Entropic Uncertainty for Two Coupled Dipole Spins Using Quantum Memory under the Dzyaloshinskii–Moriya Interaction
Abstract
:1. Introduction
2. Dipole–Dipole Two-Spin System
3. Quantum Preliminaries of Relations
3.1. Entropic Uncertainty
3.2. Tightness
3.3. Quantum Information Resources
- EntanglementHere, the entanglement between the two dipole coupled spins is investigated using the concurrence [59], which is presented by:wherefor the extreme entangled states and , for the separable cases.
- Two-spin quantum coherenceBased on the two-spin density matrix of Equation (6), the two-spin quantum coherence (mixedness) is investigated using the linear entropy [60], which can be given as:where d is the dimension of state . If , the two-spin state is pure state. Otherwise, it has partial or maximal mixedness.
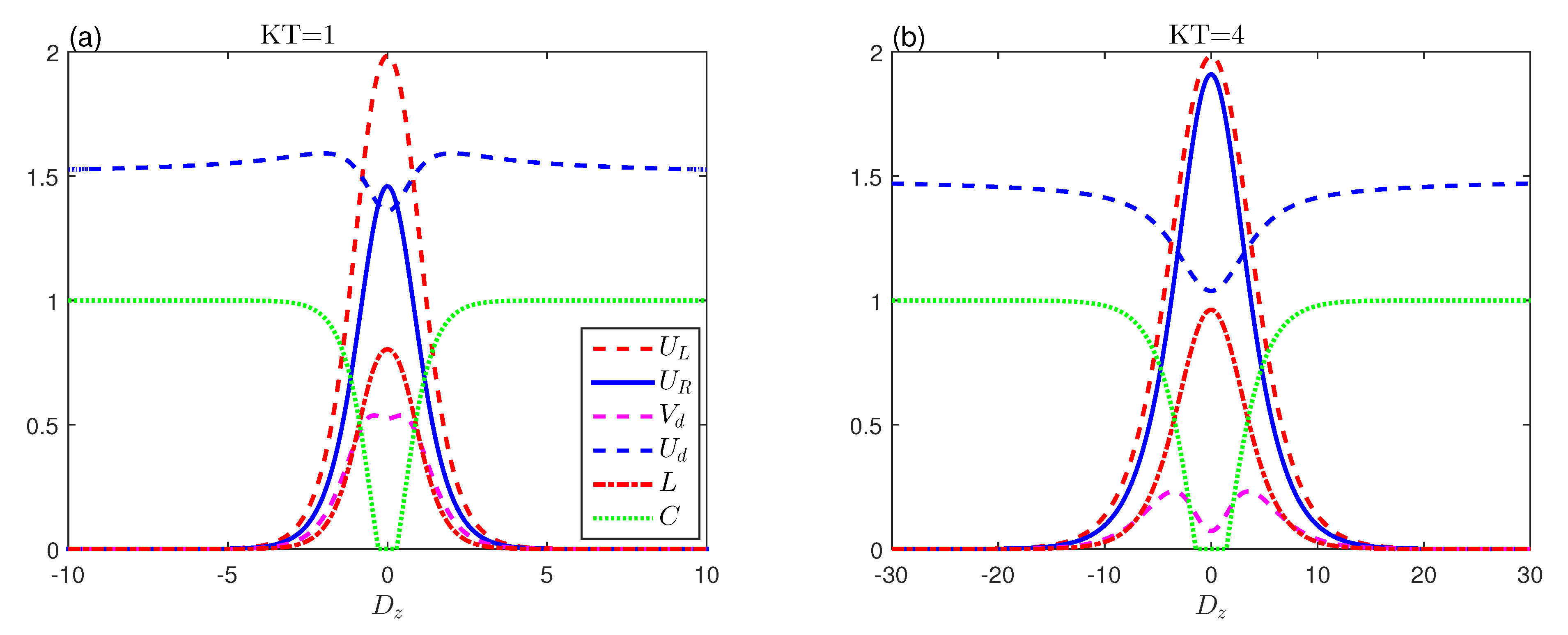
4. Results and Discussion
5. Conclusions
Author Contributions
Funding
Institutional Review Board Statement
Informed Consent Statement
Data Availability Statement
Conflicts of Interest
References
- Heisenberg, W. The Actual Content of Quantum Theoretical Kinematics and Mechanics. Z. Phys. 1927, 43, 172–198. [Google Scholar] [CrossRef]
- Kennard, E.H. Zur Quantenmechanik einfacher Bewegungstypen. Z. Phys. 1927, 44, 326–352. [Google Scholar] [CrossRef]
- Deutsch, D. Uncertainty in quantum measurements. Phys. Rev. Lett. 1983, 50, 631. [Google Scholar] [CrossRef]
- Birula, I.B. Formulation of the uncertainty relations in terms of the Rényi entropies. Phys. Rev. A 2006, 74, 052101. [Google Scholar] [CrossRef] [Green Version]
- Coles, P.J.; Piani, M. Improved entropic uncertainty relations and information exclusion relations. Phys. Rev. A 2014, 89, 022112. [Google Scholar] [CrossRef] [Green Version]
- Einstein, A.; Podolsky, B.; Rosen, N. Can quantum-mechanical description of physical reality be considered complete? Phys. Rev. 1935, 47, 777. [Google Scholar] [CrossRef] [Green Version]
- Hofmann, H.F.; Takeuchi, S. Violation of local uncertainty relations as a signature of entanglement. Phys. Rev. A 2003, 68, 032103. [Google Scholar] [CrossRef] [Green Version]
- Howell, J.C.; Bennink, R.S.; Bentley, S.J.; Boyd, R.W. Realization of the Einstein-Podolsky-Rosen paradox using momentum-and position-entangled photons from spontaneous parametric down conversion. Phys. Rev. Lett. 2004, 92, 210403. [Google Scholar] [CrossRef] [Green Version]
- Bowen, W.P.; Schnabel, R.; Lam, P.K.; Ralph, T.C. Experimental investigation of criteria for continuous variable entanglement. Phys. Rev. Lett. 2003, 90, 043601. [Google Scholar]
- Mańko, O.V.; Mańko, V.I. Probability Representation of Quantum States. Entropy 2021, 23, 549. [Google Scholar] [CrossRef]
- Renes, J.M.; Boileau, J.-C. Conjectured strong complementary information tradeoff. Phys. Rev. Lett. 2009, 103, 020402. [Google Scholar] [CrossRef] [Green Version]
- Tomamichel, M.; Renner, R. Uncertainty relation for smooth entropies. Phys. Rev. Lett. 2011, 106, 110506. [Google Scholar] [CrossRef] [PubMed]
- Li, C.F.; Xu, J.S.; Xu, X.Y.; Li, K.; Guo, G.C. Experimental investigation of the entanglement-assisted entropic uncertainty principle. Nat. Phys. 2011, 7, 752–756. [Google Scholar] [CrossRef]
- Prevedel, R.; Hamel, D.R.; Colbeck, R.; Fisher, K.; Resch, K.J. Experimental investigation of the uncertainty principle in the presence of quantum memory and its application to witnessing entanglement. Nat. Phys. 2011, 7, 757–761. [Google Scholar] [CrossRef] [Green Version]
- Horodecki, R.; Horodecki, P.; Horodecki, M.; Horodecki, K. Quantum entanglement. Rev. Mod. Phys. 2009, 81, 865. [Google Scholar] [CrossRef] [Green Version]
- Berta, M.; Christandl, M.; Colbeck, R.; Renes, J.M.; Renner, R. The uncertainty principle in the presence of quantum memory. Nat. Phys. 2010, 6, 659–662. [Google Scholar] [CrossRef]
- Huang, A.-J.; Wang, D.; Wang, J.-M.; Shi, J.-D.; Sun, W.-Y.; Ye, L. Exploring entropic uncertainty relation in the Heisenberg XX model with inhomogeneous magnetic field. Quantum Inf. Process. 2017, 16, 1–11. [Google Scholar] [CrossRef]
- Hu, M.L.; Fan, H. Quantum-memory-assisted entropic uncertainty principle, teleportation, and entanglement witness in structured reservoirs. Phys. Rev. A 2012, 86, 032338. [Google Scholar] [CrossRef] [Green Version]
- Zou, H.-M.; Fang, M.-F.; Yang, B.-Y.; Guo, Y.-N.; He, W.; Zhang, S.-Y. The quantum entropic uncertainty relation and entanglement witness in the two-atom system coupling with the non-Markovian environments. Phys. Scr. 2014, 89, 115101. [Google Scholar] [CrossRef] [Green Version]
- Dupuis, F.; Fawzi, O.; Wehner, S. Entanglement sampling and applications. IEEE Trans. Inf. Theory 2014, 61, 1093–1112. [Google Scholar] [CrossRef] [Green Version]
- König, R.; Wehner, S.; Wullschleger, J. Unconditional security from noisy quantum storage. IEEE Trans. Inf. Theory 2012, 58, 1962. [Google Scholar] [CrossRef]
- Cerf, N.J.; Bourennane, M.; Karlsson, A.; Gisin, N. Security of quantum key distribution using d-level systems. Phys. Rev. Lett. 2002, 88, 127902. [Google Scholar] [CrossRef] [Green Version]
- Grosshans, F.; Cerf, N.J. Continuous-variable quantum cryptography is secure against non-Gaussian attacks. Phys. Rev. Lett. 2004, 92, 047905. [Google Scholar] [CrossRef] [PubMed] [Green Version]
- Mondal, D.; Pati, A.K. Quantum speed limit for mixed states using an experimentally realizable metric. Phys. Lett. A 2016, 380, 1395–1400. [Google Scholar] [CrossRef] [Green Version]
- Pires, D.P.; Cianciaruso, M.; Céleri, L.C.; Adesso, G.; Soares-Pinto, D.O. Generalized geometric quantum speed limits. Phys. Rev. X 2016, 6, 021031. [Google Scholar] [CrossRef] [Green Version]
- Hall, M.J.W.; Wiseman, H.M. Heisenberg-style bounds for arbitrary estimates of shift parameters including prior information. New J. Phys. 2012, 14, 033040. [Google Scholar] [CrossRef]
- Xu, Z.Y.; Yang, W.L.; Feng, M. Quantum-memory-assisted entropic uncertainty relation under noise. Phys. Rev. A 2012, 86, 012113. [Google Scholar] [CrossRef] [Green Version]
- Huang, A.-J.; Shi, J.-D.; Wang, D.; Ye, L. Steering quantum-memory-assisted entropic uncertainty under unital and nonunital noises via filtering operations. Quantum Inf. Process. 2017, 16, 46. [Google Scholar] [CrossRef]
- Xing, J.; Zhang, Y.-R.; Liu, S.; Chang, Y.-C.; Yue, J.-D.; Fan, H.; Pan, X.-Y. Experimental investigation of quantum entropic uncertainty relations for multiple measurements in pure diamond. Sci. Rep. 2017, 7, 2563. [Google Scholar] [CrossRef] [Green Version]
- Mal, S.; Pramanik, T.; Majumdar, A.S. Detecting mixedness of qutrit systems using the uncertainty relation. Phys. Rev. A 2013, 87, 012105. [Google Scholar] [CrossRef] [Green Version]
- Li, J.-Q.; Bai, L.; Liang, J.-Q. Entropic uncertainty relation under multiple bosonic reservoirs with filtering operator. Quantum Inf. Process. 2018, 17, 1–15. [Google Scholar] [CrossRef] [Green Version]
- Zheng, X.; Zhang, G.-F. The effects of mixedness and entanglement on the properties of the entropic uncertainty in Heisenberg model with Dzyaloshinski-Moriya interaction. Quantum Inf. Process. 2017, 16, 1–14. [Google Scholar] [CrossRef]
- Zhang, J.; Liu, L.; Han, Y. Tightness Entropic Uncertainty Relation in Quantum Markovian-Davies Environment. Int. J. Theor. Phys. 2018, 57, 2523–2535. [Google Scholar] [CrossRef]
- Yang, Y.-Y.; Sun, W.-Y.; Shi, W.-N.; Ming, F.; Wang, D.; Ye1, L. Dynamical characteristic of measurement uncertainty under Heisenberg spin models with Dzyaloshinskii-Moriya interactions. Front. Phys. 2019, 14, 31601. [Google Scholar] [CrossRef]
- Abdelghany, R.A.; Mohamed, A.-B.A.; Tammam, M.; Obada, A.-S.F. Dynamical characteristic of entropic uncertainty relation in the long-range Ising model with an arbitrary magnetic field. Quantum Inf. Process. 2020, 19, 392. [Google Scholar] [CrossRef]
- Fang, B.-L.; Shi, J.; Wu, T. Quantum-memory-assisted entropic uncertainty relation and quantum coherence in structured reservoir. Int. J. Theor. Phys. 2020, 59, 763–771. [Google Scholar] [CrossRef]
- Haseli, S.; Ahmadi, F. Protecting the entropic uncertainty lower bound in Markovian and non-Markovian environment via additional qubits. Eur. Phys. J. D 2020, 74, 1–6. [Google Scholar] [CrossRef]
- Wilde, M.M. Quantum Information Theory; Cambridge University Press: Cambridge, UK, 2013. [Google Scholar]
- Awschalom, D.D.; Hanson, R.; Wrachtrup, J.; Zhou, B.B. Quantum technologies with optically interfaced solid-state spins. Nat. Photon. 2018, 12, 516. [Google Scholar] [CrossRef]
- Abdel-Aty, A.H.; Khedr, A.N.; Saddeek, Y.B.; Youssef, A.A. Thermal entanglement in quantum annealing processor. Int. J. Quantum Inf. 2018, 16, 1850006. [Google Scholar] [CrossRef]
- Abdel-Aty, A.H.; Khedr, A.N.; Youssef, A.A.; Saddeek, Y.B. Entanglement of thermal state of quantum annealing processor. Ther. Sci. 2020, 24, 325. [Google Scholar] [CrossRef]
- Furman, G.B.; Meerovich, V.M.; Sokolovsky, V.L. Entanglement of dipolar coupling spins. Quantum Inf. Process. 2011, 10, 307–315. [Google Scholar] [CrossRef]
- Furman, G.B.; Meerovich, V.M.; Sokolovsky, V.L. Entanglement in dipolar coupling spin system in equilibrium state. Quantum Inf. Process. 2012, 11, 1603–1617. [Google Scholar] [CrossRef]
- Yun, S.J.; Kim, J.; Nam, C.H. Ising interaction between two qubits composed of the highest magnetic quantum number states through magnetic dipole–dipole interaction. J. Phys. B 2015, 48, 075501. [Google Scholar] [CrossRef] [Green Version]
- Dolde, F.; Jakobi, I.; Naydenov, B.; Zhao, N.; Pezzagna, S.; Trautmann, C.; Meijer, J.; Neumann, P.; Jelezko, F. Room-temperature entanglement between single defect spins in diamond. Nat. Phys. 2013, 9, 139–143. [Google Scholar] [CrossRef] [Green Version]
- Choi, J.; Zhou, H.; Choi, S.; Landig, R.; Ho, W.W.; Isoya, J. Probing quantum thermalization of a disordered dipolar spin ensemble with discrete time-crystalline order. Phys. Rev. Lett. 2019, 122, 043603. [Google Scholar] [CrossRef] [PubMed] [Green Version]
- Mohamed, A.-B.A.; Hessian, H.A.; Eleuch, H. Generation of quantum coherence in two-qubit cavity system: Qubit-dipole coupling and decoherence effects. Phys. Scr. 2020, 95, 075104. [Google Scholar] [CrossRef]
- Mohamed, A.-B.A. Geometric measure of nonlocality and quantum discord of two charge qubits with phase decoherence and dipole-dipole interaction. Rep. Math. Phys. 2013, 72, 121–132. [Google Scholar] [CrossRef]
- Da Hu, Z.; Wang, J.; Zhang, Y.; Qi Zhang, Y. Sudden transitions of trace distance discord of dipole-dipole coupled two qubits. Int. J. Mod. Phys. B 2015, 29, 1550138. [Google Scholar]
- Khan, S.; Jan, M. The effect of dipole-dipole interaction on tripartite entanglement in different cavities. Int. J. Theor. Phys. 2016, 55, 1515. [Google Scholar] [CrossRef] [Green Version]
- Mohamed, A.-B.A.; Khalil, E.M.; Selim, M.M.; Eleuch, H. Quantum Fisher Information and Bures Distance Correlations of Coupled Two Charge-Qubits Inside a Coherent Cavity with the Intrinsic Decoherence. Symmetry 2021, 13, 352. [Google Scholar] [CrossRef]
- Klauder, J.R.; Anderson, P.W. Spectral diffusion decay in spin resonance experiments. Phys. Rev. 1962, 125, 912. [Google Scholar] [CrossRef]
- Ota, T.; Yusa, G.; Kumada, N.; Miyashita, S.; Fujisawa, T.; Hirayama, Y. Decoherence of nuclear spins due to dipole-dipole interactions probed by resistively detected nuclear magnetic resonance. Appl. Phys. Lett. 2007, 91, 193101. [Google Scholar] [CrossRef] [Green Version]
- Annabestani, R.; Cory, D.G. Dipolar relaxation mechanism of long-lived states of methyl groups. Quantum Inf. Process. 2018, 17, 1–25. [Google Scholar] [CrossRef] [PubMed] [Green Version]
- Grimaudo, R.; Messina, A.; Nakazato, H. Exactly solvable time-dependent models of two interacting two-level systems. Phys. Rev. A 2016, 94, 022108. [Google Scholar] [CrossRef] [Green Version]
- Grimaudo, R.; Nakazato, H.; Messina, A. Two-qubit entanglement generation through non-Hermitian Hamiltonians induced by repeated measurements on an ancilla. Phys. Rev. Res. 2020, 2, 033092. [Google Scholar] [CrossRef]
- Castro, C.S.; Duarte, O.S.; Pires, D.P.; Soares-Pinto, D.O.; Reis, M.S. Thermal entanglement and teleportation in a dipolar interacting system. Nat. Phys. 2016, 380, 1571. [Google Scholar] [CrossRef]
- Reis, M.S. Fundamentals of Magnetism; Elsevier: New York, NY, USA, 2013. [Google Scholar]
- Wootters, W.K. Entanglement of formation of an arbitrary state of two qubits. Phys. Rev. Lett. 1998, 80, 2245. [Google Scholar] [CrossRef] [Green Version]
- Peters, N.A.; Wei, T.-C.; Kwiat, P.G. Mixed-state sensitivity of several quantum-information benchmarks. Phys. Rev. A 2004, 70, 052309. [Google Scholar] [CrossRef] [Green Version]
- Yu, T.; Eberly, J.H. Finite-time disentanglement via spontaneous emission. Phys. Rev. Lett. 2004, 93, 140404. [Google Scholar] [CrossRef] [Green Version]
- Mohamed, A.-B.A.; Hessian, H.A. Entanglement death and purity loss in a superconducting qubit coupled to a dephasing cavity. Phys. E 2012, 44, 1552. [Google Scholar] [CrossRef]






Publisher’s Note: MDPI stays neutral with regard to jurisdictional claims in published maps and institutional affiliations. |
© 2021 by the authors. Licensee MDPI, Basel, Switzerland. This article is an open access article distributed under the terms and conditions of the Creative Commons Attribution (CC BY) license (https://creativecommons.org/licenses/by/4.0/).
Share and Cite
Khedr, A.N.; Mohamed, A.-B.A.; Abdel-Aty, A.-H.; Tammam, M.; Abdel-Aty, M.; Eleuch, H. Entropic Uncertainty for Two Coupled Dipole Spins Using Quantum Memory under the Dzyaloshinskii–Moriya Interaction. Entropy 2021, 23, 1595. https://doi.org/10.3390/e23121595
Khedr AN, Mohamed A-BA, Abdel-Aty A-H, Tammam M, Abdel-Aty M, Eleuch H. Entropic Uncertainty for Two Coupled Dipole Spins Using Quantum Memory under the Dzyaloshinskii–Moriya Interaction. Entropy. 2021; 23(12):1595. https://doi.org/10.3390/e23121595
Chicago/Turabian StyleKhedr, Ahmad N., Abdel-Baset A. Mohamed, Abdel-Haleem Abdel-Aty, Mahmoud Tammam, Mahmoud Abdel-Aty, and Hichem Eleuch. 2021. "Entropic Uncertainty for Two Coupled Dipole Spins Using Quantum Memory under the Dzyaloshinskii–Moriya Interaction" Entropy 23, no. 12: 1595. https://doi.org/10.3390/e23121595
APA StyleKhedr, A. N., Mohamed, A.-B. A., Abdel-Aty, A.-H., Tammam, M., Abdel-Aty, M., & Eleuch, H. (2021). Entropic Uncertainty for Two Coupled Dipole Spins Using Quantum Memory under the Dzyaloshinskii–Moriya Interaction. Entropy, 23(12), 1595. https://doi.org/10.3390/e23121595

