Analysis of Vulnerability on Weighted Power Networks under Line Breakdowns
Abstract
1. Introduction
2. Cascading Failure Model for a Weighted Power Network
2.1. Single Weighted Power Network
2.2. Multilayer Interdependent Network Model
3. Vulnerability Analysis for a Power Network
3.1. The Influence of Coupling Strategy on Vulnerability
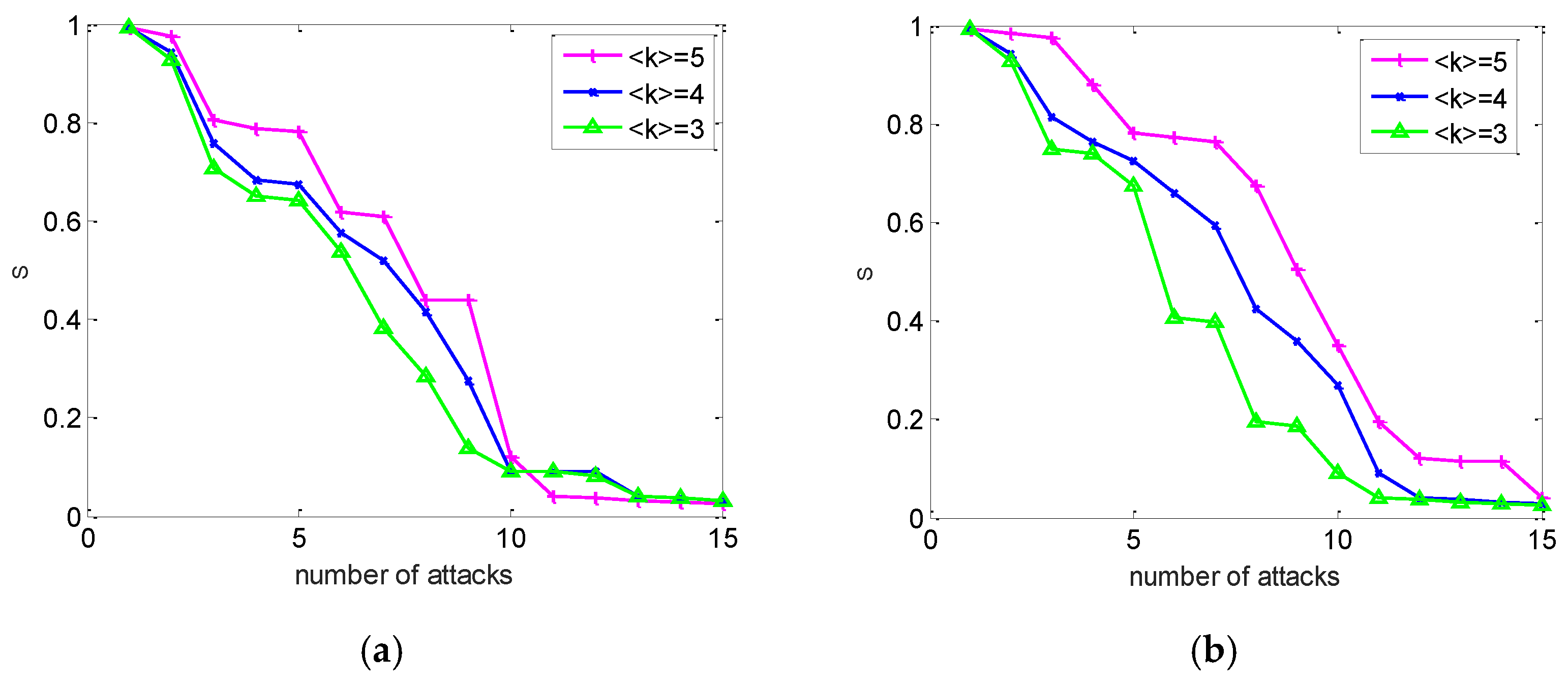
3.2. The Influence of Mean Degree on Vulnerability
4. Conclusions
Author Contributions
Funding
Institutional Review Board Statement
Data Availability Statement
Conflicts of Interest
References
- Pagani, G.A.; Aiello, M. The Power Grid as a complex network: A survey. Phys. A 2013, 392, 2688–2700. [Google Scholar] [CrossRef]
- Carareto, R.; Baptista, M.S.; Grebogi, C. Natural synchronization in power-grids with anti-correlated units. Commun. Nonlinear Sci. Numer. Simul. 2013, 18, 1035–1046. [Google Scholar] [CrossRef]
- Peter, J.M.; Jobst, H.; Norbert, M.; Kurths., J. How basin stability complements the linear stability paradigm. Nat. Phys. 2013, 9, 89–92. [Google Scholar]
- Auer, S.; Kleis, K.; Schultz, P.; Kurths, J.; Hellmann, F. The impact of model detail on power grid resilience measures. Eur. Phys. J. Spéc. Top. 2016, 225, 609–625. [Google Scholar] [CrossRef]
- Coletta, T.; Jacquod, P. Linear stability and the Braess paradox in coupled-oscillator networks and electric power grids. Phys. Rev. E 2016, 93, 032222. [Google Scholar] [CrossRef] [PubMed]
- Cohen, R.; Erez, K.; Ben-Avraham, D.; Havlin, S. Resilience of the Internet to intentional breakdowns. Phys. Rev. Lett. 2001, 86, 4626–4628. [Google Scholar] [CrossRef] [PubMed]
- Peng, J.; Kurths, J. Basin stability of the Kuramoto-like model in small networks. Eur. Phys. J. 2014, 223, 2483–2491. [Google Scholar]
- Feld, Y.; Hartmann, K.A. Large-deviations of the basin stability of power grids. Chaos 2019, 29, 123103. [Google Scholar] [CrossRef] [PubMed]
- Che, Y.; Cheng, C. Active learning and relevance vector machine in efficient estimate of basin stability for large-scale dynamic networks. Chaos 2021, 31, 053129. [Google Scholar] [CrossRef] [PubMed]
- Pourbeik, P.; Kundur, P.; Taylor, C. The anatomy of a power grid blackout—Root causes and dynamics of recent major blackouts. IEEE Power Energy Mag. 2006, 4, 22–29. [Google Scholar] [CrossRef]
- Rubido, N.; Grebogi, C.; Baptista, M.S. Structure and function in flow networks. Eur. Lett. 2013, 101, 68001. [Google Scholar] [CrossRef]
- Witthaut, D.; Timme, M. Braess’s paradox in oscillator networks, desynchronization and power outage. New J. Phys. 2012, 14, 083036. [Google Scholar] [CrossRef]
- Filatrella, G.; Nielsen, A.H.; Pedersen, N.F. Analysis of a power grid using a Kuramoto-like model. Eur. Phys. J. B-Condens. Matter Complex Syst. 2008, 61, 485–491. [Google Scholar] [CrossRef]
- Manik, D.; Timme, M.; Witthaut, D. Cycle flows and multistability in oscillatory networks. Chaos 2017, 27, 083123. [Google Scholar] [CrossRef] [PubMed]
- Schäfer, B.; Witthaut, D.; Timme, M.; Latora, V. Dynamically induced cascading failures in power grids. Nat. Commun. 2018, 9, 1975. [Google Scholar] [CrossRef] [PubMed]
- Latora, V.; Marchiori, M. Economic small-world behavior in weighted networks. Eur. Phys. J. B 2003, 32, 249–263. [Google Scholar] [CrossRef]
- Wang, F.; Tian, L.; Du, R.; Dong, G. The robustness of interdependent weighted networks. Phys. A 2018, 508, 675–680. [Google Scholar] [CrossRef]
- Wu, Z.-X.; Peng, G.; Wang, W.-X.; Chan, S.; Wong, W.M.E. Cascading failure spreading on weighted heterogeneous networks. J. Stat. Mech. 2008, 2008, P05013. [Google Scholar] [CrossRef]
- Muldoon, S.; Bridgeford, E.W.; Bassett, D.S. Small-World Propensity and Weighted Brain Networks. Sci. Rep. 2016, 6, 22057. [Google Scholar] [CrossRef]
- Li, J.; Wang, Y.; Zhong, J.; Sun, Y.; Guo, Z.; Chen, Z.; Fu, C. Network resilience assessment and reinforcement strategy against cascading failure. Chaos Solitons Fractals 2022, 160, 112271. [Google Scholar] [CrossRef]
- Ma, F.; Liu, F.; Yuen, K.F.; Lai, P.; Sun, Q.; Li, X. Cascading Failures and Vulnerability Evolution in Bus–Metro Complex Bilayer Networks under Rainstorm Weather Conditions. Int. J. Environ. Res. Public Health 2019, 16, 329. [Google Scholar] [CrossRef]
- Cuadra, L.; Salcedo-Sanz, S.; Del Ser, J. A critical review of robustness in power grids using complex networks concepts. Energies 2018, 8, 9211–9265. [Google Scholar] [CrossRef]
- He, W.; Chen, G.; Han, Q.-L.; Du, W.; Cao, J.; Qian, F. Multiagent Systems on Multilayer Networks: Synchronization Analysis and Network Design. IEEE Trans. Syst. Man Cybern. Syst. 2017, 47, 1655–1667. [Google Scholar] [CrossRef]
- Gao, J.; Buldyrev, S.V.; Stanley, H.E.; Havlin, S. Networks formed from interdependent networks. Nat. Phys. 2012, 8, 40–48. [Google Scholar] [CrossRef]
- Zhang, Y.; Arenas, A.; Yağan, O. Cascading failures in interdependent systems under a flow redistribution model. Phys. Rev. E 2018, 97, 022307. [Google Scholar] [CrossRef]
- Shi, L.B.; Zhou, J. Vulnerability Assessment of cyber physical power system based on dynamic attack-defense game model. Autom. Electr. Power Syst. 2016, 40, 99–105. [Google Scholar]
- Buldyrev, S.; Shere, N.W.; Cwilich, G.A. Interdependent networks with identical degrees of mutually dependent nodes. Phys. Rev. E 2011, 83, 016112. [Google Scholar] [CrossRef]
- Pasqualetti, F.; Bicchi, A.; Bullo, F. A graph-theoretical characterization of power network vulnerabilities. In Proceedings of the IEEE 2011 conference on American Control Conference, San Francisco, CA, USA, 29 June 29–1 July 2011; pp. 3918–3923. [Google Scholar]
- Dong, G.; Gao, J.; Tian, L.; Du, R.; He, Y. Percolation of partially interdependent networks under targeted attack. Phys. Rev. E 2012, 85, 016112. [Google Scholar] [CrossRef]
- Ji, X.; Wang, B.; Liu, D.; Dong, Z.; Chen, G.; Zhu, Z.; Zhu, X.; Wang, X. Will electrical cyber–physical interdependent networks undergo first-order transition under random attacks? Phys. A 2016, 460, 235–245. [Google Scholar] [CrossRef]
- Dorfler, F.; Chertkov, M.; Bullo, F. Synchronization in complex oscillator networks and smart grids. Proc. Natl. Acad. Sci. USA 2013, 1, 2005–2010. [Google Scholar] [CrossRef] [PubMed]
- Belykh, I.V.; Barrett, B.N.; Vladimir, V.N. Bistability of patterns of synchrony in Kuramoto oscillators with inertia. Chaos 2016, 26, 094822. [Google Scholar] [CrossRef] [PubMed]
- Peyghami, S.; Davari, P.; Fotuhi-Firuzabad, M.; Blaabjerg, F. Standard Test Systems for Modern Power System Analysis: An Overview. IEEE Ind. Electron. Mag. 2019, 13, 86–105. [Google Scholar] [CrossRef]







Publisher’s Note: MDPI stays neutral with regard to jurisdictional claims in published maps and institutional affiliations. |
© 2022 by the authors. Licensee MDPI, Basel, Switzerland. This article is an open access article distributed under the terms and conditions of the Creative Commons Attribution (CC BY) license (https://creativecommons.org/licenses/by/4.0/).
Share and Cite
Yang, L.; Gu, Z.; Dang, Y.; He, P. Analysis of Vulnerability on Weighted Power Networks under Line Breakdowns. Entropy 2022, 24, 1449. https://doi.org/10.3390/e24101449
Yang L, Gu Z, Dang Y, He P. Analysis of Vulnerability on Weighted Power Networks under Line Breakdowns. Entropy. 2022; 24(10):1449. https://doi.org/10.3390/e24101449
Chicago/Turabian StyleYang, Lixin, Ziyu Gu, Yuanchen Dang, and Peiyan He. 2022. "Analysis of Vulnerability on Weighted Power Networks under Line Breakdowns" Entropy 24, no. 10: 1449. https://doi.org/10.3390/e24101449
APA StyleYang, L., Gu, Z., Dang, Y., & He, P. (2022). Analysis of Vulnerability on Weighted Power Networks under Line Breakdowns. Entropy, 24(10), 1449. https://doi.org/10.3390/e24101449
