Entanglement and Photon Anti-Bunching in Coupled Non-Degenerate Parametric Oscillators
Abstract
1. Introduction
2. Model
3. Large Pump Dissipation Limit
3.1. Quantum Master Equation after the Elimination of the Pump Mode
3.2. Far-Below-Threshold Entanglement
3.3. Far-Above-Threshold Entanglement
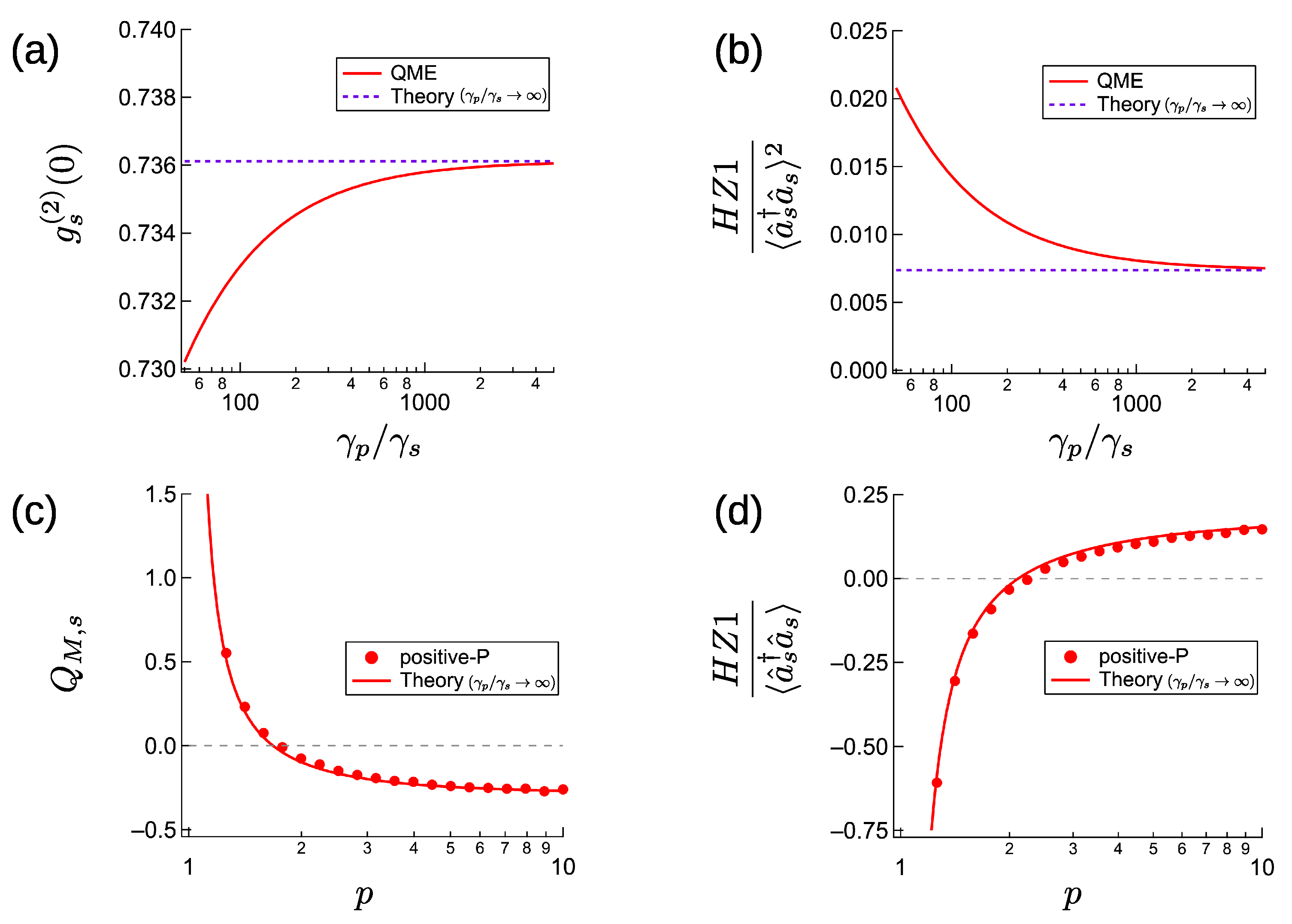
3.4. Numerical Results
4. Large Dissipative Coupling Limit
4.1. Far-Below-Threshold Entanglement
4.2. Far-Above-Threshold Entanglement
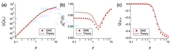
4.3. Numerical Results
5. Summary
Author Contributions
Funding
Conflicts of Interest
Appendix A. Fokker-Planck Equation and Far-Below Threshold Characteristics of Single NOPO
Appendix B. Positive-P Equations for Numerical Calculation
Appendix C. On the Fluctuations of Above-Threshold NOPO
Appendix D. Details of Above-Threshold Theory in the Large Pump Mode Dissipation Limit
Appendix E. Details of Below-Threshold Theory in the Large Dissipative Coupling Limit
Appendix F. Simon’s Criterion for Above-Threshold Entanglement

Appendix G. Quantum Characteristics of Hyper-Parametric Oscillation

References
- Wang, Z.; Marandi, A.; Wen, K.; Byer, R.L.; Yamamoto, Y. Coherent Ising machine based on degenerate optical parametric oscillators. Phys. Rev. A 2013, 88, 063853. [Google Scholar] [CrossRef]
- Marandi, A.; Wang, Z.; Takata, K.; Byer, R.L.; Yamamoto, Y. Network of time-multiplexed optical parametric oscillators as a coherent Ising machine. Nat. Photon. 2014, 8, 937–942. [Google Scholar] [CrossRef]
- Takata, K.; Marandi, A.; Yamamoto, Y. Quantum correlation in degenerate optical parametric oscillators with mutual injections. Phys. Rev. A 2015, 92, 043821. [Google Scholar] [CrossRef]
- Maruo, D.; Utsunomiya, S.; Yamamoto, Y. Truncated Wigner theory of coherent Ising machines based on degenerate optical parametric oscillator network. Phys. Scr. 2016, 91, 083010. [Google Scholar] [CrossRef]
- Takata, K.; Marandi, A.; Hamerly, R.; Haribara, Y.; Maruo, D.; Tamate, S.; Sakaguchi, H.; Utsunomiya, S.; Yamamoto, Y. A 16-bit coherent Ising machine for one-dimensional ring and cubic graph problems. Sci. Rep. 2016, 6, 1–7. [Google Scholar] [CrossRef]
- Inagaki, T.; Inaba, K.; Hamerly, R.; Inoue, K.; Yamamoto, Y.; Takesue, H. Large-scale Ising spin network based on degenerate optical parametric oscillators. Nat. Photon. 2016, 10, 415–419. [Google Scholar] [CrossRef]
- McMahon, P.L.; Marandi, A.; Haribara, Y.; Hamerly, R.; Langrock, C.; Tamate, S.; Inagaki, T.; Takesue, H.; Utsunomiya, S.; Aihara, K.; et al. A Fully Program. 100-Spin Coherent Ising Mach. All- Connections. Science 2016, 354, 614–617. [Google Scholar] [CrossRef] [PubMed]
- Inagaki, T.; Haribara, Y.; Igarashi, K.; Sonobe, T.; Tamate, S.; Honjo, T.; Marandi, A.; McMahon, P.L.; Umeki, T.; Enbutsu, K.; et al. A Coherent Ising Mach. 2000-Node Optim. Problems. Science 2016, 354, 603–606. [Google Scholar] [CrossRef] [PubMed]
- Shoji, T.; Aihara, K.; Yamamoto, Y. Quantum model for coherent Ising machines: Stochastic differential equations with replicator dynamics. Phys. Rev. A 2017, 96, 053833. [Google Scholar] [CrossRef]
- Yamamura, A.; Aihara, K.; Yamamoto, Y. Quantum model for coherent Ising machines: Discrete-time measurement feedback formulation. Phys. Rev. A 2017, 96, 053834. [Google Scholar] [CrossRef]
- Yamamoto, Y.; Aihara, K.; Leleu, T.; Kawarabayashi, K.I.; Kako, S.; Fejer, M.; Inoue, K.; Takesue, H. Coherent Ising machines—Optical neural networks operating at the quantum limit. Npj Quantum Inf. 2017, 3, 1–15. [Google Scholar] [CrossRef]
- Hamerly, R.; Inagaki, T.; McMahon, P.L.; Venturelli, D.; Marandi, A.; Onodera, T.; Ng, E.; Langrock, C.; Inaba, K.; Honjo, T.; et al. Exp. Investig. Perform. Differ. Coherent Ising Mach. A Quantum Annealer. Sci. Adv. 2019, 5, eaau0823. [Google Scholar] [CrossRef] [PubMed]
- Kako, S.; Leleu, T.; Inui, Y.; Khoyratee, F.; Reifenstein, S.; Yamamoto, Y. Coherent Ising machines with error correction feedback. Adv. Quantum Technol. 2020, 3, 2000045. [Google Scholar] [CrossRef]
- Yamamoto, Y.; Leleu, T.; Ganguli, S.; Mabuchi, H. Coherent Ising machines—Quantum optics and neural network Perspectives. Appl. Phys. Lett. 2020, 117, 160501. [Google Scholar] [CrossRef]
- Zhou, Z.Y.; Gneiting, C.; You, J.Q.; Nori, F. Generating and detecting entangled cat states in dissipatively coupled degenerate optical parametric oscillators. arXiv 2021, arXiv:2103.16090. [Google Scholar]
- Leleu, T.; Yamamoto, Y.; Utsunomiya, S.; Aihara, K. Combinatorial optimization using dynamical phase transitions in driven-dissipative systems. Phys. Rev. E 2017, 95, 022118. [Google Scholar] [CrossRef]
- Leleu, T.; Yamamoto, Y.; McMahon, P.L.; Aihara, K. Destabilization of local minima in analog spin systems by correction of amplitude heterogeneity. Phys. Rev. Lett. 2019, 122, 040607. [Google Scholar] [CrossRef]
- Sakaguchi, H.; Ogata, K.; Isomura, T.; Utsunomiya, S.; Yamamoto, Y.; Aihara, K. Boltzmann sampling by degenerate optical parametric oscillator network for structure-based virtual screening. Entropy 2016, 18, 365. [Google Scholar] [CrossRef]
- Haribara, Y.; Utsunomiya, S.; Yamamoto, Y. Computational principle and performance evaluation of coherent Ising machine based on degenerate optical parametric oscillator network. Entropy 2016, 18, 151. [Google Scholar] [CrossRef]
- Aonishi, T.; Mimura, K.; Okada, M.; Yamamoto, Y. Statistical mechanics of CDMA multiuser detector implemented in coherent Ising machine. J. Appl. Phys. 2018, 124, 233102. [Google Scholar] [CrossRef]
- Ng, E.; Onodera, T.; Kako, S.; McMahon, P.L.; Mabuchi, H.; Yamamoto, Y. Efficient sampling of ground and low-energy Ising spin configurations with a coherent Ising machine. arXiv 2021, arXiv:2103.05629. [Google Scholar]
- Caves, C.M. Quantum limits on noise in linear amplifiers. Phys. Rev. D 1982, 26, 1817. [Google Scholar] [CrossRef]
- Inui, Y.; Yamamoto, Y. Entanglement and quantum discord in optically coupled coherent Ising machines. Phys. Rev. A 2020, 102, 062419. [Google Scholar] [CrossRef]
- Eckhouse, V.; Fridman, M.; Davidson, N.; Friesem, A.A. Loss enhanced phase locking in coupled oscillators. Phys. Rev. Lett. 2008, 100, 024102. [Google Scholar] [CrossRef] [PubMed]
- Nixon, M.; Ronen, E.; Friesem, A.A.; Davidson, N. Observing geometric frustration with thousands of coupled lasers. Phys. Rev. Lett. 2013, 110, 184102. [Google Scholar] [CrossRef] [PubMed]
- Pal, V.; Tradonsky, C.; Chriki, R.; Friesem, A.A.; Davidson, N. Observing dissipative topological defects with coupled lasers. Phys. Rev. Lett. 2017, 119, 013902. [Google Scholar] [CrossRef]
- Berloff, N.G.; Silva, M.; Kalinin, K.; Askitopoulos, A.; Töpfer, J.D.; Cilibrizzi, P.; Langbein, W.; Lagoudakis, P.G. Realizing the classical XY Hamiltonian in polariton simulators. Nat. Mater. 2017, 16, 1120–1126. [Google Scholar] [CrossRef]
- Kalinin, K.P.; Berloff, N.G. Networks of non-equilibrium condensates for global optimization. New J. Phys. 2018, 20, 113023. [Google Scholar] [CrossRef]
- Walls, D.F.; Milburn, G.J. Quantum Optics; Springer Science & Business Media: Berlin, Germany, 2007. [Google Scholar]
- Takeda, Y.; Tamate, S.; Yamamoto, Y.; Takesue, H.; Inagaki, T.; Utsunomiya, S. Boltzmann sampling for an XY model using a non-degenerate optical parametric oscillator network. Quantum Sci. Technol. 2017, 3, 014004. [Google Scholar] [CrossRef]
- Agarwal, G.S.; Gupta, S.D. Steady states in cavity QED due to incoherent pumping. Phys. Rev. A 1990, 42, 1737. [Google Scholar] [CrossRef]
- Gartner, P. Two-level laser: Analytical results and the laser transition. Phys. Rev. A 2011, 84, 053804. [Google Scholar] [CrossRef]
- Pellizzari, T.; Ritsch, H. Preparation of stationary Fock states in a one-atom Raman laser. Phys. Rev. Lett. 1994, 72, 3973. [Google Scholar] [CrossRef] [PubMed]
- Yamamoto, Y.; Machida, S.; Nilsson, O. Amplitude squeezing in a pump-noise-suppressed laser oscillator. Phys. Rev. A 1986, 34, 4025. [Google Scholar] [CrossRef] [PubMed]
- Ritsch, H.; Marte, M.A.M.; Zoller, P. Quantum noise reduction in Raman lasers. Europhys. Lett. 1992, 19, 7. [Google Scholar] [CrossRef]
- Gheri, K.M.; Walls, D.F. Sub-shot-noise lasers without inversion. Phys. Rev. Lett. 1992, 68, 3428. [Google Scholar] [CrossRef]
- Ralph, T.C. Squeezing from lasers. In Quantum Squeezing; Springer: Berlin/Heidelberg, Germany, 2004; pp. 141–170. [Google Scholar]
- Björk, G.; Yamamoto, Y. Phase correlation in nondegenerate parametric oscillators and amplifiers: Theory and applications. Phys. Rev. A 1988, 37, 1991. [Google Scholar] [CrossRef]
- Roos, P.A.; Murphy, S.K.; Meng, L.S.; Carlsten, J.L.; Ralph, T.C.; White, A.G.; Brasseur, J.K. Quantum theory of the far-off-resonance continuous-wave Raman laser: Heisenberg-Langevin approach. Phys. Rev. A 2003, 68, 013802. [Google Scholar] [CrossRef]
- Drummond, P.D.; Gardiner, C.W. Generalised P-representations in quantum optics. J. Phys. A 1980, 13, 2353. [Google Scholar] [CrossRef]
- Gilchrist, A.; Gardiner, C.W.; Drummond, P.D. Positive P representation: Application and validity. Phys. Rev. A 1997, 55, 3014. [Google Scholar] [CrossRef]
- Mølmer, K.; Castin, Y.; Dalibard, J. Monte Carlo wave-function method in quantum optics. JOSA B 1993, 10, 524–538. [Google Scholar] [CrossRef]
- Shen, Y.R. Quantum statistics of nonlinear optics. Phys. Rev. 1967, 155, 921. [Google Scholar] [CrossRef]
- Walls, D.F. A master equation approach to the Raman effect. J. Phys. A 1973, 6, 496. [Google Scholar] [CrossRef]
- McNeil, K.J.; Walls, D.F. A master equation approach to nonlinear optics. J. Phys. A 1974, 7, 617. [Google Scholar] [CrossRef]
- Holland, M.J.; Collett, M.J.; Walls, D.F.; Levenson, M.D. Nonideal quantum nondemolition measurements. Phys. Rev. A 1990, 42, 2995. [Google Scholar] [CrossRef] [PubMed]
- Koga, K.; Yamamoto, N. Dissipation-induced pure Gaussian state. Phys. Rev. A 2012, 85, 022103. [Google Scholar] [CrossRef]
- Goto, H. Quantum computation based on quantum adiabatic bifurcations of Kerr-nonlinear parametric oscillators. J. Phys. Soc. Jpn. 2019, 88, 061015. [Google Scholar] [CrossRef]
- Linowski, T.; Gneiting, C.; Rudnicki, Ł. Stabilizing entanglement in two-mode Gaussian states. Phys. Rev. A 2020, 102, 042405. [Google Scholar] [CrossRef]
- Hillery, M.; Zubairy, M.S. Entanglement conditions for two-mode states. Phys. Rev. Lett. 2006, 96, 050503. [Google Scholar] [CrossRef]
- Duan, L.M.; Giedke, G.; Cirac, J.I.; Zoller, P. Inseparability criterion for continuous variable systems. Phys. Rev. Lett. 2000, 84, 2722. [Google Scholar] [CrossRef]
- Hillery, M.; Zubairy, M.S. Entanglement conditions for two-mode states: Applications. Phys. Rev. A 2006, 74, 032333. [Google Scholar] [CrossRef]
- Drummond, P.D.; Walls, D.F. Quantum theory of optical bistability. I. Nonlinear polarisability model. J. Phys. A 1980, 13, 725. [Google Scholar] [CrossRef]
- Drummond, P.D.; Gardiner, C.W.; Walls, D.F. Quasiprobability methods for nonlinear chemical and optical systems. Phys. Rev. A 1981, 24, 914. [Google Scholar] [CrossRef]
- Scully, M.; Lamb, W.E., Jr. Quantum theory of an optical maser. Phys. Rev. Lett. 1966, 16, 853. [Google Scholar] [CrossRef]
- Mandel, L. Sub-Poissonian photon statistics in resonance fluorescence. Opt. Lett. 1979, 4, 205–207. [Google Scholar] [CrossRef] [PubMed]
- Björk, G.; Karlsson, A.; Yamamoto, Y. Definition of a laser threshold. Phys. Rev. A 1994, 50, 1675. [Google Scholar] [CrossRef]
- Simon, R. Peres-Horodecki separability criterion for continuous variable systems. Phys. Rev. Lett. 2000, 84, 2726. [Google Scholar] [CrossRef]
- Wang, X. Entanglement in the quantum Heisenberg XY model. Phys. Rev. A 2001, 64, 012313. [Google Scholar] [CrossRef]
- Lu, J.; Li, M.; Zou, C.L.; Al Sayem, A.; Tang, H.X. Toward 1% single-photon anharmonicity with periodically poled lithium niobate microring resonators. Optica 2020, 7, 1654–1659. [Google Scholar] [CrossRef]
- Boyraz, O.; Jalali, B. Demonstration of a silicon Raman laser. Opt. Express 2004, 12, 5269–5273. [Google Scholar] [CrossRef]
- Yang, X.; Wong, C.W. Coupled-mode theory for stimulated Raman scattering in high-Q/Vm silicon photonic band gap defect cavity lasers. Opt. Express 2007, 15, 4763–4780. [Google Scholar] [CrossRef]
- Takahashi, Y.; Inui, Y.; Chihara, M.; Asano, T.; Terawaki, R.; Noda, S. A micrometre-scale Raman silicon laser with a microwatt threshold. Nature 2013, 498, 470–474. [Google Scholar] [CrossRef] [PubMed]
- Sato, Y.; Tanaka, Y.; Upham, J.; Takahashi, Y.; Asano, T.; Noda, S. Strong coupling between distant photonic nanocavities and its dynamic control. Nat. Photon. 2012, 6, 56–61. [Google Scholar] [CrossRef]
- Dadap, J.I.; Espinola, R.L.; Osgood, R.M.; McNab, S.J.; Vlasov, Y.A. Spontaneous Raman scattering in ultrasmall silicon waveguides. Opt. Lett. 2004, 29, 2755–2757. [Google Scholar] [CrossRef] [PubMed]
- Asano, T.; Noda, S. Optimization of photonic crystal nanocavities based on deep learning. Opt. Express 2018, 26, 32704–32717. [Google Scholar] [CrossRef]
- Adesso, G.; Serafini, A.; Illuminati, F. Extremal entanglement and mixedness in continuous variable systems. Phys. Rev. A 2004, 70, 022318. [Google Scholar] [CrossRef]
- Simaan, H.D. A master equation approach to the hyper-Raman effect. J. Phys. A 1978, 11, 1799. [Google Scholar] [CrossRef]




Publisher’s Note: MDPI stays neutral with regard to jurisdictional claims in published maps and institutional affiliations. |
© 2021 by the authors. Licensee MDPI, Basel, Switzerland. This article is an open access article distributed under the terms and conditions of the Creative Commons Attribution (CC BY) license (https://creativecommons.org/licenses/by/4.0/).
Share and Cite
Inui, Y.; Yamamoto, Y. Entanglement and Photon Anti-Bunching in Coupled Non-Degenerate Parametric Oscillators. Entropy 2021, 23, 624. https://doi.org/10.3390/e23050624
Inui Y, Yamamoto Y. Entanglement and Photon Anti-Bunching in Coupled Non-Degenerate Parametric Oscillators. Entropy. 2021; 23(5):624. https://doi.org/10.3390/e23050624
Chicago/Turabian StyleInui, Yoshitaka, and Yoshihisa Yamamoto. 2021. "Entanglement and Photon Anti-Bunching in Coupled Non-Degenerate Parametric Oscillators" Entropy 23, no. 5: 624. https://doi.org/10.3390/e23050624
APA StyleInui, Y., & Yamamoto, Y. (2021). Entanglement and Photon Anti-Bunching in Coupled Non-Degenerate Parametric Oscillators. Entropy, 23(5), 624. https://doi.org/10.3390/e23050624
