Abstract
In this paper, we show an analysis of the global stability of a Curzon–Ahlborn engine considering that the working substance of the engine satisfies the Van der Waals equation of state, which is more general than the ideal gas case. We use the Lyapunov stability theory for the case where the engine operates at a maximum power output. We analyze the steady state of the intermediate temperatures as well as the asymptotic behavior of the performance of the engine. Additionally, we study the relationship between the inherent time delay by analyzing the dynamic properties of the system and the stability of the steady state. We present illustrative graphs of the obtained results. Finally, we include a brief discussion of the obtained results and appropriate conclusions.
1. Introduction
Since the Curzon–Ahlborn paper, published in 1975 [1], the so-called finite-time thermodynamics (FTT) started its development as a branch of classical equilibrium thermodynamics. Diverse ways and methods to qualify the performance of the Curzon and Ahlborn engines and other heat engines have been obtained [2,3,4,5,6,7]. One of the main objectives of FTT is the analysis of the optimal operation of thermal engines to obtain new operating limits of efficiency and power output in thermal devices. That is, there was no thermal equilibrium between the working fluid and the thermal reservoirs in the isothermal branches of the cycle. Curzon and Ahlborn (CA) showed that such a heat engine provides nonzero power, positive entropy production, and a more realistic efficiency than the Carnot engine. In Figure 1, we show the representation of a CA engine, in which and are the temperature of the heat reservoirs with , and are the heat fluxes of the engine through thermal conductors, both with the same conductance () and the same heat capacity (C), and and are the hot and cold temperatures of the Carnot cycle isothermal branches, respectively.
Figure 1.
Curzon–Ahlborn engine.
The efficiency of the CA engine (Figure 1) at maximum power output is given by , (with and ). This efficiency is a better approximation for real heat engines than the one proposed by Carnot. Most studies in FTT of thermal systems have focused on their steady-state energy properties, which are important from a design viewpoint. FTT studies of the dynamic properties [3,4,7] of the system have also been conducted, such as the response to a noisy disturbance or the stability of the steady state of the system. Recently, studies have proposed to analyze the stability and robust dynamics of thermal engine models. In real systems, when modifying the value of a variable, the change in the system is not appreciated immediately, but a certain amount of time must lapse to observe the effect of said change in the dynamic response of the system. These systems are known as time dynamic systems. The robustness of a system can manifest itself in one of two different ways: the system returns to its current dynamic attractor after the disturbance, or it moves to a different attractor that maintains the function of the system.
Recently, the distinct types of stability problems in dynamical systems have been studied through stability theory, which plays a significant role in systems and engineering studies. In 2001, Santillan et al. [8] conducted the first work on the local stability analysis of a CA endoreversible engine working at maximum power output. These authors showed that a clever design generates stability between dynamic robustness and optimal thermodynamic properties. Páez-Hernández et al. [9,10] studied the effects of robustness and time delay on the performance and local stability properties of a non-endoreversible Curzon–Ahlborn engine. Páez-Hernández et al. [11] studied dynamic properties in an endoreversible Curzon–Ahlborn engine using a Van der Waals gas as a working substance. Páez-Hernández et al. [12] studied the effects of time delays in endoreversible and non-endoreversible thermal engines working at different regimes. Chimal-Eguía J. C. et al. [13] analyzed the stability of a Curzon–Ahlborn engine with the Stefan–Boltzmann heat transfer law. Guzman-Vargas et al. [14] performed local stability analysis of the CA engine under different heat transfer laws. Barranco-Jiménez M. A. et al. [15] analyzed the local stability of a thermo-economic model of a Novikov–Curzon–Ahlborn heat engine. Other authors have studied the stability under different operating regimes, such as the regime of maximum efficiency and maximum ecological function [16,17,18,19,20,21,22,23,24]. It is important to note that the finite time thermodynamics continues to address more systems of current interest, as shown in [25,26,27,28,29,30].
Part of the stability theory is the equilibrium points that are generally analyzed by Lyapunov’s stability theorem. An equilibrium point is said to be stable if all solutions that start in the vicinity of the equilibrium point remain in the vicinity of the equilibrium point; otherwise, the equilibrium point is unstable. If a stable point fulfills that all the solutions that start in the vicinity of the stable point remain in the vicinity of the equilibrium point, and also tends towards equilibrium as time approaches infinity, then the equilibrium point is said to be asymptotically stable.
Different models of thermal engines can be studied [31,32,33,34] using the Lyapunov stability theory for the analysis of the dynamic properties of the system. In these studies, it is assumed that the working substance of the engine is an ideal gas. However, in real engines, this substance is a non-ideal gas. In this paper, we analyze the influence of assuming a non-ideal gas as the working substance in the engine, particularly a Van der Waals gas. We note that the efficiency of the CA engine, at maximum power output, can be written as the limit at zero of a series of powers of a factor involving the compression ratio, as shown by Gutkowicz-Krusin et al. [35]. In the case of a Van der Waals gas, this efficiency has the same form, and only differs in that the noted factor includes the available volume of one mole of particles; Ladino-Luna D [36]. We use the Lyapunov stability theory and show the global stability analysis of a Curzon–Ahlborn engine with a working substance that obeys the Van der Waals equation of state when the engine operates at maximum power output. We analyze the steady state of the intermediate temperatures, as well as the delay times of the machine. The work is organized as follows. In Section 2, we present the steady-state characteristics of the Curzon and Ahlborn engine with a Van der Waals gas (CAEVW). The stability analysis and effects of the time delay of the CAEVW are presented in Section 3. The global stability of the CAEVW is presented in Section 4. For each important result, we show illustrative graphs of the obtained results. Finally, in Section 5, important conclusions and remarks are presented.
2. Steady-State Characteristics of the CAEVW
The heat engine, shown in Figure 1, operates between temperatures and , with . We can consider the steady-state temperatures as and , where . Considering a Newton heat transfer law, where the heat exchange is carried out through the thermal conductors, both with conductance , the irreversible fluxes from to and from to are and , respectively, where and represent the steady-state heat fluxes of the engine,
and
The following inequality follows from the Clausius theorem and the fact that the inner Carnot-like engine works in irreversible cycles:
Considering the endoreversibility hypothesis, the above equation results in
The system’s steady-state power output and efficiency can be defined as
and
By combining Equations (1)–(3), and (5), we can solve for and in terms of T1, T2 and as
where .
In our analysis, we use a working substance that obeys the Van der Waals equation of state, which, unlike the ideal gas equation , considers a correction in the volume of the molecules, which are treated as small hard spheres, leading to a minimum volume (for 1 mol). That is, in the ideal gas equation is replaced by . Additionally, the Van der Waals equation considers the attraction between molecules, which tends to decrease the volume, considering a small superficial layer of gas; its attraction for the internal molecules should be proportional to the square of the density.
Thus, the efficiency of the Curzon–Ahlborn heat engine, operating at maximum power output and considering a Van der Waals gas working substance following [36], is given by
With
where is the ratio of the heat capacities, and are the volumes supplied by the gas in one cycle, and b is a gas-dependent constant. Nevertheless, the b parameter in the Van der Waals equation is so small compared with the spanned volumes of the engine, namely and . Therefore, we have , and is the compression ratio of the engine, which has a particular value depending on the chosen cycle: Diesel, Otto, etc. In the case of the Diesel cycle, ; for the Otto cycle, [37]. Considering and substituting in Equation (9), we obtain , for the simplicity calculus we use , now substituting this value in (8), we obtain the efficiency . This substitution of lambda is justified by observing the behavior of the plots in Figure 2. It is even shown an interval of , namely , in which real plants usually work [38,39]. As we can see, the behavior of and is practically the same in that interval; so there is no loss of generality in the present study if we suppose , and we obtain
where represents the Carnot efficiency. Substituting Equations (6) and (7) into Equation (10), to express the steady state to the CAEVW and the results
and
Figure 2.
The behavior of and in which real plants usually work.
For the power output of the CAEVW in the steady state, by combining Equations (1), (5) and (6) into Equation (10), we obtain
To perform the stability analysis, we write , , and in terms of and , that is
3. Stability Analysis and Effects of Time Delays of the CAEVW
3.1. Dynamic Model of the CA Engine
As was noted, Figure 1 is the representation of a CA engine, in which and are heat reservoirs with ; and are the heat fluxes of the engine through thermal conductors, both with the same conductance () and the same heat capacity (C); and are the hot and cold temperatures of the Carnot cycle isothermal branches, respectively. From the capacity definition, , we obtain the dynamics equation, . Now, considering the rate change of the internal temperatures and , and the thermal conductance α, these temperatures can vary with time, according to the following differential equations:
with the heat flow from x to the working substance and the flow from the Carnot engine to . Both equations cancel when , , , and take their steady-state values. We write and in terms of , and the output power of the engine,
Assuming that the power output of the CA engine is related to the temperatures and , as in the case of the power output for steady-state that is related to the temperatures and , then we can write the power output of the CA engine out of steady-state in terms of and of the form
Now, by substituting Equations (19)–(21) into Equations (17) and (18), we obtain the following expressions in terms of the temperatures, , and ,
3.2. Local Stability Analysis
To perform a local stability analysis of the CAVEW dynamic model, we transform Equations (22) and (23) as the following set of ordinary differential equations:
The system’s steady state is couple that simultaneously satisfies and . With a little algebra, it is easy to show that the Curzon–Ahlborn engine has a unique steady state, given by Equations (11) and (12). Based on Strogatz [40], the local stability in the steady state is determined by the eigenvalues of the Jacobian matrix:
where
Following Páez-Hernández et al. [9] step by step, both eigenvalues have negative real parts, which implies that the system’s steady state is a stable node, and allows us to define relaxation times , i = 1, 2. The time evolution of a given perturbation from the steady state is generally determined by both relaxation times. However, the perturbation long-term behavior is dominated by the longest relaxation time. In Figure 3, the relaxation times and are plotted against . Notice that for all values of , that is a monotone-increasing function of , and that has a maximum at and a minimum at .
Figure 3.
Plots of the relaxation times and in units of , vs. .
3.3. Dynamic Effects of the Time Delay
Consider a small perturbation near the steady state. It is determined by the linear combination based on , i = 1, 2, …, being solution of the characteristic equation, McDonald [41],
Therefore, we can consider the delay differential system equations
where represents the variable with time delay.
Because the characteristic equation has an infinite number of solutions, the stability analysis of a dynamical system with time delay can be complicated. Furthermore, as it is known, a common effect of time delays is to destabilize previously stable steady states, as it induces sustained oscillations. In Páez-Hernández et al. [12], it is shown that no time delay can destabilize the CAEVW.
Figure 4 shows that surfaces and , which result from solving Equation (33), do not intersect at any point.
Figure 4.
Surface plot of the effects of time delay that shows that CAEVW cannot be destabilized by any time delay.
4. Global Stability of the CAEVW
4.1. Lyapunov Function Description
In this section, we apply the Lyapunov stability theory to analyze and check the global asymptotic stability for the CA heat engine operating at maximum output power by constructing the Lyapunov function. This function, denoted by , must satisfy the following conditions:
- (1)
- must be positive definite in a region around the steady state;
- (2)
- must be negative definite, that is, .
4.2. Lyapunov Function for CA Engine Model
To build the matrix , we consider the right-hand side of the differential equations given by Equations (22) and (23) and after evaluating the steady-state temperatures in terms of , i.e., Equations (11) and (12).
Considering that the previous matrix is negative definite, the Lyapunov function is written as
It can be verified in the previous equation that in the stationary state , if we consider and .
On the other hand, the function fulfills
where
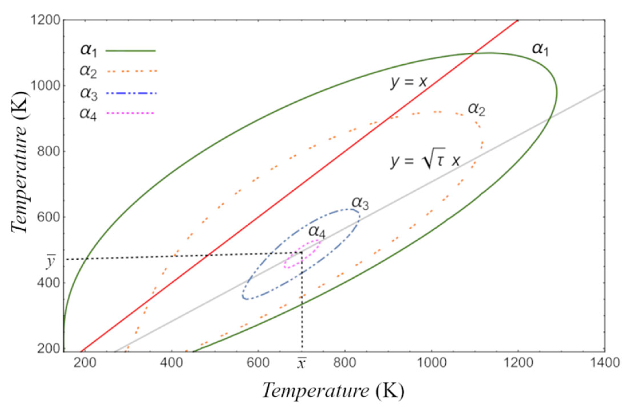
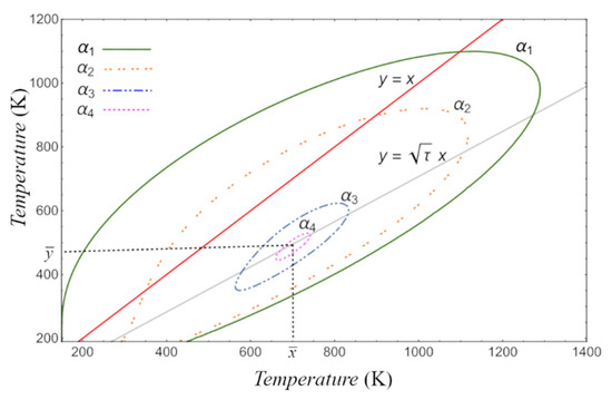
Figure 5 shows the behavior of the level curves of the Lyapunov function built for our dynamic system defined by Equations (22) and (23). The behavior indicates that, as the constant k of the level curve decreases, the surface also decreases towards the steady-state values . Our result is consistent with the work reported by Guzmán-Vargas L et al. [33].
Figure 5.
Level curves of the Lyapunov function . The constant on each level curve satisfies .
In Figure 6, the surface of the Lyapunov function is shown. Comparably to these authors [33], we conduct the numerical study of the decay of the disturbances around the stationary state through Equations (17) and (18), for different initial conditions.
Figure 6.
Surface plot of the Lyapunov function.
5. Results
In the numerical analysis shown in Figure 7, the initial state is , and we consider the following cases: (1) , ; (2) , ; (3) , ; and (4) , . For all cases analyzed, it is observed that they tend to the value of the steady state of the temperature.
Figure 7.
Working temperature vs. time, considering: (1) , ; (2) , ; (3) , ; and (4) , .
6. Conclusion and Remarks
In this work, we performed a global stability analysis of a CA engine using a Van der Waals gas as a working substance and by applying the Lyapunov stability theory. For the global analysis, we first studied the dynamics of the CA engine to shape the Lyapunov function, and then we analyzed the global properties. Our results show that the stability of the engine is maintained around the stable state even when variations in parameters of the Lyapunov function are considered, i.e., the surface also decreases towards the steady-state values , as reported by other authors. In addition, we studied the local analysis of a CA engine using a Van der Waals gas as a working substance and have considered the engine’s inherent time delays. Time delays are present in multiple systems subject to dynamic regulation. In the endoreversible and non-endoreversible Curzon–Ahlborn engine, the inherent time delays are incapable of destabilizing the steady state [9,12]. Thus, they seem not to play a role in the trade-off between energetic and dynamic properties. This does not have to be true for all energy-converting systems, however. They should be taken into account in further studies concerning the relationship between the dynamic and the energetic properties of energy-converting systems.
Author Contributions
All authors contributed equally to the paper. All authors have read and agreed to the published version of the manuscript.
Funding
This research received no external funding.
Institutional Review Board Statement
Not applicable.
Informed Consent Statement
Not applicable.
Data Availability Statement
Not applicable.
Acknowledgments
J.C. Chimal-Eguía thanks EDI-IPN and COFAA-IPN and CONACyT, México for partial support.
Conflicts of Interest
The authors declare no conflict of interest.
Nomenclature
| Van der Waals parameter, (kPa·m6)/(kg·K) | |
| Van der Waals parameter, m3/kg | |
| Heat capacity, kJ/(kg·K) | |
| Molar constant pressure specific heat capacity, (W/K) | |
| Molar constant volume specific heat capacity, (W/K) | |
| Heat flux, (J/s) | |
| Steady-state heat flux, (J/s) | |
| Mole number, mol | |
| Power output, (W) | |
| Pressure, (Pa) | |
| Heat, (J) | |
| Universal gas constant, J/(mol•K) | |
| Temperature, (K) | |
| Time, (s) | |
| Volume, (m3) | |
| Temperature of heat reservoir, (K) | |
| Steady-state temperature of heat reservoir, (K) | |
| Temperature of heat reservoir, (K) | |
| Steady-state temperature of heat reservoir, (K) | |
| Greek symbol | |
| Thermal conductance, W/ (m2·K) | |
| Ratio temperature | |
| Carnot efficiency | |
| Curzon–Ahlborn efficiency | |
| Efficiency of the heat engine with Van der Waals gas substance | |
References
- Curzon, F.L.; Ahlborn, B. Efficiency of Carnot Engine at Maximum Power Out. Am. J. Phy. 1975, 43, 22–25. [Google Scholar] [CrossRef]
- Andresen, B.; Salamon, P.; Berry, R.S. Thermodynamics in finite time: Extremals for imperfect heat engines. J. Chem. Phys. 1977, 66, 1571. [Google Scholar] [CrossRef]
- Sieniutycz, S.; Salamon, P. Finite-Time Thermodynamics and Thermoeconomics; Taylor & Francis: New York, NY, USA, 1990. [Google Scholar]
- De Vos, A. Endoreversible Thermodynamics of Solar Energy Conversion; Oxford University Press: Oxford, UK, 1992. [Google Scholar]
- Bejan, A. Entropy generation minimization: The new thermodynamics of finite size devices and finite-time processes. J. Appl. Phys. 1996, 79, 1191–1218. [Google Scholar] [CrossRef]
- Hoffmann, K.H.; Burzler, J.M.; Shubert, S. Endoreversible thermodynamics. J. Non-Equilib. Thermodyn. 1997, 22, 311–355. [Google Scholar]
- Wu, C.; Chen, L.; Chen, J. (Eds.) Recent Advances in Finite Thermodynamics; Nova Science: New York, NY, USA, 1999. [Google Scholar]
- Santillán, M.; Maya, G.; Angulo-Brown, F. Local stability analysis of an endoreversible Curzon–Ahlborn–Novikov engine working in a maximum-power-like regime. J. Phys. D Appl. Phys. 2001, 34, 2068–2072. [Google Scholar] [CrossRef]
- Páez-Hernández, R.T.; Angulo-Brown, F.; Santillán, M. Dynamic Robustness and Thermodynamic Optimization in a Non-Endoreversible Curzon-Ahlborn engine. J. Non-Equilib. Thermodyn. 2006, 31, 173–188. [Google Scholar] [CrossRef]
- Páez-Hernández, R.T. Thermodynamic Optimization and robustness Dynamic of Thermal Engines and Some Biological Systems. Ph.D. Thesis, Escuela Superior de Física y Matemáticas, IPN, Mexico City, Mexico, 2008. (In Spanish). [Google Scholar]
- Páez-Hernández, R.; Ladino-Luna, D.; Portillo-Díaz, P. Dynamic properties in an endoreversible Curzon-Ahlborn engine using a Van der Waals gas as working substance. Phys. A 2011, 390, 3275–3282. [Google Scholar] [CrossRef]
- Páez-Hernández, R.T.; Ladino-Luna, D.; Portillo-Díaz, P. Effects of the time delays in endoreversible and non-endoreversible thermal engines working at different regimes. In Proceedings of the 12th Joint European Thermodynamics Conference, Brescia, Italy, 1–5 July 2013. [Google Scholar]
- Chimal-Eguía, J.C.; Barranco-Jiménez, M.A.; Angulo-Brown, F. Stability analysis of an endoreversible heat engine with Stefan-Boltzmann heat transfer law working in a maximum power-like regime. Open Syst. Inf. Dyn. 2006, 13, 43–54. [Google Scholar] [CrossRef]
- Guzmán-Vargas, L.; Reyes-Ramírez, I.; Sánchez-Salas, N. The effect of heat transfer laws and thermal conductance on the local stability of an endoreversible heat engine. J. Phys. D Appl. Phys. 2005, 38, 1282–1291. [Google Scholar] [CrossRef]
- Barranco-Jiménez, M.A.; Páez-Hernández, R.T.; Reyes-Ramírez, I.; Guzmán-Vargas, L. Local stability analysis of a thermo-economic model of a Novikov-Curzon-Ahlborn heat engine. Entropy 2011, 13, 1584–1594. [Google Scholar] [CrossRef]
- Chimal-Eguía, J.C.; Reyes-Ramírez, I.; Guzmán-Vargas, L. Local stability of an endoreversible heat engine working an ecological regime. Open Syst. Inf. Dyn. 2007, 14, 411–424. [Google Scholar] [CrossRef]
- Sánchez-Salas, N.; Chimal-Eguía, J.C.; Guzmán-Aguilar, F. On the Dynamic robustness of a non-endoreversible engine working in different operating regimes. Entropy 2011, 13, 422–436. [Google Scholar] [CrossRef]
- Huang, Y.W.; Sun, D.X.; Kang, Y.M. Local stability analysis of a class of endoreversible heat pumps. J. Appl. Phys. 2007, 102, 034905. [Google Scholar] [CrossRef]
- Huang, Y.W. Local asymptotic stability of an irreversible heat pump subject to total thermal conductance constraint. Energy Convers. Manag. 2009, 50, 1444–1449. [Google Scholar] [CrossRef]
- Wu, X.H.; Chen, L.G.; Sun, F.R. Local stability of an endoreversible heat pump working at the maximum ecological function. Chin. J. Eng. Thermophys. 2011, 32, 1811–1815. [Google Scholar]
- Wu, X.H.; Chen, L.G.; Sun, F.R. Local stability of an endoreversible heat pump with linear phenomenological heat transfer law working in an ecological regime. Sci. Iran. B 2012, 19, 1519–1525. [Google Scholar] [CrossRef][Green Version]
- Chimal-Eguía, J.C. Dynamic Stability in an endoreversible Chemical reactor. Rev. Mex. Quim. 2015, 14, 703–710. [Google Scholar]
- Gonzalez-Ayala, J.; Mateos-Roco, J.M.; Medina, A.; Calvo-Hernández, A. Optimization, Stability, and Entropy in Endoreversible Heat Engines. Entropy 2020, 22, 1323. [Google Scholar] [CrossRef]
- Páez-Hernández, R.T.; Santillán, M. Comparison of the energetic properties and the dynamical stability in a mathematical model of the stretch reflex. Phys. A 2008, 387, 3574–3582. [Google Scholar] [CrossRef]
- Guo, H.; Xu, Y.; Zhang, X.; Zhu, Y.; Chen, H. Finite-time thermodynamics modeling and analysis on compressed air energy storage systems with thermal storage. Renew. Sustain. Energy Rev. 2021, 138, 110656. [Google Scholar] [CrossRef]
- Chen, L.; Meng, Z.; Ge, Y.; Wu, F. Performance Analysis and Optimization for Irreversible Combined Carnot Heat Engine Working with Ideal Quantum Gases. Entropy 2021, 23, 536. [Google Scholar] [CrossRef] [PubMed]
- Susu, Q.; Zemin, D.; LinGen, C.; YanLin, G.E. Performance optimization of thermionic refrigerators based on vander Waals heterostructures. Sci. China Technol. Sci. 2021, 64, 1007–1016. [Google Scholar]
- Hamedani Raja, S.; Maniscalco, S.; Paraoanu, G.S.; Pekola, J.P.; Lo Gullo, N. Finite-Time quantum Stirling heat engine. New. J. Phys. 2021, 23, 033034. [Google Scholar] [CrossRef]
- Andresen, B.; Salamon, P. Future Perspectives of Finite-Time Thermodynamics. Entropy 2022, 24, 690. [Google Scholar] [CrossRef] [PubMed]
- Watanabe, G.; Minami, Y. Finite-Time Thermodynamics in microscopic heat engines. Phys. Rev. Res. 2022, 4, L01008. [Google Scholar] [CrossRef]
- Rojas-Pacheco, A.; Obregón-Quintana, L.S.; Guzmán-Vargas, L. Time-delay effects on dynamics of a two-actor conflict model. Phys. A 2013, 392, 458–467. [Google Scholar] [CrossRef]
- Reyes-Ramírez, I.; Barranco-Jiménez, M.A.; Rojas-Pacheco, A.; Guzmán-Vargas, L. Global stability analysis of an endoreversible Curzon-Ahlborn Heat engine under different regimes. Entropy 2014, 16, 5796–5809. [Google Scholar] [CrossRef]
- Reyes-Ramírez, I.; Barranco-Jiménez, M.A.; Rojas-Pacheco, A.; Guzmán-Vargas, L. Global stability of the Curzon-Ahlborn heat engine using the Lyapunov method. Phys. A 2014, 399, 98–105. [Google Scholar] [CrossRef]
- Valencia-Ortega, G.; Levario-Medina, S.; Barranco-Jiménez, M.A. Local and Global Stability of a Curzon-Ahlborn model applied to power plants working at maximum power κ-efficient power. arXiv 2020, arXiv:2005.10397. [Google Scholar] [CrossRef]
- Gutkowicz-Krusin, D.; Procacia, I.; Ross, J. On the efficiency of rate processes, Power and Efficiency of heat engines. J. Chem. Phys. 1978, 69, 3898. [Google Scholar] [CrossRef]
- Ladino-Luna, D. Ciclo de Cuzon y Ahlbon para un gas de van de Waals. Rev. Mex. Fís. 2002, 48, 575–578. [Google Scholar]
- Heywood, J.B. Internal Combustion Engine Fundamentals; Mc Graw Hill Publishing Company: New York, NY, USA, 1988. [Google Scholar]
- Bejan, A. Advanced Engineering Thermodynamics; John Wiley & Sons: Hoboken, NJ, USA, 1988. [Google Scholar]
- Velasco, S.; Roco, J.M.M.; Medina, A.; White, J.A.; Calvo-Hernández, A. Optimization of heat engines including the saving of natural resources and the reduction of thermal pollution. J. Phys. D Appl. Phys. 2000, 33, 355. [Google Scholar] [CrossRef]
- Strogatz, S.H. Nonlinear Dynamics and Chaos; Addison Wesley: Reading, MA, USA, 1994. [Google Scholar]
- McDonald, N. Biological Delay Systems: Linear Stability Theory; Cambridge University Press: Cambridge, UK, 1989. [Google Scholar]
Publisher’s Note: MDPI stays neutral with regard to jurisdictional claims in published maps and institutional affiliations. |
© 2022 by the authors. Licensee MDPI, Basel, Switzerland. This article is an open access article distributed under the terms and conditions of the Creative Commons Attribution (CC BY) license (https://creativecommons.org/licenses/by/4.0/).






