Quantum Non-Markovian Environment-to-System Backflows of Information: Nonoperational vs. Operational Approaches
Abstract
1. Introduction
2. Quantum Non-Markovianity
2.1. Nonoperational Approach
2.2. Operational Approach
2.3. Bipartite Propagator vs. Single Propagator
3. Comparing Both Approaches
3.1. Born–Markov Approximation
3.2. Casual Bystander Environments
3.2.1. Classical Mixture of Quantum Markovian Dynamics
3.2.2. Interaction with Stochastic Classical Degrees of Freedom
3.2.3. Environmental Quantum Degrees of Freedom
3.3. Unitary System–Environment Interactions
4. Example
4.1. Depolarizing Dynamics
4.2. Operational vs. Nonoperational Quantum Non-Markovianity
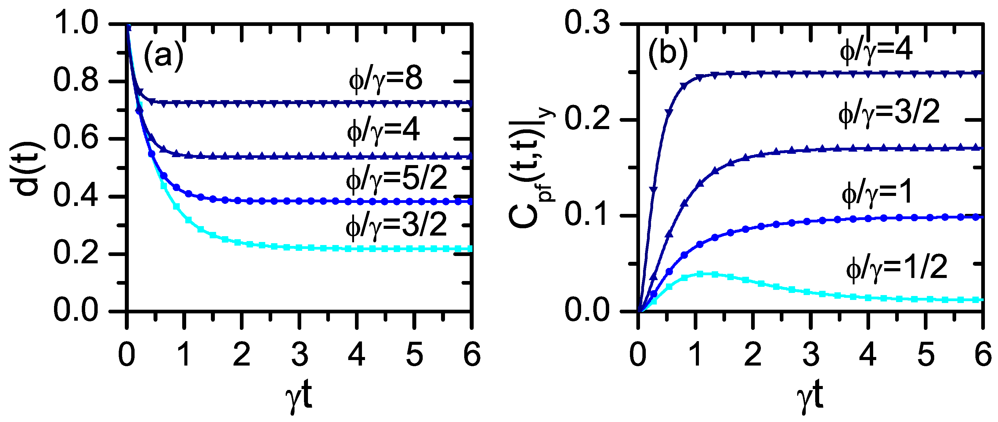
4.3. Environment-to-System Backflow of Information
4.3.1. Slow Modulation of the Stationary Environment State
4.3.2. Quantum Coherent Contributions in the Environment Dynamics
5. Summary and Conclusions
Funding
Institutional Review Board Statement
Informed Consent Statement
Data Availability Statement
Acknowledgments
Conflicts of Interest
References and Notes
- van Kampen, N.G. Stochastic Processes in Physics and Chemistry; North-Holland: Amsterdam, The Netherlands, 1992. [Google Scholar]
- Breuer, H.P.; Petruccione, F. The Theory of Open Quantum Systems; Oxford University Press: Oxford, UK, 2002. [Google Scholar]
- de Vega, I.; Alonso, D. Dynamics of non-Markovian open quantum systems. Rev. Mod. Phys. 2017, 89, 015001. [Google Scholar] [CrossRef]
- Li, L.; Hall, M.J.W.; Wiseman, H.M. Concepts of quantum non-Markovianity: A hierarchy. Phys. Rep. 2018, 759, 1–51. [Google Scholar] [CrossRef]
- Breuer, H.P.; Laine, E.M.; Piilo, J.; Vacchini, V. Colloquium: Non-Markovian dynamics in open quantum systems. Rev. Mod. Phys. 2016, 88, 021002. [Google Scholar] [CrossRef]
- Breuer, H.P. Foundations and measures of quantum non-Markovianity. J. Phys. B 2012, 45, 154001. [Google Scholar] [CrossRef]
- Rivas, A.; Huelga, S.F.; Plenio, M.B. Quantum non-Markovianity: Characterization, quantification and detection. Rep. Prog. Phys. 2014, 77, 094001. [Google Scholar] [CrossRef]
- Wolf, M.M.; Eisert, J.; Cubitt, T.S.; Cirac, J.I. Assessing Non-Markovian Quantum Dynamics. Phys. Rev. Lett. 2008, 101, 150402. [Google Scholar] [CrossRef]
- Rivas, A.; Huelga, S.F.; Plenio, M.B. Entanglement and Non-Markovianity of Quantum Evolutions. Phys. Rev. Lett. 2010, 105, 050403. [Google Scholar] [CrossRef]
- Breuer, H.P.; Laine, E.M.; Piilo, J. Measure for the Degree of Non-Markovian Behavior of Quantum Processes in Open Systems. Phys. Rev. Lett. 2009, 103, 210401. [Google Scholar] [CrossRef]
- Laine, E.M.; Piilo, J.; Breuer, H. Measure for the non-Markovianity of quantum processes. Phys. Rev. A 2010, 81, 062115. [Google Scholar] [CrossRef]
- Guarnieri, G.; Uchiyama, C.; Vacchini, B. Energy backflow and non-Markovian dynamics. Phys. Rev. A 2016, 93, 012118. [Google Scholar] [CrossRef]
- Guarnieri, G.; Nokkala, J.; Schmidt, R.; Maniscalco, S.; Vacchini, B. Energy backflow in strongly coupled non-Markovian continuous-variable systems. Phys. Rev. A 2016, 94, 062101. [Google Scholar] [CrossRef]
- Schmidt, R.; Maniscalco, S.; Ala-Nissila, T. Heat flux and information backflow in cold environments. Phys. Rev. A 2016, 94, 010101. [Google Scholar] [CrossRef]
- Megier, N.; Chruściński, D.; Piilo, J.; Strunz, W.T. Eternal non-Markovianity: From random unitary to Markov chain realisations. Sci. Rep. 2017, 7, 6379. [Google Scholar] [CrossRef] [PubMed]
- Budini, A.A. Maximally non-Markovian quantum dynamics without environment-to-system backflow of information. Phys. Rev. A 2018, 97, 052133. [Google Scholar] [CrossRef]
- Wudarski, F.A.; Petruccione, F. Exchange of information between system and environment: Facts and myths. Euro Phys. Lett. 2016, 113, 50001. [Google Scholar] [CrossRef][Green Version]
- Breuer, H.P.; Amato, G.; Vacchini, B. Mixing-induced quantum non-Markovianity and information flow. New J. Phys. 2018, 20, 043007. [Google Scholar] [CrossRef]
- De Santis, D.; Johansson, M. Equivalence between non-Markovian dynamics and correlation backflows. New J. Phys. 2020, 22, 093034. [Google Scholar] [CrossRef]
- De Santis, D.; Johansson, M.; Bylicka, B.; Bernardes, N.K.; Acín, A. Witnessing non-Markovian dynamics through correlations. Phys. Rev. A 2020, 102, 012214. [Google Scholar] [CrossRef]
- Banacki, M.; Marciniak, M.; Horodecki, K.; Horodecki, P. Information backflow may not indicate quantum memory. arXiv 2008, arXiv:2008.12638. [Google Scholar]
- Megier, N.; Smirne, A.; Vacchini, B. Entropic Bounds on Information Backflow. Phys. Rev. Lett. 2021, 127, 030401. [Google Scholar] [CrossRef]
- Campbell, S.; Popovic, M.; Tamascelli, D.; Vacchini, B. Precursors of non-Markovianity. New J. Phys. 2019, 21, 053036. [Google Scholar] [CrossRef]
- Pollock, F.A.; Rodríguez-Rosario, C.; Frauenheim, T.; Paternostro, M.; Modi, K. Operational Markov Condition for Quantum Processes. Phys. Rev. Lett. 2018, 120, 040405. [Google Scholar] [CrossRef] [PubMed]
- Pollock, F.A.; Rodríguez-Rosario, C.; Frauenheim, T.; Paternostro, M.; Modi, K. Non-Markovian quantum processes: Complete framework and efficient characterization. Phys. Rev. A 2018, 97, 012127. [Google Scholar] [CrossRef]
- Budini, A.A. Quantum Non-Markovian Processes Break Conditional Past-Future Independence. Phys. Rev. Lett. 2018, 121, 240401. [Google Scholar] [CrossRef] [PubMed]
- Budini, A.A. Conditional past-future correlation induced by non-Markovian dephasing reservoirs. Phys. Rev. A 2019, 99, 052125. [Google Scholar] [CrossRef]
- Taranto, P.; Pollock, F.A.; Milz, S.; Tomamichel, M.; Modi, K. Quantum Markov Order. Phys. Rev. Lett. 2019, 122, 140401. [Google Scholar] [CrossRef]
- Taranto, P.; Milz, S.; Pollock, F.A.; Modi, K. Structure of quantum stochastic processes with finite Markov order. Phys. Rev. A 2019, 99, 042108. [Google Scholar] [CrossRef]
- Jørgensen, M.R.; Pollock, F.A. Exploiting the Causal Tensor Network Structure of Quantum Processes to Efficiently Simulate Non-Markovian Path Integrals. Phys. Rev. Lett. 2019, 123, 240602. [Google Scholar] [CrossRef]
- Bonifacio, M.; Budini, A.A. Perturbation theory for operational quantum non-Markovianity. Phys. Rev. A 2020, 102, 022216. [Google Scholar] [CrossRef]
- Han, L.; Zou, J.; Li, H.; Shao, B. Non-Markovianity of A Central Spin Interacting with a Lipkin–Meshkov–Glick Bath via a Conditional Past–Future Correlation. Entropy 2020, 22, 895. [Google Scholar] [CrossRef]
- Ban, M. Operational non-Markovianity in a statistical mixture of two environments. Phys. Lett. A 2021, 397, 127246. [Google Scholar] [CrossRef]
- de Lima Silva, T.; Walborn, S.P.; Santos, M.F.; Aguilar, G.H.; Budini, A.A. Detection of quantum non-Markovianity close to the Born-Markov approximation. Phys. Rev. A 2020, 101, 042120. [Google Scholar] [CrossRef]
- Hsieh, Y.-Y.; Su, Z.-Y.; Goan, H.-S. Non-Markovianity, information backflow, and system–environment correlation for open-quantum-system processes. Phys. Rev. A 2019, 100, 012120. [Google Scholar] [CrossRef]
- Budini, A.A. Detection of bidirectional system–environment information exchanges. Phys. Rev. A 2021, 103, 012221. [Google Scholar] [CrossRef]
- Budini, A.A. Quantum non-Markovian “casual bystander” environments. Phys. Rev. A 2021, 104, 062216. [Google Scholar] [CrossRef]
- Alicki, R.; Lendi, K. Quantum Dynamical Semigroups and Applications; Springer: Berlin/Heidelberg, Germany, 2007. [Google Scholar]
- Nielsen, M.A.; Chuang, I.L. Quantum Computation and Quantum Information; Cambridge University Press: Cambridge, UK, 2000. [Google Scholar]
- Chruscinski, D.; Wudarski, F.A. Non-Markovian random unitary qubit dynamics. Phys. Lett. A 2013, 377, 1425. [Google Scholar] [CrossRef]
- Non-Markovianity degree for random unitary evolution. Phys. Rev. A 2015, 91, 012104. [CrossRef]
- Wudarski, F.A.; Nalezyty, P.; Sarbicki, G.; Chruscinski, D. Admissible memory kernels for random unitary qubit evolution. Phys. Rev. A 2015, 91, 042105. [Google Scholar] [CrossRef]
- Wudarski, F.A.; Chruscinski, D. Markovian semigroup from non-Markovian evolutions. Phys. Rev. A 2016, 93, 042120. [Google Scholar] [CrossRef]
- Siudzinska, K.; Chruscinski, D. Memory kernel approach to generalized Pauli channels: Markovian, semi-Markov, and beyond. Phys. Rev. A 2017, 96, 022129. [Google Scholar] [CrossRef]
- Sutherland, C.; Brun, T.A.; Lidar, D.A. Non-Markovianity of the post-Markovian master equation. Phys. Rev. A 2018, 98, 042119. [Google Scholar] [CrossRef]
- Shabani, A.; Lidar, D.A. Completely positive post-Markovian master equation via a measurement approach. Phys. Rev. A 2005, 71, 020101. [Google Scholar] [CrossRef]
- Budini, A.A. Post-Markovian quantum master equations from classical environment fluctuations. Phys. Rev. E 2014, 89, 012147. [Google Scholar] [CrossRef]
- Vacchini, B. Non-Markovian master equations from piecewise dynamics. Phys. Rev. A 2013, 87, 030101. [Google Scholar] [CrossRef]
- Budini, A.A. Embedding non-Markovian quantum collisional models into bipartite Markovian dynamics. Phys. Rev. A 2013, 88, 032115. [Google Scholar] [CrossRef]
- Budini, A.A.; Grigolini, P. Non-Markovian nonstationary completely positive open-quantum-system dynamics. Phys. Rev. A 2009, 80, 022103. [Google Scholar] [CrossRef]
- Horodecki, R.; Horodecki, P.; Horodecki, M.; Horodecki, K. Quantum entanglement. Rev. Mod. Phys. 2009, 81, 865. [Google Scholar] [CrossRef]
- Roszak, K.; Cywiński, Ł. Characterization and measurement of qubit-environment-entanglement generation during pure dephasing. Phys. Rev. A 2015, 92, 032310. [Google Scholar] [CrossRef]
- Roszak, K.; Cywiński, Ł. Equivalence of qubit-environment entanglement and discord generation via pure dephasing interactions and the resulting consequences. Phys. Rev. A 2018, 97, 012306. [Google Scholar] [CrossRef]
- Roszak, K. Criteria for system–environment entanglement generation for systems of any size in pure-dephasing evolutions. Phys. Rev. A 2018, 98, 052344. [Google Scholar] [CrossRef]
- Chen, H.-B.; Gneiting, C.; Lo, P.-Y.; Chen, Y.-N.; Nori, F. Simulating Open Quantum Systems with Hamiltonian Ensembles and the Nonclassicality of the Dynamics. Phys. Rev. Lett. 2018, 120, 030403. [Google Scholar] [CrossRef] [PubMed]
- Budini, A.A.; Garrahan, J.P. Solvable class of non-Markovian quantum multipartite dynamics. Phys. Rev. A 2021, 104, 032206. [Google Scholar] [CrossRef]
- Schuler, S.; Speck, T.; Tietz, C.; Wrachtrup, J.; Seifert, U. Experimental Test of the Fluctuation Theorem for a Driven Two-Level System with Time-Dependent Rates. Phys. Rev. Lett. 2005, 94, 180602. [Google Scholar] [CrossRef] [PubMed]
- In the Laplace domain, , it reads , where and .

Publisher’s Note: MDPI stays neutral with regard to jurisdictional claims in published maps and institutional affiliations. |
© 2022 by the author. Licensee MDPI, Basel, Switzerland. This article is an open access article distributed under the terms and conditions of the Creative Commons Attribution (CC BY) license (https://creativecommons.org/licenses/by/4.0/).
Share and Cite
Budini, A.A. Quantum Non-Markovian Environment-to-System Backflows of Information: Nonoperational vs. Operational Approaches. Entropy 2022, 24, 649. https://doi.org/10.3390/e24050649
Budini AA. Quantum Non-Markovian Environment-to-System Backflows of Information: Nonoperational vs. Operational Approaches. Entropy. 2022; 24(5):649. https://doi.org/10.3390/e24050649
Chicago/Turabian StyleBudini, Adrián A. 2022. "Quantum Non-Markovian Environment-to-System Backflows of Information: Nonoperational vs. Operational Approaches" Entropy 24, no. 5: 649. https://doi.org/10.3390/e24050649
APA StyleBudini, A. A. (2022). Quantum Non-Markovian Environment-to-System Backflows of Information: Nonoperational vs. Operational Approaches. Entropy, 24(5), 649. https://doi.org/10.3390/e24050649
