Reinforcement Learning-Based Multihop Relaying: A Decentralized Q-Learning Approach
Abstract
1. Introduction
2. System Model and Optimization-Based Relay Selection
2.1. Communication Model
2.2. Optimization-Based Relay Selection
2.2.1. Optimal Selection
2.2.2. Conventional Decentralized Selection
3. Q-Learning-Based Multihop Relaying
3.1. Initialization
3.2. Training
3.3. Prediction
| Algorithm 1. Q-learning-based multihop relay selection. |
| Phase 1. Initialization |
| for |
| evaluates and collects for all and k |
| generates a reward table and initializes it by (7) |
| generates a Q-table. |
| if |
| , all Q-values are set to be 0. |
| else |
| Q-values are duplicated from reward table. |
| end |
| Phase 2. Training |
| while (1) |
| for |
| randomly selects an action from |
| Request and from |
| Update the using (8) |
| end |
| Compute end-to-end rate |
| If |
| break |
| else |
| end |
| end |
| Phase 3. Prediction |
| Let |
| for |
| searches in its Q-table and selects the best relay using (12) |
| Notify to |
| receives the signal transmitted from , and broadcasts it to |
| end |
4. Performance Evaluation
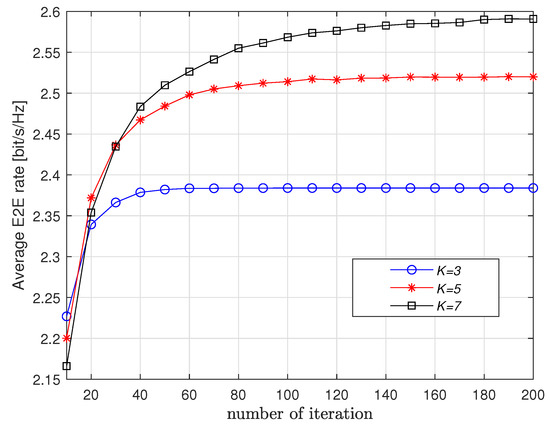
4.1. Simulation Results
4.2. Cost Analysis
4.2.1. Computational Complexity
4.2.2. CSI Amount
5. Conclusions
Author Contributions
Funding
Data Availability Statement
Conflicts of Interest
References
- Boddapati, H.K.; Bhatnagar, M.R.; Prakriya, S. Performance Analysis of Cluster-Based Multi-Hop Underlay CRNs Using Max-Link-Selection Protocol. IEEE Trans. Cogn. Commun. Netw. 2018, 4, 15–29. [Google Scholar] [CrossRef]
- Senanayake, R.; Atapattu, S.; Evans, J.S.; Smith, P.J. Decentralized Relay Selection in Multi-User Multihop Decode-and-Forward Relay Networks. IEEE Trans. Wirel. Commun. 2018, 17, 3313–3326. [Google Scholar] [CrossRef]
- Duy, T.; Kong, H. Secrecy Performance Analysis of Multihop Transmission Protocols in Cluster Networks. Wirel. Pers. Commun. 2015, 82, 2505–2518. [Google Scholar] [CrossRef]
- Wang, X.; Su, Z.; Wang, G. Secure Connectivity Probability of Multi-hop Clustered Randomize-and-Forward Networks. ETRI J. 2017, 39, 729–736. [Google Scholar] [CrossRef][Green Version]
- Joung, J. Machine Learning-Based Antenna Selection in Wireless Communications. IEEE Commun. Lett. 2016, 20, 2241–2244. [Google Scholar] [CrossRef]
- He, D.; Liu, C.; Quek, T.Q.S.; Wang, H. Transmit Antenna Selection in MIMO Wiretap Channels: A Machine Learning Approach. IEEE Wirel. Commun. Lett. 2018, 7, 634–637. [Google Scholar] [CrossRef]
- Wang, X. Decision-Tree-Based Relay Selection in Dualhop Wireless Communications. IEEE Trans. Veh. Technol. 2019, 68, 6212–6216. [Google Scholar] [CrossRef]
- Wang, X.; Liu, F. Data-Driven Relay Selection for Physical-Layer Security: A Decision Tree Approach. IEEE Access 2020, 8, 12105–12116. [Google Scholar] [CrossRef]
- Nguyen, T.T.; Lee, J.H.; Nguyen, M.T.; Kim, Y.H. Machine Learning-Based Relay Selection for Secure Transmission in Multi-Hop DF Relay Networks. Electronics 2019, 8, 949. [Google Scholar] [CrossRef]
- Fan, Z.; Gu, X.; Nie, S.; Chen, M. D2D power control based on supervised and unsupervised learning. In Proceedings of the 2017 3rd IEEE International Conference on Computer and Communications (ICCC), Chengdu, China, 13–16 December 2017; pp. 558–563. [Google Scholar]
- He, C.; Zhou, Y.; Qian, G.; Li, X.; Feng, D. Energy Efficient Power Allocation Based on Machine Learning Generated Clusters for Distributed Antenna Systems. IEEE Access 2019, 7, 59575–59584. [Google Scholar] [CrossRef]
- Liang, L.; Ye, H.; Li, G.Y. Spectrum Sharing in Vehicular Networks Based on Multi-Agent Reinforcement Learning. IEEE J. Sel. Areas Commun. 2019, 37, 2282–2292. [Google Scholar] [CrossRef]
- He, X.; Jiang, H.; Song, Y.; He, C.; Xiao, H. Routing Selection With Reinforcement Learning for Energy Harvesting Multi-Hop CRN. IEEE Access 2019, 7, 54435–54448. [Google Scholar] [CrossRef]
- Huang, C.; Chen, G.; Gong, Y.; Xu, P. Deep Reinforcement Learning Based Relay Selection in Delay-Constrained Secure Buffer-Aided CRNs. In Proceedings of the GLOBECOM 2020—2020 IEEE Global Communications Conference, Taipei, Taiwan, 7–11 December 2020; pp. 1–6. [Google Scholar]
- Wang, X.; Jin, T.; Hu, L.; Qian, Z. Energy-Efficient Power Allocation and Q-Learning-Based Relay Selection for Relay-Aided D2D Communication. IEEE Trans. Veh. Technol. 2020, 69, 6452–6462. [Google Scholar] [CrossRef]
- Zhao, B.; Ren, G.; Dong, X.; Zhang, H. Distributed Q-Learning Based Joint Relay Selection and Access Control Scheme for IoT-Oriented Satellite Terrestrial Relay Networks. IEEE Commun. Lett. 2021, 25, 1901–1905. [Google Scholar] [CrossRef]
- Su, Y.; Lu, X.; Zhao, Y.; Huang, L.; Du, X. Cooperative Communications With Relay Selection Based on Deep Reinforcement Learning in Wireless Sensor Networks. IEEE Sens. J. 2019, 19, 9561–9569. [Google Scholar] [CrossRef]
- Jadoon, M.A.; Kim, S. Relay selection algorithm for wireless cooperative networks: A learning-based approach. IET Commun. 2017, 11, 1061–1066. [Google Scholar] [CrossRef]
- Watkins, C.; Dayan, P. Technical Note: Q-Learning. Mach. Learn. 1992, 8, 279–292. [Google Scholar] [CrossRef]





| ... | ||||
|---|---|---|---|---|
| ... | ||||
| ... | ||||
| ... | ... | ... | ... | ... |
| ... |
| ... | ||||
|---|---|---|---|---|
| ... | ||||
| ... | ||||
| ... | ... | ... | ... | ... |
| ... |
| Transmit Power | 30 dB |
|---|---|
| noise power | 1 |
| learning rate | 1 |
| discount factor | 0.4 |
| fading parameter | 1 |
| convergence threshold |
| Complexity | CSI Amount | E2E Rate | |
|---|---|---|---|
| optimal | optimal | ||
| conventional decentralized | below optimal | ||
| Q-learning | near optimal |
Publisher’s Note: MDPI stays neutral with regard to jurisdictional claims in published maps and institutional affiliations. |
© 2021 by the authors. Licensee MDPI, Basel, Switzerland. This article is an open access article distributed under the terms and conditions of the Creative Commons Attribution (CC BY) license (https://creativecommons.org/licenses/by/4.0/).
Share and Cite
Wang, X.; Wang, X. Reinforcement Learning-Based Multihop Relaying: A Decentralized Q-Learning Approach. Entropy 2021, 23, 1310. https://doi.org/10.3390/e23101310
Wang X, Wang X. Reinforcement Learning-Based Multihop Relaying: A Decentralized Q-Learning Approach. Entropy. 2021; 23(10):1310. https://doi.org/10.3390/e23101310
Chicago/Turabian StyleWang, Xiaowei, and Xin Wang. 2021. "Reinforcement Learning-Based Multihop Relaying: A Decentralized Q-Learning Approach" Entropy 23, no. 10: 1310. https://doi.org/10.3390/e23101310
APA StyleWang, X., & Wang, X. (2021). Reinforcement Learning-Based Multihop Relaying: A Decentralized Q-Learning Approach. Entropy, 23(10), 1310. https://doi.org/10.3390/e23101310
