Universal Behavior of the Coulomb-Coupled Fermionic Thermal Diode
Abstract
1. Introduction
2. Model and Dynamics
3. Evaluation of Steady State Heat Current
4. Microscopic Description of Heat Flow


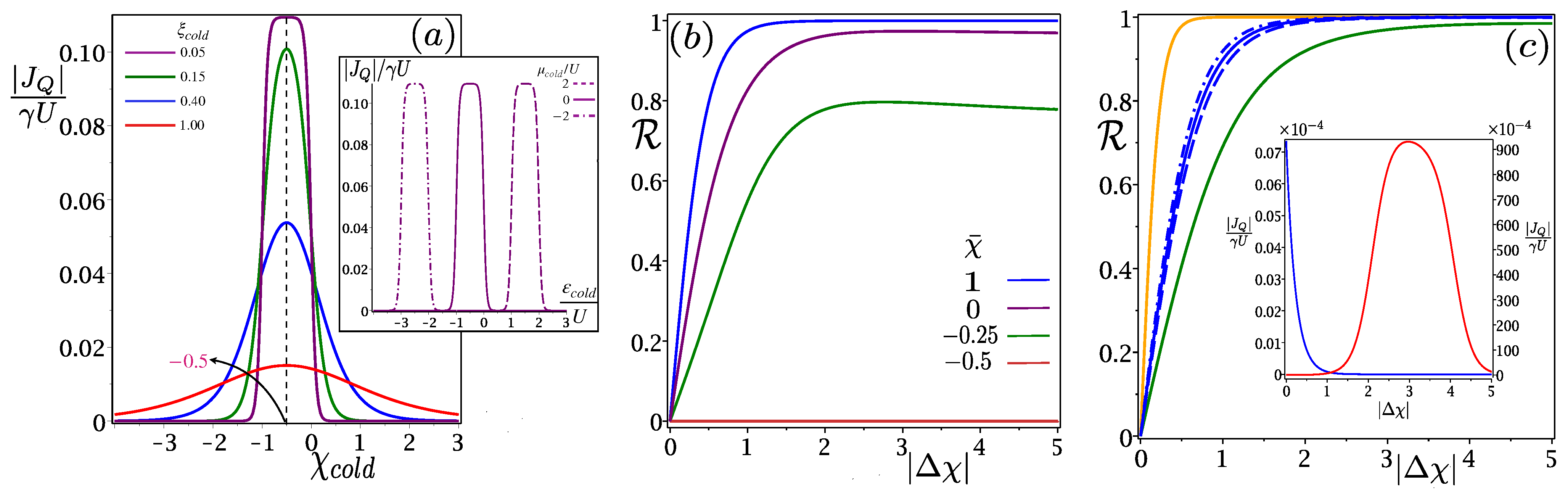
5. Universal Characteristic Due to Magic Means
- Several remarks are now in order:
- The maximum heat current is obtained at and the magnitude only depends on the temperature of two leads, their tunneling rates, and the Coulomb interaction between the dots. Since is the mean of 0 and , which are transition points of and , respectively (point B in Figure 4: main), and this mean is also independent of other controlling parameters, we term this number “” as the “universal magic mean”. The significance of the point B lies in the fact that at the magic mean , the chemical potential of the left (right) lead becomes exactly equal to the means of the transition energies and driven by that bath:and, therefore, provides maximum control over the bath to guide both the absorption and decay simultaneously at the maximum , with the resulting maximum .
- With the increase of , also spreads out, keeping the maxima point fixed at . This precisely indicates that the maximum heat current will invariably be obtained at , irrespective of all [Figure 5b,c]. The 3D plots along are squeezed for smaller values of [Figure 5b] (assuming , as in Figure 2), and if we increase , it expands along both positive and negative , leaving out the point of maxima intact at [Figure 5c]. This fundamental feature of the “magic mean” makes it truly universal.
6. Efficient Heat Current Modulator
7. Conclusions
Author Contributions
Funding
Institutional Review Board Statement
Informed Consent Statement
Data Availability Statement
Acknowledgments
Conflicts of Interest
Abbreviations
| QD | quantum dot |
| FDF | Fermi distribution function |
Appendix A. Derivation of the Lindblad Master Equation
References
- Giazotto, F.; Heikkilä, T.T.; Luukanen, A.; Savin, A.M.; Pekola, J.P. Opportunities for mesoscopics in thermometry and refrigeration: Physics and applications. Rev. Mod. Phys. 2006, 78, 217–274. [Google Scholar] [CrossRef]
- Pekola, J.P. Towards quantum thermodynamics in electronic circuits. Nat. Phys. 2015, 11, 118–123. [Google Scholar] [CrossRef]
- Benenti, G.; Casati, G.; Saito, K.; Whitney, R. Fundamental aspects of steady-state conversion of heat to work at the nanoscale. Phys. Rep. 2017, 694, 1–124. [Google Scholar] [CrossRef]
- Roberts, N.; Walker, D. A review of thermal rectification observations and models in solid materials. Int. J. Therm. Sci. 2011, 50, 648–662. [Google Scholar] [CrossRef]
- Li, N.; Ren, J.; Wang, L.; Zhang, G.; Hänggi, P.; Li, B. Colloquium: Phononics: Manipulating heat flow with electronic analogs and beyond. Rev. Mod. Phys. 2012, 84, 1045–1066. [Google Scholar] [CrossRef]
- Naseem, M.T.; Misra, A.; Müstecaplioğlu, O.E.; Kurizki, G. Minimal quantum heat manager boosted by bath spectral filtering. Phys. Rev. Res. 2020, 2, 033285. [Google Scholar] [CrossRef]
- Zeng, N.; Wang, J.S. Mechanisms causing thermal rectification: The influence of phonon frequency, asymmetry, and nonlinear interactions. Phys. Rev. B 2008, 78, 024305. [Google Scholar] [CrossRef]
- Ruokola, T.; Ojanen, T.; Jauho, A.P. Thermal rectification in nonlinear quantum circuits. Phys. Rev. B 2009, 79, 144306. [Google Scholar] [CrossRef]
- Kuo, D.M.T.; Chang, Y.c. Thermoelectric and thermal rectification properties of quantum dot junctions. Phys. Rev. B 2010, 81, 205321. [Google Scholar] [CrossRef]
- Liu, Y.Y.; Zhou, W.X.; Tang, L.M.; Chen, K.Q. An important mechanism for thermal rectification in graded nanowires. Appl. Phys. Lett. 2014, 105, 203111. [Google Scholar] [CrossRef]
- Sánchez, R.; Thierschmann, H.; Molenkamp, L.W. Single-electron thermal devices coupled to a mesoscopic gate. New J. Phys. 2017, 19, 113040. [Google Scholar] [CrossRef]
- Landi, G.T.; Poletti, D.; Schaller, G. Non-equilibrium boundary driven quantum systems: Models, methods and properties. arXiv 2021, arXiv:2104.14350. [Google Scholar]
- Ruokola, T.; Ojanen, T. Single-electron heat diode: Asymmetric heat transport between electronic reservoirs through Coulomb islands. Phys. Rev. B 2011, 83, 241404. [Google Scholar] [CrossRef]
- Terraneo, M.; Peyrard, M.; Casati, G. Controlling the Energy Flow in Nonlinear Lattices: A Model for a Thermal Rectifier. Phys. Rev. Lett. 2002, 88, 094302. [Google Scholar] [CrossRef]
- Li, B.; Wang, L.; Casati, G. Thermal Diode: Rectification of Heat Flux. Phys. Rev. Lett. 2004, 93, 184301. [Google Scholar] [CrossRef]
- Segal, D.; Nitzan, A. Spin-Boson Thermal Rectifier. Phys. Rev. Lett. 2005, 94, 034301. [Google Scholar] [CrossRef]
- Ojanen, T. Selection-rule blockade and rectification in quantum heat transport. Phys. Rev. B 2009, 80, 180301. [Google Scholar] [CrossRef]
- Wu, L.A.; Segal, D. Sufficient Conditions for Thermal Rectification in Hybrid Quantum Structures. Phys. Rev. Lett. 2009, 102, 095503. [Google Scholar] [CrossRef]
- Werlang, T.; Marchiori, M.A.; Cornelio, M.F.; Valente, D. Optimal rectification in the ultrastrong coupling regime. Phys. Rev. E 2014, 89, 062109. [Google Scholar] [CrossRef]
- Mascarenhas, E.; Gerace, D.; Valente, D.; Montangero, S.; Auffèves, A.; Santos, M.F. A quantum optical valve in a nonlinear-linear resonators junction. EPL (Europhys. Lett.) 2014, 106, 54003. [Google Scholar] [CrossRef][Green Version]
- Marcos-Vicioso, A.; López-Jurado, C.; Ruiz-Garcia, M.; Sánchez, R. Thermal rectification with interacting electronic channels: Exploiting degeneracy, quantum superpositions, and interference. Phys. Rev. B 2018, 98, 035414. [Google Scholar] [CrossRef]
- Bhandari, B.; Erdman, P.A.; Fazio, R.; Paladino, E.; Taddei, F. Thermal rectification through a nonlinear quantum resonator. Phys. Rev. B 2021, 103, 155434. [Google Scholar] [CrossRef]
- Iorio, A.; Strambini, E.; Haack, G.; Campisi, M.; Giazotto, F. Photonic Heat Rectification in a System of Coupled Qubits. Phys. Rev. Appl. 2021, 15, 054050. [Google Scholar] [CrossRef]
- Balachandran, V.; Clark, S.R.; Goold, J.; Poletti, D. Energy Current Rectification and Mobility Edges. Phys. Rev. Lett. 2019, 123, 020603. [Google Scholar] [CrossRef] [PubMed]
- Kargı, C.; Naseem, M.T.; Opatrný, T.; Müstecaplıoğlu, O.E.; Kurizki, G. Quantum optical two-atom thermal diode. Phys. Rev. E 2019, 99, 042121. [Google Scholar] [CrossRef] [PubMed]
- Ordonez-Miranda, J.; Ezzahri, Y.; Joulain, K. Quantum thermal diode based on two interacting spinlike systems under different excitations. Phys. Rev. E 2017, 95, 022128. [Google Scholar] [CrossRef] [PubMed]
- Aligia, A.A.; Daroca, D.P.; Arrachea, L.; Roura-Bas, P. Heat current across a capacitively coupled double quantum dot. Phys. Rev. B 2020, 101, 075417. [Google Scholar] [CrossRef]
- Upadhyay, V.; Naseem, M.T.; Marathe, R.; Müstecaplıoğlu, O.E. Heat rectification by two qubits coupled with Dzyaloshinskii-Moriya interaction. Phys. Rev. E 2021, 104, 054137. [Google Scholar] [CrossRef]
- Díaz, I.; Sánchez, R. The qutrit as a heat diode and circulator. New J. Phys. 2021, 23, 125006. [Google Scholar] [CrossRef]
- Tesser, L.; Bhandari, B.; Erdman, P.A.; Paladino, E.; Fazio, R.; Taddei, F. Heat rectification through single and coupled quantum dots. New J. Phys. 2022, 24, 035001. [Google Scholar] [CrossRef]
- Zhang, Y.; Zhang, X.; Ye, Z.; Lin, G.; Chen, J. Three-terminal quantum-dot thermal management devices. Appl. Phys. Lett. 2017, 110, 153501. [Google Scholar] [CrossRef]
- Zhang, Y.; Yang, Z.; Zhang, X.; Lin, B.; Lin, G.; Chen, J. Coulomb-coupled quantum-dot thermal transistors. EPL (Europhys. Lett.) 2018, 122, 17002. [Google Scholar] [CrossRef]
- Ghosh, A.; Sinha, S.S.; Ray, D.S. Fermionic oscillator in a fermionic bath. Phys. Rev. E 2012, 86, 011138. [Google Scholar] [CrossRef] [PubMed]
- Breuer, H.P.; Petruccione, F. The Theory of Open Quantum Systems; Oxford University Press: Oxford, UK, 2002. [Google Scholar]
- Carmichael, H.J. Statistical Methods in Quantum Optics 1; Springer: Berlin/Heidelberg, Germany, 2002. [Google Scholar]
- Joulain, K.; Drevillon, J.; Ezzahri, Y.; Ordonez-Miranda, J. Quantum Thermal Transistor. Phys. Rev. Lett. 2016, 116, 200601. [Google Scholar] [CrossRef]
- Katz, G.; Kosloff, R. Quantum Thermodynamics in Strong Coupling: Heat Transport and Refrigeration. Entropy 2016, 18, 186. [Google Scholar] [CrossRef]
- Jiang, J.H.; Kulkarni, M.; Segal, D.; Imry, Y. Phonon thermoelectric transistors and rectifiers. Phys. Rev. B 2015, 92, 045309. [Google Scholar] [CrossRef]
- Goury, D.; Sánchez, R. Reversible thermal diode and energy harvester with a superconducting quantum interference single-electron transistor. Appl. Phys. Lett. 2019, 115, 092601. [Google Scholar] [CrossRef]
- Liu, Y.Q.; Yu, D.H.; Yu, C.S. Common Environmental Effects on Quantum Thermal Transistor. Entropy 2022, 24, 32. [Google Scholar] [CrossRef]
- Gupt, N.; Bhattacharyya, S.; Das, B.; Datta, S.; Mukherjee, V.; Ghosh, A. Floquet quantum thermal transistor. Phys. Rev. E 2022, 106, 024110. [Google Scholar] [CrossRef]
- Gelbwaser-Klimovsky, D.; Niedenzu, W.; Kurizki, G. Chapter Twelve—Thermodynamics of Quantum Systems under Dynamical Control. Adv. At. Mol. Opt. Phys. 2015, 64, 329–407. [Google Scholar] [CrossRef]
- Spohn, H. Entropy production for quantum dynamical semigroups. J. Math. Phys. 1978, 19, 1227–1230. [Google Scholar] [CrossRef]
- Kosloff, R. Quantum Thermodynamics: A Dynamical Viewpoint. Entropy 2013, 15, 2100–2128. [Google Scholar] [CrossRef]
- Deffner, S.; Campbell, S. Quantum Thermodynamics; Morgan and Claypool Publishers: San Rafael, CA, USA, 2019. [Google Scholar] [CrossRef]
- Ghosh, A.; Mukherjee, V.; Niedenzu, W.; Kurizki, G. Are quantum thermodynamic machines better than their classical counterparts? Eur. Phys. J. Spec. Top. 2019, 227, 2043–2051. [Google Scholar] [CrossRef]
- Gupt, N.; Bhattacharyya, S.; Ghosh, A. Statistical generalization of regenerative bosonic and fermionic Stirling cycles. Phys. Rev. E 2021, 104, 054130. [Google Scholar] [CrossRef]
- Sinha, S.S.; Ghosh, A.; Ray, D.S. Fluctuation corrections to thermodynamic functions: Finite-size effects. Phys. Rev. E 2013, 87, 042112. [Google Scholar] [CrossRef] [PubMed]
- Thierschmann, H.; Sánchez, R.; Sothmann, B.; Arnold, F.; Heyn, C.; Hansen, W.; Buhmann, H.; Molenkamp, L.W. Three-terminal energy harvester with coupled quantum dots. Nat. Nanotechnol. 2015, 10, 854–858. [Google Scholar] [CrossRef] [PubMed]
- Hartmann, F.; Pfeffer, P.; Höfling, S.; Kamp, M.; Worschech, L. Voltage Fluctuation to Current Converter with Coulomb-Coupled Quantum Dots. Phys. Rev. Lett. 2015, 114, 146805. [Google Scholar] [CrossRef] [PubMed]
- Thierschmann, H.; Arnold, F.; Mittermüller, M.; Maier, L.; Heyn, C.; Hansen, W.; Buhmann, H.; Molenkamp, L.W. Thermal gating of charge currents with Coulomb coupled quantum dots. New J. Phys. 2015, 17, 113003. [Google Scholar] [CrossRef]
- Pfeffer, P.; Hartmann, F.; Höfling, S.; Kamp, M.; Worschech, L. Logical Stochastic Resonance with a Coulomb-Coupled Quantum-Dot Rectifier. Phys. Rev. Appl. 2015, 4, 014011. [Google Scholar] [CrossRef]
- Schaller, G.; Kießlich, G.; Brandes, T. Transport statistics of interacting double dot systems: Coherent and non-Markovian effects. Phys. Rev. B 2009, 80, 245107. [Google Scholar] [CrossRef]
- Zedler, P.; Schaller, G.; Kiesslich, G.; Emary, C.; Brandes, T. Weak-coupling approximations in non-Markovian transport. Phys. Rev. B 2009, 80, 045309. [Google Scholar] [CrossRef]
- Wijesekara, R.T.; Gunapala, S.D.; Premaratne, M. Darlington pair of quantum thermal transistors. Phys. Rev. B 2021, 104, 045405. [Google Scholar] [CrossRef]




Publisher’s Note: MDPI stays neutral with regard to jurisdictional claims in published maps and institutional affiliations. |
© 2022 by the authors. Licensee MDPI, Basel, Switzerland. This article is an open access article distributed under the terms and conditions of the Creative Commons Attribution (CC BY) license (https://creativecommons.org/licenses/by/4.0/).
Share and Cite
Ghosh, S.; Gupt, N.; Ghosh, A. Universal Behavior of the Coulomb-Coupled Fermionic Thermal Diode. Entropy 2022, 24, 1810. https://doi.org/10.3390/e24121810
Ghosh S, Gupt N, Ghosh A. Universal Behavior of the Coulomb-Coupled Fermionic Thermal Diode. Entropy. 2022; 24(12):1810. https://doi.org/10.3390/e24121810
Chicago/Turabian StyleGhosh, Shuvadip, Nikhil Gupt, and Arnab Ghosh. 2022. "Universal Behavior of the Coulomb-Coupled Fermionic Thermal Diode" Entropy 24, no. 12: 1810. https://doi.org/10.3390/e24121810
APA StyleGhosh, S., Gupt, N., & Ghosh, A. (2022). Universal Behavior of the Coulomb-Coupled Fermionic Thermal Diode. Entropy, 24(12), 1810. https://doi.org/10.3390/e24121810

