Co-Evolution of Complex Network Public Goods Game under the Edges Rules
Abstract
1. Introduction
2. Materials and Methods
2.1. Related Work
2.1.1. Regular Network
2.1.2. Public Goods Game Based on Complex Network
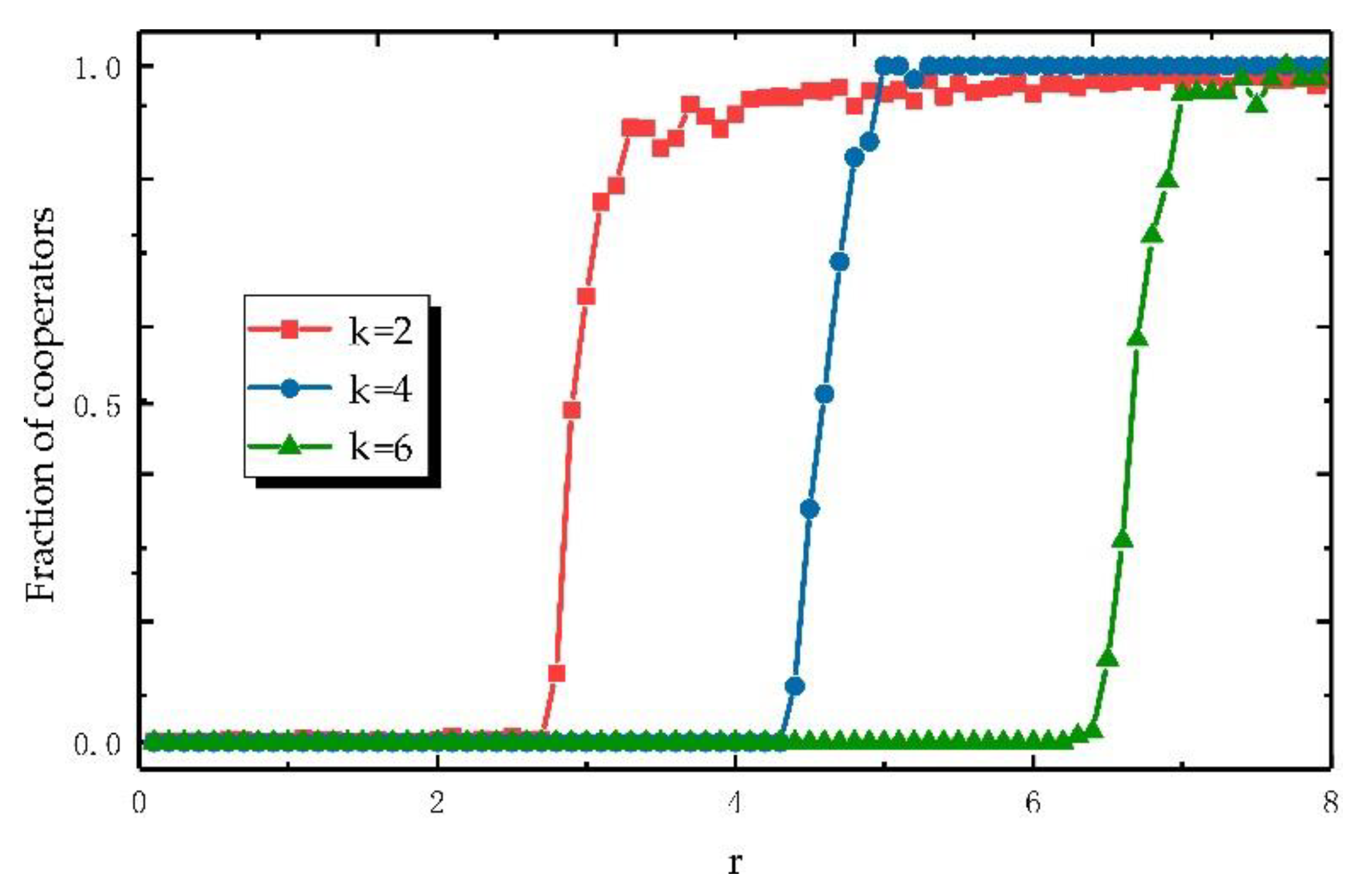
2.1.3. Analysis of Static Cumulative Payoff of Public Goods Game
2.2. Co-Evolution of Public Goods Game under the Edges Rules Model
2.2.1. Edge Breaking Rule
- (1)
- Edge breaking value: the breaking value of an edge is the summation of its nodes’ payoffs.
- (2)
- Edge breaking weight: the default edge breaking weight of an edge is 0. If edge breaking value is greater than or equal to 0, the breaking weight will minus 1, or else it will plus 3.
- (3)
- Edge breaking probability: it is described by the cumulative Poisson distribution function, the primitive formula is following:
2.2.2. Edge Addition Rules
- (1)
- Reconnection of isolated players. People in real life will not completely ignore the isolated players. Thus, the isolated players in our model are provided with opportunities to rejoin the game. Concretely, in a new round of the game, once an isolated player chooses to cooperate, it will be reconnected to the largest part of the network with the probability of 50%. It is noted that isolated nodes will not play in the game, unless it is reconnected to the network.
- (2)
- New connections of dominant players. In graph theory, G is called a connected graph if any two nodes in an undirected graph G are reachable; otherwise, it is a unconnected graph. An unconnected graph is composed of two or more connected subgraphs, and these disjoint connected subgraphs become the connected components of the graph. The dominant nodes are the nodes whose strategy is cooperation and cumulative payoff is great than 0 in the largest connected component of the game network. Like what is happening in real life, dominant people are more willing to have favorable relations. Therefore, in our model, each dominant player can randomly select a player from the non-isolated cooperative ones to establish a connection.
2.2.3. Dynamics of Game Player Strategy Adjustment
3. Results
3.1. Preliminary Simulation Experiment
3.2. Simulation Analysis of Coevolution Model under the Edges Rules
3.3. The Relation between the Distribution Entropy of Excess Average Degree and Node Degree
3.4. A simulation Snapshot of the Co-Evolution under Edge Rules
3.5. Actual Observer Data
4. Conclusions
Supplementary Materials
Author Contributions
Funding
Conflicts of Interest
References
- Tan, J.H.W.; Bolle, F. Team competition and the public goods game. Econ. Lett. 2007, 96, 133–139. [Google Scholar] [CrossRef]
- Reeves, T.; Ohtsuki, H.; Fukui, S. Asymmetric public goods game cooperation through pest control. J. Theor. Biol. 2017, 435, 238. [Google Scholar] [CrossRef] [PubMed]
- Szolnoki, A.; Perc, M. Competition of tolerant strategies in the spatial public goods game. New J. Phys. 2016, 18, 083021. [Google Scholar] [CrossRef]
- Hardin, G. The tragedy of the commons. The population problem has no technical solution; it requires a fundamental extension in morality. Science 1968, 162, 1243–1248. [Google Scholar]
- Attila, S.; Szabó, G.; Czakó, L. Competition of individual and institutional punishments in spatial public goods games. Phys. Rev. E Stat. Nonlinear Soft Matter Phys. 2011, 84, 046106. [Google Scholar]
- Szolnoki, A.; Perc, M. Effectiveness of conditional punishment for the evolution of public cooperation. J. Theor. Biol. 2013, 325, 34–41. [Google Scholar] [CrossRef]
- Szolnoki, A.; Perc, M. Correlation of Positive and Negative Reciprocity Fails to Confer an Evolutionary Advantage: Phase Transitions to Elementary Strategies. Phys. Rev. X 2013, 3, 041021. [Google Scholar] [CrossRef]
- Nowak, M.A.; Sigmund, K. Evolution of indirect reciprocity by image scoring. Nature 1998, 393, 573–577. [Google Scholar] [CrossRef]
- Milinski, M.; Semmann, D.; Krambeck, H. Reputation helps solve the ’tragedy of the commons’. Nature 2002, 415, 424–426. [Google Scholar] [CrossRef]
- Feng, F.; Christoph, H.; Nowak, M.A.; Wang, L. Reputation-based partner choice promotes cooperation in social networks. Phys. Rev. E Stat. Nonlinear Soft Matter Phys. 2008, 78, 026117. [Google Scholar]
- Sasaki, T.; Unemi, T. Replicator dynamics in public goods games with reward funds. J. Theor. Biol. 2011, 287, 109–114. [Google Scholar] [CrossRef] [PubMed]
- Sasaki, T.; Uchida, S. Rewards and the evolution of cooperation in public good games. Biol. Lett. 2014, 10, 20130903. [Google Scholar] [CrossRef] [PubMed]
- Sasaki, T.; Uchida, S.; Chen, X. Voluntary rewards mediate the evolution of pool punishment for maintaining public goods in large populations. Sci. Rep. 2015, 5, 8917. [Google Scholar] [CrossRef] [PubMed]
- Szabó, G.; Hauert, C. Phase transitions and volunteering in spatial public goods games. Phys. Rev. Lett. 2002, 89, 1181. [Google Scholar] [CrossRef]
- Wu, Z.X.; Xu, X.J.; Chen, Y.; Wang, Y.H. Spatial prisoner’s dilemma game with volunteering in Newman-Watts small-world networks. Phys. Rev. E Stat. Nonlinear Soft Matter Phys. 2005, 71 Pt 2B, 037103. [Google Scholar] [CrossRef]
- Perc, M.; Wang, Z. Heterogeneous aspirations promote cooperation in the prisoner’s dilemma game. PLoS ONE 2010, 5, e15117. [Google Scholar] [CrossRef]
- Xia, C.Y.; Meloni, S.; Perc, M.; Moreno, Y. Dynamic instability of cooperation due to diverse activity patterns in evolutionary social dilemmas. EPL 2015, 109, 58002. [Google Scholar] [CrossRef]
- Meng, X.K.; Xia, C.Y.; Gao, Z.K.; Wang, L.; Sun, S.W. Spatial prisoner’s dilemma games with increasing neighborhood size and individual diversity on two interdependent lattices. Phys. Lett. A 2015, 379, 767–773. [Google Scholar] [CrossRef]
- Wu, Z.X.; Petter, H. Effects of strategy-migration direction and noise in the evolutionary spatial prisoner’s dilemma. Phys. Rev. E Stat. Nonlinear Soft Matter Phys. 2009, 80, 026108. [Google Scholar] [CrossRef]
- Pierre, B.; Marco, T.; Alberto, A. Opportunistic migration in spatial evolutionary games. Phys. Rev. E Stat. Nonlinear Soft Matter Phys. 2013, 88, 042806. [Google Scholar]
- Yang, H.X.; Wu, Z.X.; Wang, B.H. Role of aspiration-induced migration in cooperation. Phys. Rev. E Stat. Nonlinear Soft Matter Phys. 2010, 81 Pt 2, 065101. [Google Scholar] [CrossRef] [PubMed]
- Biely, C.; Dragosits, K.; Thurner, S. Prisoner’s dilemma on dynamic networks under perfect rationality. B Arxiv Phys. 2006, 228, 40–48. [Google Scholar]
- Tomassini, M.; Pestelacci, E.; Luthi, L. Social dilemmas and cooperation in complex networks. Int. J. Mod. Phys. C 2007, 18, 1173–1185. [Google Scholar] [CrossRef]
- Szabó, G.; Fáth, G. Evolutionary games on graphs. Phys. Rep. 2017, 446, 97–216. [Google Scholar] [CrossRef]
- Vukov, J.; Santos, F.C.; Pacheco, J.M. Cognitive strategies take advantage of the cooperative potential of heterogeneous networks. New J. Phys. 2012, 14, 1–6. [Google Scholar] [CrossRef][Green Version]
- Zimmermann, M.G.; Eguíluz, V.M.; Maxi, S.M. Coevolution of dynamical states and interactions in dynamic networks. Phys. Rev. E Stat. Nonlinear Soft Matter Phys. 2004, 69, 065102. [Google Scholar] [CrossRef]
- Zimmermann, M.G.; Eguíluz, V.M. Cooperation, social networks, and the emergence of leadership in a prisoner’s dilemma with adaptive local interactions. Phys. Rev. E Stat. Nonlinear Soft Matter Phys. 2005, 72, 056118. [Google Scholar] [CrossRef]
- Santos, F.C.; Pacheco, J.M.; Lenaerts, T. Cooperation prevails when players adjust their social ties. PLoS Comput. Biol. 2006, 2, 1284–1291. [Google Scholar] [CrossRef]
- Pacheco, J.M.; Traulsen, A.; Nowak, M.A. Active linking in evolutionary games. J. Theor. Biol. 2006, 243, 437–443. [Google Scholar] [CrossRef]
- Pacheco, J.M.; Arne, T.; Nowak, M.A. Coevolution of strategy and structure in complex networks with dynamical linking. Phys. Rev. Lett. 2006, 97, 258103. [Google Scholar] [CrossRef]
- Verma, P.; Nandi, A.K.; Sengupta, S. Bribery Games on Interdependent Complex Networks. J. Theor. Biol. 2018, 450, 43. [Google Scholar] [CrossRef] [PubMed]
- Takesue, H. Evolutionary prisoner’s dilemma games on the network with punishment and opportunistic partner switching. EPL 2018, 121, 48005. [Google Scholar] [CrossRef]
- Yang, H.X.; Rong, Z.; Lu, P.M.; Zeng, Y.Z. Effects of aspiration on public cooperation in structured populations. Phys. A Stat. Mech. Appl. 2012, 391, 4043–4049. [Google Scholar] [CrossRef]
- Szabó, G.; Tőke, C. Evolutionary prisoner’s dilemma game on a square lattice. Phys. Rev. E 1998, 58, 69–73. [Google Scholar] [CrossRef]










| x–y | x’s Payoff | y’s Payoff |
|---|---|---|
| C-C | ||
| C-D | ||
| D-C | ||
| D-D | 0 |
© 2020 by the authors. Licensee MDPI, Basel, Switzerland. This article is an open access article distributed under the terms and conditions of the Creative Commons Attribution (CC BY) license (http://creativecommons.org/licenses/by/4.0/).
Share and Cite
Sun, X.; Li, Y.; Kang, H.; Shen, Y.; Peng, J.; Wang, H.; Chen, Q. Co-Evolution of Complex Network Public Goods Game under the Edges Rules. Entropy 2020, 22, 199. https://doi.org/10.3390/e22020199
Sun X, Li Y, Kang H, Shen Y, Peng J, Wang H, Chen Q. Co-Evolution of Complex Network Public Goods Game under the Edges Rules. Entropy. 2020; 22(2):199. https://doi.org/10.3390/e22020199
Chicago/Turabian StyleSun, Xingping, Yibing Li, Hongwei Kang, Yong Shen, Jian Peng, Haoyu Wang, and Qingyi Chen. 2020. "Co-Evolution of Complex Network Public Goods Game under the Edges Rules" Entropy 22, no. 2: 199. https://doi.org/10.3390/e22020199
APA StyleSun, X., Li, Y., Kang, H., Shen, Y., Peng, J., Wang, H., & Chen, Q. (2020). Co-Evolution of Complex Network Public Goods Game under the Edges Rules. Entropy, 22(2), 199. https://doi.org/10.3390/e22020199

