A Finite Element Approximation for Nematic Liquid Crystal Flow with Stretching Effect Based on Nonincremental Pressure-Correction Method
Abstract
1. Introduction
2. Notations and Preliminaries
2.1. Notations
2.2. A Penalized Ericksen–Leslie Model with Stretching Effect
3. Hypotheses and the Fully Discrete Scheme
3.1. Hypotheses
- (H1)
- Let be a polygonal or polyhedral Lipschitz-continuous boundary.
- (H2)
- Let K represent any subregion after dividing into finite subregions, also called element domain. Additionally, its a bounded closed set with nonempty interior and piecewise smooth boundary. We use for all of K, so . In general, K is a triangle or quadrilateral in a two-dimensional space and a tetrahedron or hexahedron in a three-dimensional space.
- (H3)
- Assume that with a.e. in .
- (H4)
- Suppose that and are a conformed finite element space associated with .
- (H5)
- Let denote the set of linear polynomials on K. Under Hypotheses 4, the space of continuous, piecewise polynomial functions associated to are denoted as follows:and denote the space of piecewise constant function aswhere is the classical space.
- (H6)
- (a.) The approximation properties:(b.) The stability properties:where is an interpolation operator into , and and are constant independents of h.
3.2. The Fully Discrete Scheme
- (1)
- For all , find the numerical approximation satisfyingherein,and is a bound of the -norm of the Hessian matrix associated to . For instance,with M being the space dimension ([6]).
- (2)
- By using the nonincremental pressure-correction method for all , find satisfyingWe set the trilinear convective termhas skew-symmetry, so .
- (3)
- For all , find satisfying
4. Energy Estimate
5. Numerical Experiments
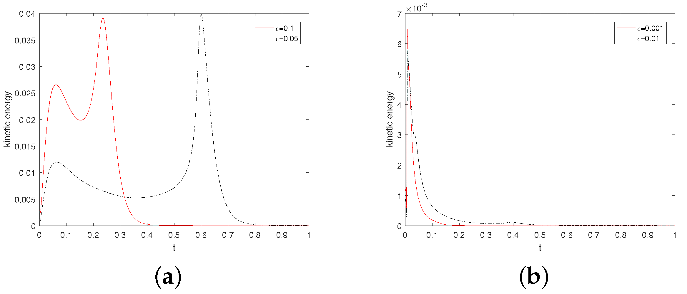
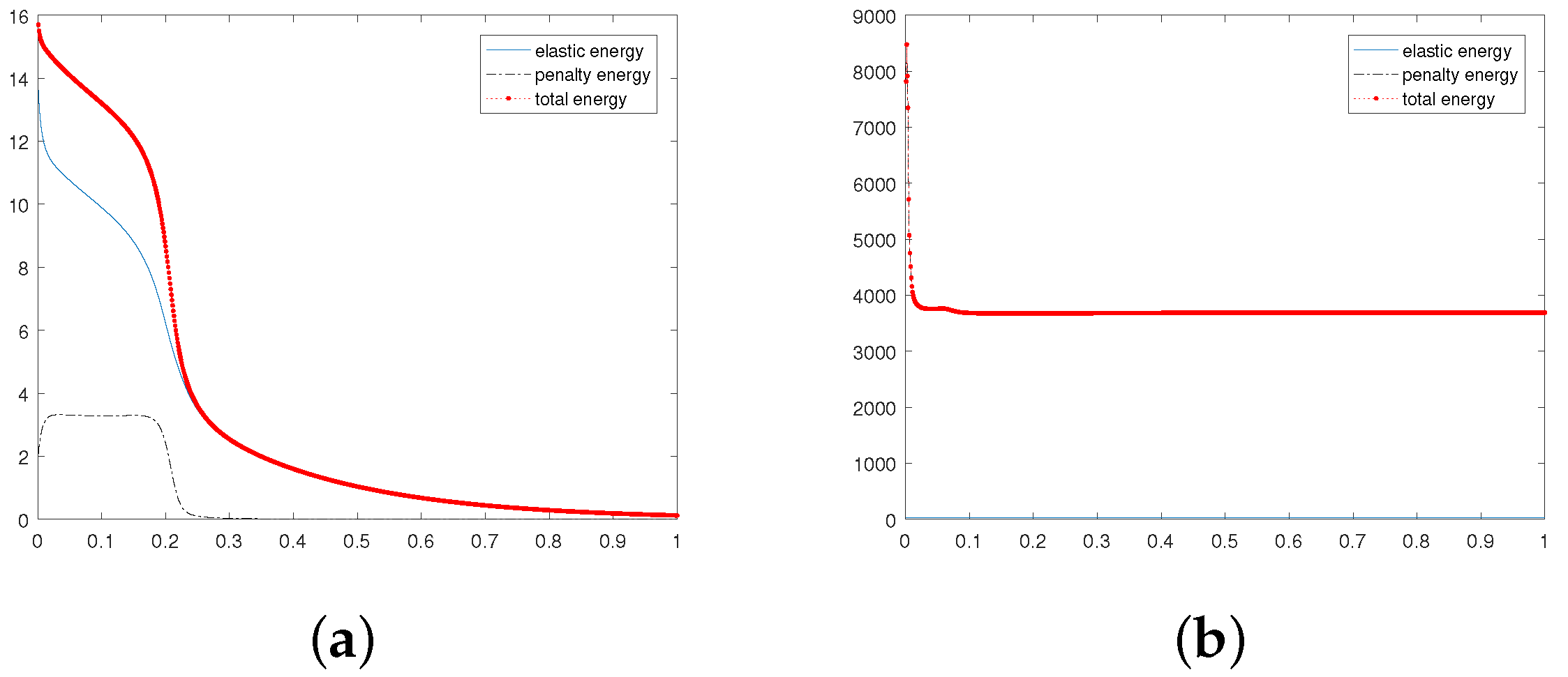
5.1. Annihilation of Singularities
5.2. The Behavior under Rotating Flow
5.3. Convergence Rate
6. Conclusions
Author Contributions
Funding
Institutional Review Board Statement
Data Availability Statement
Acknowledgments
Conflicts of Interest
References
- Ericksen, J.L. Conservation Laws for Liquid Crystals. J. Rheol. 1961, 5, 23. [Google Scholar] [CrossRef]
- Leslie, F.M. Theory of Flow Phenomena in Liquid Crystals. Adv. Liq. Cryst. 1979, 4, 1–81. [Google Scholar]
- Lin, F. Nonlinear theory of defects in nematic liquid crystals; Phase transition and flow phenomena. Commun. Pure Appl. Math. 1989, 42, 789–814. [Google Scholar] [CrossRef]
- Lin, F.; Liu, C. Nonparabolic dissipative systems modeling the flow of liquid crystals. Commun. Pure Appl. Math. 1995, 48, 501–537. [Google Scholar] [CrossRef]
- Guillén-González, F.M.; Gutiérrez-Santacreu, J.V. A linear mixed finite element scheme for a nematic Ericksen–Leslie liquid crystal model. Esaim Math. Model. Numer. Anal. 2013, 47, 1433–1464. [Google Scholar] [CrossRef]
- Cabrales, R.C.; Guillén-González, F.; Gutiérrez-Santacreu, J.V. A time-splitting finite-element approximation for the Ericksen-Leslie equations. Siam J. Sci. Comput. 2015, 37, B261–B282. [Google Scholar] [CrossRef]
- Guermond, J.L.; Quartapelle, L. On stability and convergence of projection methods based on pressure Poisson equation. Int. J. Numer. Methods Fluids 1998, 26, 1039–1053. [Google Scholar] [CrossRef]
- Guermond, J.L.; Minev, P.; Shen, J. An overview of projection methods for incompressible flows. Comput. Methods Appl. Mech. Eng. 2006, 195, 6011–6045. [Google Scholar] [CrossRef]
- Burman, E.; Fernández, M.A. Galerkin finite element methods with symmetric pressure stabilization for the transient Stokes’ equations: Stability and convergence analysis. Siam J. Numer. Anal. 2008, 47, 409–439. [Google Scholar] [CrossRef]
- Lin, P.; Liu, C.; Zhang, H. An energy law preserving C0 finite element scheme for simulating the kinematic effects in liquid crystal dynamics. J. Comput. Phys. 2007, 227, 1411–1427. [Google Scholar] [CrossRef]
- Cabrales, R.C.; Guillén-González, F.; Gutiérrez-Santacreu, J.V. A projection-based time-splitting algorithm for approximating nematic liquid crystal flows with stretching. Zamm-J. Appl. Math. Mech. 2017, 97, 1204–1219. [Google Scholar] [CrossRef]
- Du, Q.; Guo, B.; Shen, J. Fourier spectral approximation to a dissipative system modeling the flow of liquid crystals. Siam J. Numer. Anal. 2002, 39, 735–762. [Google Scholar] [CrossRef]
- Becker, R.; Feng, X.; Prohl, A. Finite Element Approximations of the Ericksen-Leslie Model for Nematic Liquid Crystal Flow. Siam J. Numer. Anal. 2008, 46, 1704–1731. [Google Scholar] [CrossRef]
- Gutiérrez-Santacreu, J.V.; Guillén-González, F. Mixed formulation, approximation and decoupling algorithm for a penalized nematic liquid crystals model. Math. Comput. 2010, 80, 781–819. [Google Scholar]
- Badia, S.; Guillén-González, F.; Gutiérrez-Santacreu, J.V. An Overview on Numerical Analyses of Nematic Liquid Crystal Flows. Arch. Comput. Methods Eng. 2011, 18, 285–313. [Google Scholar] [CrossRef]
- Badia, S.; Guillén-González, F.; Gutiérrez-Santacreu, J.V. Finite element approximation of nematic liquid crystal flows using a saddle-point structure. J. Comput. Phys. 2011, 230, 1686–1706. [Google Scholar] [CrossRef]
- Temam, R.; Chorin, A. Navier Stokes Equations: Theory and Numerical Analysis. J. Appl. Mech. 1984, 2, 456. [Google Scholar] [CrossRef]
- Jeffery, G.B. The Motion of Ellipsoidal Particles Immersed in a Viscous Fluid. Proc. R. Soc. Ser. A 1922, 102, 161–179. [Google Scholar]
- Liu, C.; Shen, J.; Yang, X. Dynamics of Defect Motion in Nematic Liquid Crystal Flow: Modeling and Numerical Simulation. Commun. Comput. Phys. 2007, 2, 1184–1198. [Google Scholar]
- Jia, H.; Li, K.; Liu, S. Characteristic stabilized finite element method for the transient Navier–Stokes equations. Comput. Methods Appl. Mech. Eng. 2010, 199, 2996–3004. [Google Scholar] [CrossRef]
- Hecht, F. New development in FreeFem++. J. Numer. Math. 2012, 20, 251–265. [Google Scholar] [CrossRef]
- Liu, C.; Walkington, N.J. Approximation of Liquid Crystal Flows. Siam J. Numer. Anal. 2000, 37, 725–741. [Google Scholar] [CrossRef]















| 0.001 | 0.01 | 0.1 | 1.0 | |||
|---|---|---|---|---|---|---|
| M | ||||||
| Yes | Yes | Yes | Yes | Stable | ||
| 0 | 0.233 | 0.231 | 0.225 | 0.262 | ||
| 2.2291 | 2.2578 | 1.2707 | 0.1317 | KE | ||
| Yes | Yes | Yes | Yes | Stable | ||
| 1 | 0.412 | 0.411 | 0.417 | 0.461 | ||
| 1.2721 | 1.2251 | 0.5878 | 0.0588 | KE | ||
| Yes | Yes | Yes | Yes | Stable | ||
| 2 | 0.543 | 0.543 | 0.554 | 0.600 | ||
| 0.9513 | 0.8981 | 0.4174 | 0.0398 | KE | ||
| Yes | Yes | Yes | Yes | Stable | ||
| 3 | 0.672 | 0.675 | 0.690 | 0.735 | ||
| 0.7409 | 0.7056 | 0.3237 | 0.0292 | KE |
| 0 | −0.5 | −1 | |||
|---|---|---|---|---|---|
| M | |||||
| Yes | Yes | Yes | Stable | ||
| 0 | 0.297 | 0.303 | 0.262 | ||
| 0.4925 | 0.1688 | 0.1317 | KE | ||
| Yes | Yes | Yes | Stable | ||
| 1 | 0.496 | 0.501 | 0.461 | ||
| 0.2830 | 0.0972 | 0.0588 | KE | ||
| Yes | Yes | Yes | Stable | ||
| 2 | 0.634 | 0.639 | 0.600 | ||
| 0.2123 | 0.0733 | 0.0398 | KE | ||
| Yes | Yes | Yes | Stable | ||
| 3 | 0.769 | 0.774 | 0.735 | ||
| 0.1693 | 0.0581 | 0.0292 | KE |
| 0.1 | 0.05 | 0.01 | 0.001 | |||
|---|---|---|---|---|---|---|
| M | ||||||
| Yes | Yes | No | No | Stable | ||
| 0 | 0.185 | 0.262 | ||||
| 0.0602 | 0.1317 | KE | ||||
| Yes | Yes | Yes | Yes | Stable | ||
| 1 | 0.215 | 0.461 | 0.006 (No annihilation) | 0.005 (No annihilation) | ||
| 0.0461 | 0.0588 | 0.0106 | 0.0128 | KE | ||
| Yes | Yes | Yes | Yes | Stable | ||
| 2 | 0.236 | 0.600 | 0.009 (No annihilation) | 0.007 (No annihilation) | ||
| 0.0391 | 0.0398 | 0.0058 | 0.0065 | KE | ||
| Yes | Yes | Yes | Yes | Stable | ||
| 3 | 0.256 | 0.735 | 0.011 (No annihilation) | 0.009 (No annihilation) | ||
| 0.0338 | 0.0292 | 0.0041 | 0.0045 | KE |
| 0.5909 | 0.7283 | 0.9144 | 0.8829 | 0.6967 | 0.8225 | |
| 0.7568 | 0.8183 | 1.0692 | 1.0160 | 0.8641 | 0.9055 | |
| 0.8676 | 0.8934 | 1.0949 | 1.0530 | 0.9255 | 0.9068 | |
| 0.9311 | 0.9424 | 1.0669 | 1.0382 | 0.9580 | 0.8849 |
| h | ||||||
|---|---|---|---|---|---|---|
| 2.0609 | 1.1252 | 2.0821 | 1.1781 | 2.0856 | 1.1528 | |
| 1.9523 | 1.1330 | 1.9598 | 1.1832 | 1.9829 | 1.1714 | |
| 2.0024 | 0.8941 | 1.9800 | 0.8912 | 1.9968 | 0.8992 | |
| 2.0277 | 1.0411 | 2.0701 | 1.0499 | 2.0311 | 1.0433 |
Publisher’s Note: MDPI stays neutral with regard to jurisdictional claims in published maps and institutional affiliations. |
© 2022 by the authors. Licensee MDPI, Basel, Switzerland. This article is an open access article distributed under the terms and conditions of the Creative Commons Attribution (CC BY) license (https://creativecommons.org/licenses/by/4.0/).
Share and Cite
Meng, Z.; Liu, M.; Jia, H. A Finite Element Approximation for Nematic Liquid Crystal Flow with Stretching Effect Based on Nonincremental Pressure-Correction Method. Entropy 2022, 24, 1844. https://doi.org/10.3390/e24121844
Meng Z, Liu M, Jia H. A Finite Element Approximation for Nematic Liquid Crystal Flow with Stretching Effect Based on Nonincremental Pressure-Correction Method. Entropy. 2022; 24(12):1844. https://doi.org/10.3390/e24121844
Chicago/Turabian StyleMeng, Zhaoxia, Meng Liu, and Hongen Jia. 2022. "A Finite Element Approximation for Nematic Liquid Crystal Flow with Stretching Effect Based on Nonincremental Pressure-Correction Method" Entropy 24, no. 12: 1844. https://doi.org/10.3390/e24121844
APA StyleMeng, Z., Liu, M., & Jia, H. (2022). A Finite Element Approximation for Nematic Liquid Crystal Flow with Stretching Effect Based on Nonincremental Pressure-Correction Method. Entropy, 24(12), 1844. https://doi.org/10.3390/e24121844
