Obtaining Information about Operation of Centrifugal Compressor from Pressure by Combining EEMD and IMFE
Abstract
1. Introduction
2. Fundamental Theories
2.1. Multi-Scale Fuzzy Entropy and Improved Multi-Scale Fuzzy Entropy
2.2. Ensemble Empirical Mode Decomposition
3. Data Acquisition of Dynamic Pressure
4. Multi-Scale Fuzzy Entropy Characteristics of Dynamic Pressure
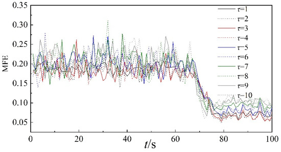
4.1. Multi-Scale Fuzzy Entropy of Dynamic Pressure
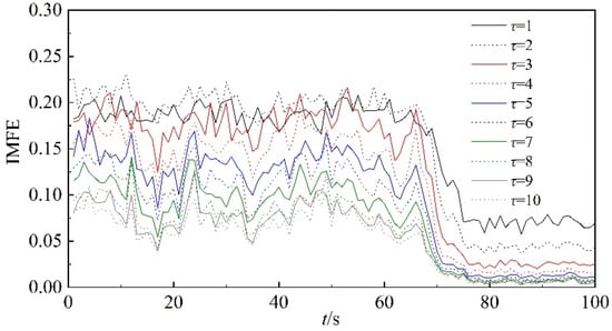
4.2. Improved Multi-Scale Fuzzy Entropy of Dynamic Pressure
5. IMFE Combined with EEMD of Dynamic Pressure
5.1. EEMD Decomposition of Dynamic Pressure
5.2. Correlation between IMF Components and Dynamic Pressure
5.3. IMFE of IMF Components for Dynamic Pressure
6. Statistical Reliability of IMFE of IMF Components for Dynamic Pressure
7. Conclusions
Author Contributions
Funding
Acknowledgments
Conflicts of Interest
References
- Sorokes, J.M.; Kuzdzal, M.J. Centrifugal compressor evolution. Compress. Blower Fan Technol. 2011, 3, 61–67. [Google Scholar]
- Wang, X.J.; Ge, L.L.; Tan, J.J. The Development Process of Centrifugal Compressor and the Future Technology Development Trend in China. Compress. Blower Fan Technol. 2015, 3, 65–77. [Google Scholar]
- Ma, J. Research on Analysis and Prediction of Compressor Unstable Signal Based on Orthogonal Wavelet. Master’s Thesis, Nanjing University of Aeronautics and Astronautics, Nanjing, China, 2010. [Google Scholar]
- Liu, Y.; Chen, D.M.; Liu, L.G.; Wang, H.; Cheng, K. Exploring mono-fractal characteristics of dynamic pressure at exit of centrifugal compressor. J. Northwestern Polytech. Univ. 2013, 31, 60–66. [Google Scholar]
- Liu, Y.; Zhang, J.Z. Predicting Traffic Flow in Local Area Networks by the Largest Lyapunov Exponent. Entropy 2016, 18, 32. [Google Scholar] [CrossRef]
- Liu, Y.; Ding, D.X.; Ma, K. Descriptions of entropy with fractal dynamics and their applications to the flow pressure of centrifugal compressor. Entropy 2019, 21, 266. [Google Scholar] [CrossRef]
- Pincus, S.M. Approximate entropy as a measure of system complexity. Proc. Natl. Acad. Sci. USA 1991, 88, 2297–2301. [Google Scholar] [CrossRef]
- Richman, J.S.; Moorman, J.R. Physiological time-series analysis using approximate entropy and sample entropy. Am. J. Physiol. Heart Circ. Physiol. 2000, 278, 2039–2049. [Google Scholar] [CrossRef]
- Guariglia, E. Entropy and Fractal Antennas. Entropy 2016, 18, 84. [Google Scholar] [CrossRef]
- Chen, W.T. A Study of Feature Extraction from SEMG Signal Based on Entropy. Ph.D. Thesis, Shanghai Jiao Tong University, Shanghai, China, 2008. [Google Scholar]
- Chen, W.T.; Zhuang, J.; Yu, W.X.; Wang, Z.Z. Measuring complexity using FuzzyEn, ApEn, and SampEn. Med. Eng. Phys. 2009, 31, 61–68. [Google Scholar] [CrossRef]
- Liu, H.; Xie, H.B.; He, W.X. Characterization and classification of EEG sleep stage based on fuzzy entropy. J. Data Acquis. Process. 2010, 25, 484–489. [Google Scholar]
- Hu, J.F.; Wang, T.T. Analysis of driving fatigue detection based on fuzzy entropy of EEG signals. China Saf. Sci. J. 2018, 28, 13–18. [Google Scholar]
- Costa, M.D.; Goldberger, A.L. Generalized multiscale entropy analysis: Application to quantifying the complex volatility of human heartbeat time series. Entropy 2015, 17, 1197–1203. [Google Scholar] [CrossRef]
- Costa, M.D.; Goldberger, A.L.; Peng, C.K. Multiscale entropy analysis of biological signals. Phys. Rev. E 2005, 71, 021906. [Google Scholar] [CrossRef] [PubMed]
- Lee, K.Y.; Wang, C.C.; Lin, S.G.; Wu, C.W.; Wu, S.D. Time Series Analysis Using Composite Multiscale Entropy. Entropy 2013, 15, 1069–1084. [Google Scholar]
- Zheng, J.D.; Pan, H.Y.; Zhang, J.; Liu, T.; Liu, Q.Y. Multivariate multiscale fuzzy entropy based planetary gearbox fault diagnosis. J. Vib. Meas. Diagn. 2019, 38, 187–193. [Google Scholar]
- Wu, Z.; Huang, N.E. Ensemble empirical mode decomposition: A noise assisted data analysis method. Adv. Adapt. Data Anal. 2008, 1, 1–41. [Google Scholar] [CrossRef]
- Zhao, H.M.; Sun, M.; Deng, W.; Yang, X.H. A new feature extraction method based on EEMD and multi-scale fuzzy entropy for motor bearing. Entropy 2016, 19, 14–35. [Google Scholar] [CrossRef]
- Humeau-Heurtier, A. The multiscale entropy algorithm and its variants: A review. Entropy 2015, 17, 3110–3123. [Google Scholar] [CrossRef]
- Zheng, J.D.; Dai, J.X.; Zhu, X.L.; Pan, H.Y.; Pan, Z.W. A Rolling Bearing Fault Diagnosis Approach Based on Improved Multiscale Fuzzy Entropy. J. Vib. Meas. Diagn. 2018, 38, 929–934. [Google Scholar]
- Ju, B.; Zhang, H.J.; Liu, Y.B.; Liu, F.; Lu, S.L.; Dai, Z.J. A feature extraction method using improved multi-scale entropy for rolling bearing fault diagnosis. Entropy 2018, 20, 212. [Google Scholar] [CrossRef]
- Hamed, A.; Javier, E. Improved multiscale permutation entropy for biomedical signal analysis: Interpretation and application to electroencephalogram recordings. Biomed. Signal Process Control 2016, 23, 28–41. [Google Scholar]
- Hamed, A.; Alberto, F.; Javier, E. Refined multiscale fuzzy entropy based on standard deviation for biomedical signal analysis. Med. Biol. Eng. Comput. 2017, 55, 2037–2052. [Google Scholar]



















| Time Stage/s | ρ | |||||
|---|---|---|---|---|---|---|
| IMF1 | IMF2 | IMF3 | IMF4 | IMF5 | IMF6 | |
| 0–1 | 0.2221 | 0.2708 | 0.2359 | 0.2789 | 0.6594 | 0.7137 |
| 40–41 | 0.1719 | 0.1821 | 0.1578 | 0.2715 | 0.8367 | 0.8609 |
| 68–69 | 0.0416 | 0.0808 | 0.1069 | 0.8078 | 0.9738 | 0.6558 |
| 70–71 | 0.0141 | 0.0340 | 0.0755 | 0.9824 | 0.9908 | 0.3345 |
| 80–81 | 0.1206 | 0.0277 | 0.0426 | 0.3183 | 0.7537 | 0.9467 |
| 90–91 | 0.1066 | 0.0117 | 0.0460 | 0.1701 | 0.8061 | 0.9786 |
© 2020 by the authors. Licensee MDPI, Basel, Switzerland. This article is an open access article distributed under the terms and conditions of the Creative Commons Attribution (CC BY) license (http://creativecommons.org/licenses/by/4.0/).
Share and Cite
Liu, Y.; Ma, K.; He, H.; Gao, K. Obtaining Information about Operation of Centrifugal Compressor from Pressure by Combining EEMD and IMFE. Entropy 2020, 22, 424. https://doi.org/10.3390/e22040424
Liu Y, Ma K, He H, Gao K. Obtaining Information about Operation of Centrifugal Compressor from Pressure by Combining EEMD and IMFE. Entropy. 2020; 22(4):424. https://doi.org/10.3390/e22040424
Chicago/Turabian StyleLiu, Yan, Kai Ma, Hao He, and Kuan Gao. 2020. "Obtaining Information about Operation of Centrifugal Compressor from Pressure by Combining EEMD and IMFE" Entropy 22, no. 4: 424. https://doi.org/10.3390/e22040424
APA StyleLiu, Y., Ma, K., He, H., & Gao, K. (2020). Obtaining Information about Operation of Centrifugal Compressor from Pressure by Combining EEMD and IMFE. Entropy, 22(4), 424. https://doi.org/10.3390/e22040424
