3.2. Local Optima Networks Statistics
4. Results and Discussion
4.1. Strength
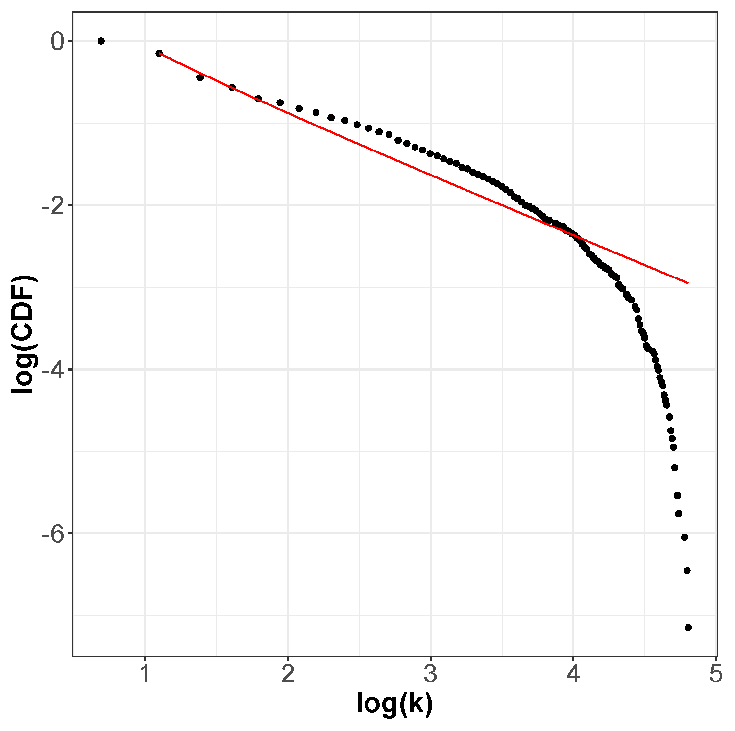
4.2. Degree Distribution Functions
4.3. Paths and Distances
4.4. PageRank Centrality
4.5. Funnels and Function Difficulty
4.6. Scaling to Higher Dimension
| Algorithm 3 Multistart Minima Sampling |
Require:, bounding box , number of starting points q create empty list of minima M for to q do generate a random solution in B minimize (f(s)) if and m not out of bounds B then add m and to M end if end for return
M |
5. Conclusions
Funding
Institutional Review Board Statement
Informed Consent Statement
Data Availability Statement
Acknowledgments
Conflicts of Interest
References
- Liberti, L. Introduction to Global Optimization; LIX, Ecole Polytechnique: Palaiseau, France, 2008. [Google Scholar]
- Talbi, E.G. Metaheuristics: From Design to Implementation; John Wiley & Sons: Hoboken, NJ, USA, 2009. [Google Scholar]
- Richter, H.; Engelbrecht, A. (Eds.) Recent Advances in the Theory and Application of Fitness Landscapes; Springer: Berlin/Heidelberg, Germany, 2014. [Google Scholar]
- Tomassini, M.; Verel, S.; Ochoa, G. Complex-network analysis of combinatorial spaces: The NK landscape case. Phys. Rev. E 2008, 78, 066114. [Google Scholar] [CrossRef] [Green Version]
- Verel, S.; Ochoa, G.; Tomassini, M. Local optima networks of NK landscapes with neutrality. IEEE Trans. Evol. Comput. 2011, 15, 783–797. [Google Scholar] [CrossRef] [Green Version]
- Daolio, F.; Tomassini, M.; Vérel, S.; Ochoa, G. Communities of minima in local optima networks of combinatorial spaces. Phys. A Stat. Mech. Its Appl. 2011, 390, 1684–1694. [Google Scholar] [CrossRef] [Green Version]
- Hernando, L.; Daolio, F.; Veerapen, N.; Ochoa, G. Local optima networks of the permutation flowshop scheduling problem: Makespan vs. total flow time. In Proceedings of the 2017 IEEE Congress on Evolutionary Computation (CEC), Donostia, Spain, 5–8 June 2017; pp. 1964–1971. [Google Scholar]
- Tomassini, M. Complex networks analysis of the energy landscape of the low autocorrelation binary sequences problem. Phys. A Stat. Mech. Its Appl. 2021, 577, 126089. [Google Scholar] [CrossRef]
- Verel, S.; Liefooghe, A.; Jourdan, L.; Clarisse, C. On the structure of multiobjective combinatorial search space: Mnk-landscapes with correlated objectives. Eur. J. Oper. Res. 2013, 227, 331–342. [Google Scholar] [CrossRef]
- Wales, D. Energy Landscapes: Applications to Clusters, Biomolecules and Glasses; Cambridge University Press: Cambridge, UK, 2003. [Google Scholar]
- Kucharik, M.; Hofacker, I.L.; Stadler, P.F.; Qin, J. Basin hopping graph: A computational framework to characterize RNA folding landscapes. Bioinformatics 2014, 30, 2009–2017. [Google Scholar] [CrossRef] [PubMed] [Green Version]
- Vinkó, T.; Gelle, K. Basin hopping networks of continuous global optimization problems. Cent. Eur. J. Oper. Res. 2017, 25, 985–1006. [Google Scholar] [CrossRef]
- Contreras-Cruz, M.A.; Ochoa, G.; Ramirez-Paredes, J.P. Synthetic vs. real-world continuous landscapes: A local optima networks view. In Lecture Notes in Computer Science, Proceedings of the International Conference on Bioinspired Methods and Their Applications, Brussels, Belgium, 19–20 November 2016; Springer: Cham, Switzerland, 2020; pp. 3–16. [Google Scholar]
- Reidys, C.M.; Stadler, P.F. Combinatorial landscapes. SIAM Rev. 2002, 44, 3–54. [Google Scholar] [CrossRef]
- Thomson, S.L.; Ochoa, G.; Verel, S. Clarifying the difference in local optima network sampling algorithms. In Lecture Notes in Computer Science, Proceedings of the European Conference on Evolutionary Computation in Combinatorial Optimization (Part of EvoStar), Leipzig, Germany, 24–26 April 2019; Springer: Cham, Switzerland, 2019; pp. 163–178. [Google Scholar]
- Locatelli, M. On the multilevel structure of global optimization problems. Comput. Optim. Appl. 2005, 30, 5–22. [Google Scholar] [CrossRef]
- Wales, D.J.; Scheraga, H.A. Global optimization of clusters, crystals, and biomolecules. Science 1999, 285, 1368–1372. [Google Scholar] [CrossRef] [PubMed] [Green Version]
- Press, W.H.; Teukolsky, S.A.; Vetterling, W.T.; Flannery, B.P. Numerical Recipes 3rd Edition: The Art of Scientific Computing; Cambridge University Press: Cambridge, UK, 2007. [Google Scholar]
- Bartz-Beielstein, T.; Doerr, C.; Berg, D.; Bossek, J.; Chandrasekaran, S.; Eftimov, T.; Fischbach, A.; Kerschke, P.; Cava, W.L.; Lopez-Ibanez, M.; et al. Benchmarking in optimization: Best practice and open issues. arXiv 2020, arXiv:2007.03488. [Google Scholar]
- Storn, R.; Price, K. Differential evolution–a simple and efficient heuristic for global optimization over continuous spaces. J. Glob. Optim. 1997, 11, 341–359. [Google Scholar] [CrossRef]
- Locatelli, M. A note on the griewank test function. J. Glob. Optim. 2003, 25, 169–174. [Google Scholar] [CrossRef]
- Broyden, C.G. Quasi-newton methods and their application to function minimisation. Math. Comput. 1967, 21, 368–381. [Google Scholar] [CrossRef]
- Newman, M. Networks; Oxford University Press: Oxford, UK, 2018. [Google Scholar]
- Albert, R.; Jeong, H.; Barabási, A.-L. Error and attack tolerance of complex networks. Nature 2000, 406, 378–382. [Google Scholar] [CrossRef] [PubMed] [Green Version]
- Brin, S.; Page, L. The anatomy of a large-scale hypertextual web search engine. Comput. Netw. Isdn Syst. 1998, 30, 107–117. [Google Scholar] [CrossRef]
- Leopold, P.E.; Montal, M.; Onuchic, J. Protein folding funnels: A kinetic approach to the sequence-structure relationship. Proc. Natl. Acad. Sci. USA 1992, 89, 8721–8725. [Google Scholar] [CrossRef] [Green Version]
- Ochoa, G.; Veerapen, N. Mapping the global structure of TSP fitness landscapes. J. Heuristics 2018, 24, 265–294. [Google Scholar] [CrossRef] [Green Version]
- Hansen, N.; Auger, A.; Ros, R.; Mersmann, O.; Tušar, T.; Brockhoff, D. Coco: A platform for comparing continuous optimizers in a black-box setting. Optim. Methods Softw. 2021, 36, 114–144. [Google Scholar] [CrossRef]
- Homolya, V.; Vinkó, T. Leveraging local optima network properties for memetic differential evolution. In Advances in Intelligent Systems and Computing, Proceedings of the World Congress on Global Optimization, Metz, France, 8–10 July 2019; Springer: Cham, Switzerland, 2019; pp. 109–118. [Google Scholar]
- Ballard, A.J.; Das, R.; Martiniani, S.; Mehta, D.; Sagun, L.; Stevenson, J.D.; Wales, D.J. Energy landscapes for machine learning. Phys. Chem. Chem. Phys. 2017, 19, 12585–12603. [Google Scholar] [CrossRef] [Green Version]















| Success Rates | ||
|---|---|---|
| DE | BH | |
| Griewank | ||
| Rastrigin | ||
| Success Rates | ||||
|---|---|---|---|---|
| n = 5 | n = 10 | |||
| DE | BH | DE | BH | |
| Griewank | 0.157 (25,496) | 0.080 (18,575) | 0.016 (96,573) | 0.926 (75,314) |
| Rastrigin | 0.818 (14,754) | 0.352 (14,945) | 0.496 (105,202) | 0.165 (107,571) |
| Diameter | Av. Shortest Path | Av. Path to GO | |
|---|---|---|---|
| Griewank | |||
| Rastrigin |
| Success Rates | |||
|---|---|---|---|
| Schwefel | n = 2 | n = 5 | n = 10 |
| 0.910 (1115) | 0.866 (6265) | 0.675 (26,992) | |
| Number of Local Minima | |||
|---|---|---|---|
| n = 2 | n = 5 | n = 10 | |
| Schwefel | ∼50 | ∼11,000 | >85,000 |
| Rastrigin | ∼3600 | >100,000 | >100,000 |
| Griewank | ∼528 | >95,000 | >6000 |
Publisher’s Note: MDPI stays neutral with regard to jurisdictional claims in published maps and institutional affiliations. |
© 2022 by the author. Licensee MDPI, Basel, Switzerland. This article is an open access article distributed under the terms and conditions of the Creative Commons Attribution (CC BY) license (https://creativecommons.org/licenses/by/4.0/).
Share and Cite
Tomassini, M. A Local Optima Network View of Real Function Fitness Landscapes. Entropy 2022, 24, 703. https://doi.org/10.3390/e24050703
Tomassini M. A Local Optima Network View of Real Function Fitness Landscapes. Entropy. 2022; 24(5):703. https://doi.org/10.3390/e24050703
Chicago/Turabian StyleTomassini, Marco. 2022. "A Local Optima Network View of Real Function Fitness Landscapes" Entropy 24, no. 5: 703. https://doi.org/10.3390/e24050703
APA StyleTomassini, M. (2022). A Local Optima Network View of Real Function Fitness Landscapes. Entropy, 24(5), 703. https://doi.org/10.3390/e24050703