Portfolio Tail Risk: A Multivariate Extreme Value Theory Approach
Abstract
1. Introduction
2. Theoretical Framework and Estimation Methodology
2.1. Theoretical Framework
2.2. Estimation Methodology
2.2.1. Orthogonalization
2.2.2. Filtering
2.2.3. Estimating Independent Univariate Excess Distributions
2.2.4. Tails of Univariate Distributions
2.2.5. Estimating Univariate Var and Es
2.2.6. Portfolio-Level VaR and ES
2.2.7. Summary of the Methodology
3. Illustration of the Method
4. Out-of-Sample Performance
5. Numerical Simulations
6. Conclusions
Funding
Acknowledgments
Conflicts of Interest
Appendix A. Working with Fewer Than n Principal Components
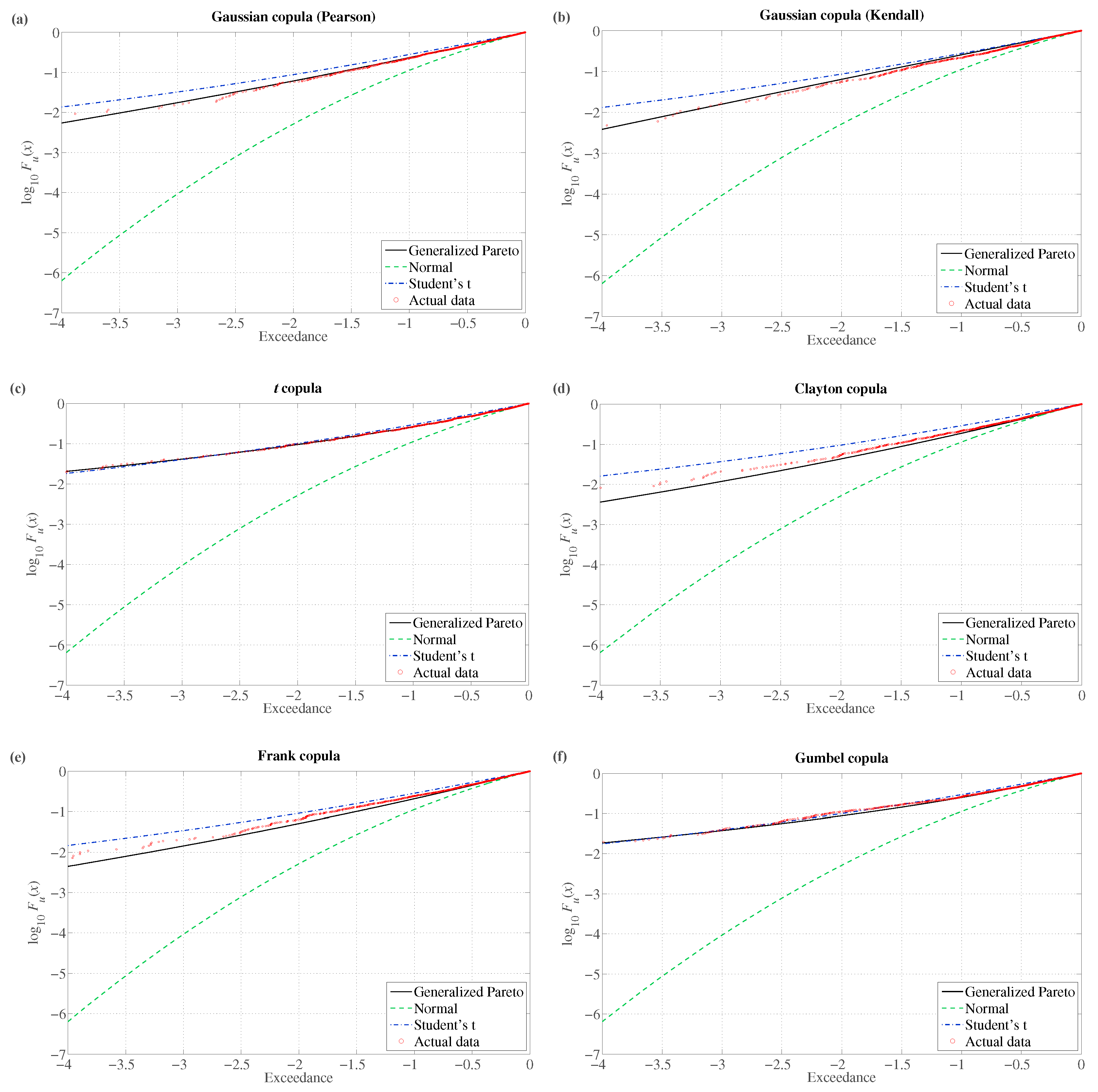
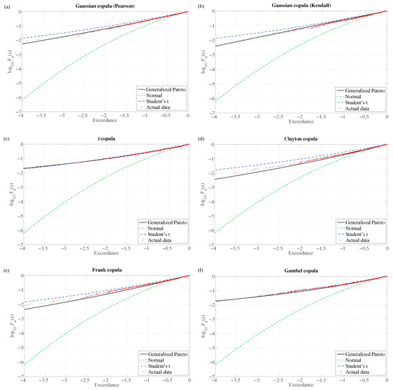
Appendix B. Illustration Using Exchange-Rate Data

| Method | Confidence Level, | ||||
|---|---|---|---|---|---|
| 0.900 | 0.950 | 0.990 | 0.995 | 0.999 | |
| mv GARCH | |||||
| Normal | 264 | 169 | 53 | 34 | 20 |
| Student | 248 | 147 | 32 | 21 | 9 |
| GP | 217 | 115 | 25 | 13 | 2 |
| mv GJR | |||||
| Normal | 225 | 140 | 36 | 27 | 15 |
| Student | 251 | 145 | 31 | 22 | 8 |
| GP | 207 | 111 | 24 | 12 | 1 |
| Expected | 200 | 100 | 20 | 10 | 2 |
| Method | Q | p-Value |
|---|---|---|
| mv GARCH | ||
| Normal | 193.33 | 0.000 |
| Student | 43.20 | 0.000 |
| GP | 2.98 | 0.704 |
| mv GJR | ||
| Normal | 96.40 | 0.000 |
| Student | 38.85 | 0.000 |
| GP | 2.82 | 0.727 |
References
- Poon, S.; Rockinger, M.; Tawn, J. Extreme value dependence in financial markets: Diagnostics, models, and financial implications. Rev. Financ. Stud. 2004, 17, 581–610. [Google Scholar] [CrossRef]
- Rodriguez, J. Measuring financial contagion: A copula approach. J. Empir. Financ. 2007, 14, 401–423. [Google Scholar] [CrossRef]
- Ning, C. Extreme Dependence of International Stock Market; Technical Report; Ryerson University: Toronto, ON, Canada, 2008. [Google Scholar]
- Okimoto, T. New evidence on asymmetric dependence structures in international equity markets. J. Financ. Quant. Anal. 2008, 43, 787–815. [Google Scholar] [CrossRef]
- Ning, C. Dependence structure between the equity market and the foreign exchange market—A copula approach. J. Int. Money Financ. 2010, 29, 743–759. [Google Scholar] [CrossRef]
- Christoffersen, P.; Errunza, V.; Jacobs, K.; Langlois, H. Is the potential for international diversification disappearing? A dynamic copula approach. Rev. Financ. Stud. 2012, 25, 3711–3751. [Google Scholar] [CrossRef]
- Rocco, M. Extreme value theory for finance: A survey. J. Econ. Surv. 2013, 28, 82–108. [Google Scholar] [CrossRef]
- Gkillas, K.; Bekiros, S.; Siriopoulos, C. Extreme Correlation in Cryptocurrency Markets. Available online: https://ssrn.com/abstract=3180934 (accessed on 3 December 2020).
- Gkillas, K.; Tsagkanos, A.; Svingou, A.; Siriopoulos, C. Uncertainty in Euro area and the bond spreads. Phys. A Stat. Mech. Appl. 2020, 537, 122643. [Google Scholar] [CrossRef]
- Bouchard, J.P.; Potters, M. Theory of Financial Risk and Derivative Pricing: From Statistical Physics to Risk Management, 2nd ed.; Cambridge University Press: Cambridge, UK, 2003. [Google Scholar]
- Meucci, A. Risk and Asset Allocation; Springer Finance: Berlin/Heidelberg, Germany, 2005. [Google Scholar]
- McNeil, A. Extreme Value Theory for Risk Managers; Working Paper; ETH: Zürich, Switzerland, 1999. [Google Scholar]
- Bensalah, Y. Steps in Applying Extreme Value Theory to Finance: A Review; Working Paper; Bank of Canada: Ottawa, ON, Canada, 2000. [Google Scholar]
- Smith, R. Measuring Risk with Extreme Value Theory. In Risk Management: Theory and Practice; Cambridge University Press: Cambridge, UK, 2000. [Google Scholar]
- Nyström, K.; Skoglund, J. Univariate Extreme Value Theory, GARCH and Measures of Risk; Working Paper; Swedbank: Gothenburg, Sweden, 2002. [Google Scholar]
- Embrechts, P.; Klüppelberg, C.; Mikosch, T. Modeling Extremal Events for Insurance and Finance; Springer: New York, NY, USA, 2008. [Google Scholar]
- Daníelsson, J. Financial Risk Forecasting; Wiley: Chichester, UK, 2011. [Google Scholar]
- McNeil, A. Estimating the Tails of Loss Severity Distribution Using Extreme Value Theory. Theory ASTIN Bull. 1997, 27, 1117–1137. [Google Scholar] [CrossRef]
- Harmantzis, F.; Chien, Y.; Miao, L. Empirical Study of Value-at-Risk and Expected Shortfall as a Coherent Measure of Risk. J. Risk Financ. 2005, 7, 117–135. [Google Scholar] [CrossRef]
- Marinelli, C.; d’Addona, S.; Rachev, S. A Comparison of Some Univariate Models for Value-at-Risk and Expected Shortfall. Int. J. Theor. Appl. Financ. 2007, 10, 1–33. [Google Scholar] [CrossRef]
- Lai, L.H.; Wu, P.H. Risk Analysis of Rice Losses Caused by Typhoon for Taiwan. Contemp. Manag. Res. 2010, 6, 141–158. [Google Scholar] [CrossRef][Green Version]
- Longin, F.; Solnik, B. Extreme correlations of international equity markets. J. Financ. 2001, 56, 649–676. [Google Scholar] [CrossRef]
- Campbell, R.; Koedijk, K.; Kofman, P. Increased correlation in bear markets. Financ. Anal. J. 2002, 58, 87–94. [Google Scholar] [CrossRef]
- Beirlant, J.; Goegebeur, Y.; Segers, J.; Teugels, J. Statistics of Extremes: Theory and Applications; Wiley Series in Probability and Statistics; John Wiley & Sons: New York, NY, USA, 2005. [Google Scholar]
- Jondeau, E.; Poon, S.; Rockinger, M. Financial Modeling under Non-Gaussian Distributions; Springer: London, UK, 2007. [Google Scholar]
- Falk, M. An Introduction to Functional Extreme Value Theory. In Multivariate Extreme Value Theory and D-Norms; Springer Series in Operations Research and Financial Engineering; Springer: Cham, Switzerland, 2019. [Google Scholar]
- Falk, M. Copulas and Multivariate Extremes. In Multivariate Extreme Value Theory and D-Norms; Springer Series in Operations Research and Financial Engineering; Springer: Cham, Switzerland, 2019. [Google Scholar]
- McNeil, A.; Frey, R. Estimation of tail-related risk measures for heteroscedastic financial time series: An extreme value approach. J. Empir. Financ. 2000, 7, 271–300. [Google Scholar] [CrossRef]
- Nyström, K.; Skoglund, J. A Framework for Scenario-Based Risk Management; Working Paper; Swedbank: Gothenburg, Sweden, 2002. [Google Scholar]
- Aas, K.; Czado, C.; Frigessi, A.; Bakken, H. Pair-copula construction of multiple dependence. Insur. Math. Econ. 2009, 44, 182–198. [Google Scholar] [CrossRef]
- Chollete, L.; Heinen, A.; Valdesogo, A. Modeling international financial returns with a multivariate regime-switching copula. J. Financ. Econ. 2009, 7, 437–480. [Google Scholar] [CrossRef]
- Yu, W.; Yang, K.; Wei, Y.; Lei, L. Measuring Value-at-Risk and Expected Shortfall of crude oil portfolio using extreme value theory and vine copula. Phys. A Stat. Mech. Appl. 2018, 490, 1423–1433. [Google Scholar] [CrossRef]
- Trucíos, C.; Tiwari, A.; Alqahtani, F. Value-at-risk and expected shortfall in cryptocurrencies’ portfolio: A vine copula–based approach. Appl. Econ. 2020, 52, 2580–2593. [Google Scholar] [CrossRef]
- Alexander, C. Orthogonal GARCH. In Mastering Risk; Alexander, C., Ed.; Pearson: London, UK, 2001; Volume 2, pp. 21–38. [Google Scholar]
- Van der Weide, R. GO-GARCH: A multivariate generalized orthogonal GARCH model. J. Appl. Econ. 2002, 17, 549–564. [Google Scholar] [CrossRef]
- Fisher, R.; Tippett, L. Limiting Forms of the Frequency Distribution of the Largest or Smallest Member of a Sample. Proc. Camb. Philos. Soc. 1928, 24, 180–190. [Google Scholar] [CrossRef]
- Gnedenko, B. Sur la Distribution limite du Terme maximum d’une Série aléatoir. Ann. Math. 1943, 44, 423–453. [Google Scholar] [CrossRef]
- Pickands, J. Statistical Inference Using Extreme Order Statistics. Ann. Stat. 1975, 3, 119–131. [Google Scholar]
- Gabaix, X.; Gopikrishnan, P.; Plerou, V.; Stanley, H. Institutional investors and stock market volatility. Q. J. Econ. 2006, 121, 461–504. [Google Scholar] [CrossRef]
- Back, A.; Weigend, A. A first application of independent component analysis to extracting structure from stocks returns. Int. J. Neural Syst. 1997, 8, 473–484. [Google Scholar] [CrossRef] [PubMed]
- Moody, J.; Wu, L. High Frequency Foreign Exchange Rates: Price Behaviour Analysis and ‘True Price Models’; Nonlinear Modeling of High Frequency Financial Time Series; Wiley: Hoboken, NJ, USA, 1998; pp. 23–47. [Google Scholar]
- Moody, J.; Yang, H. Term structure of interactions of foreign exchange rates. Computational Finance. In Proceedings of the Sixth International Conference, New York, NY, USA, 16–20 August 2020; Abu-Mostafa, Y., LeBaron, B., Lo, A., Weigend, A., Eds.; MIT Press: Cambridge, MA, USA, 2000. [Google Scholar]
- Hyvärinen, A.; Oja, E. Independent Component Analysis: Algorithms and Applications. Neural Netw. 2000, 13, 411–430. [Google Scholar] [CrossRef]
- Glosten, L.; Jagannathan, R.; Runkle, D. On the Relation between Expected Value and the Volatility of the Nominal Excess Return on Stocks. J. Financ. 1993, 48, 1779–1801. [Google Scholar] [CrossRef]
- Ding, Z.; Granger, C.; Engle, R. A long memory property of stock market returns and a new model. J. Empir. Financ. 1993, 1, 83–106. [Google Scholar] [CrossRef]
- Taylor, S. Modeling Financial Time Series; John Wiley: Hoboken, NJ, USA, 1986. [Google Scholar]
- Schwert, G. Why Does Stock Market Volatility Change Over Time? J. Financ. 1989, 44, 1115–1153. [Google Scholar] [CrossRef]
- Geweke, J. Modeling the Persistence of Conditional Variances: A Comment. Econ. Rev. 1986, 5, 57–61. [Google Scholar] [CrossRef]
- Pentula, S. Modeling the Persistence of Conditional Variances: A Comment. Econ. Rev. 1986, 5, 71–74. [Google Scholar]
- Higgins, M.; Bera, A. A Class of Nonlinear ARCH Models. Int. Econ. Rev. 1992, 33, 137–158. [Google Scholar] [CrossRef]
- Zakoïan, J.M. Threshold Heteroskedastic Models. J. Econ. Dyn. Control 1994, 18, 931–955. [Google Scholar] [CrossRef]
- Nelson, D. Conditional Heteroskedasticity in Asset Returns: A New Approach. Econometrica 1991, 59, 347–370. [Google Scholar] [CrossRef]
- Daníelsson, J.; De Vries, C. Value at Risk and Extreme Returns; FMG Discussion Paper No. 273; Financial Markets Group, London School of Economics: London, UK, 1997. [Google Scholar]
- Artzner, P.; Delbaen, F.; Eber, J.; Heath, D. Thinking coherently. Risk 1997, 10, 68–71. [Google Scholar]
- Artzner, P.; Delbaen, F.; Eber, J.; Heath, D. Coherent measures of risk. Math. Financ. 1999, 9, 203–228. [Google Scholar] [CrossRef]
- Acerbi, C.; Tasche, D. Expected Shortfall: A Natural Coherent Alternative to Value at Risk. Econ. Notes 2002, 31, 1–10. [Google Scholar] [CrossRef]
- Acerbi, C.; Tasche, D. On the coherence of expected shortfall. J. Bank. Financ. 2002, 26, 1487–1503. [Google Scholar] [CrossRef]
- Szego, G. Measures of risk. J. Bank. Financ. 2002, 26, 1253–1272. [Google Scholar] [CrossRef]
- Campbell, S. A Review of Backtesting and Backtesting Procedures; Finance and Economics Discussion Series; Federal Reserve Board: Washington, DC, USA, 2005.
- Christoffersen, P. Evaluating interval forecasts. Int. Econ. Rev. 1998, 39, 841–862. [Google Scholar] [CrossRef]



| Confidence Level, | |||||
|---|---|---|---|---|---|
| 0.900 | 0.950 | 0.990 | 0.995 | 0.999 | |
| mv GARCH – GP | |||||
| VaR | |||||
| ES | |||||
| mv GJR – GP | |||||
| VaR | |||||
| ES | |||||
| eig. | Cumulative | mv GARCH | mv GJR | ||||
|---|---|---|---|---|---|---|---|
| Normal | Student | GP | Normal | Student | GP | ||
| 1 | *** | *** | *** | *** | |||
| 2 | *** | * | *** | * | |||
| 3 | *** | *** | ** | ||||
| 4 | *** | *** | |||||
| 5 | *** | *** | |||||
| 6 | *** | *** | |||||
| 7 | *** | *** | |||||
| 8 | *** | *** | |||||
| 9 | ** | ** | |||||
| 10 | ** | ** | |||||
| 11 | ** | ** | |||||
| 12 | ** | ** | |||||
| 13 | *** | ** | |||||
| 14 | *** | *** | |||||
| 15 | |||||||
| 16 | ** | ** | |||||
| 17 | *** | *** | |||||
| 18 | ** | ** | |||||
| 19 | *** | *** | |||||
| 20 | *** | * | *** | ||||
| 21 | *** | *** | |||||
| 22 | *** | *** | |||||
| 23 | *** | *** | |||||
| 24 | ** | ** | |||||
| 25 | ** | ** | |||||
| 26 | *** | *** | |||||
| 27 | *** | *** | |||||
| 28 | *** | *** | |||||
| 29 | *** | *** | |||||
| 30 | *** | *** | |||||
| Method | Confidence Level, | ||||
|---|---|---|---|---|---|
| 0.900 | 0.950 | 0.990 | 0.995 | 0.999 | |
| mv GARCH | |||||
| Normal | 109 | 69 | 24 | 16 | 7 |
| Student | 118 | 71 | 17 | 10 | 3 |
| GP | 117 | 68 | 15 | 8 | 3 |
| mv GJR | |||||
| Normal | 107 | 64 | 25 | 15 | 8 |
| Student | 117 | 65 | 19 | 10 | 1 |
| GP | 115 | 62 | 14 | 8 | 0 |
| Expected | 100 | 50 | 10 | 5 | 1 |
| Method | Q | p-Value |
|---|---|---|
| mv GARCH | ||
| Normal | ||
| Student | ||
| GP | ||
| mv GJR | ||
| Normal | ||
| Student | ||
| GP |
| Confidence Level, | |||||
|---|---|---|---|---|---|
| 0.900 | 0.950 | 0.990 | 0.995 | 0.999 | |
| Gaussian copula (Pearson) | |||||
| VaR | |||||
| ES | |||||
| Gaussian copula (Kendall) | |||||
| VaR | |||||
| ES | |||||
| t copula | |||||
| VaR | |||||
| ES | |||||
| Clayton copula | |||||
| VaR | |||||
| ES | |||||
| Frank copula | |||||
| VaR | |||||
| ES | |||||
| Gumbel copula | |||||
| VaR | |||||
| ES | |||||
| Method | Confidence Level, | ||||
|---|---|---|---|---|---|
| 0.900 | 0.950 | 0.990 | 0.995 | 0.999 | |
| Gaussian copula (Pearson) | 110 | 62 | 13 | 5 | 2 |
| Gaussian copula (Kendall) | 109 | 64 | 16 | 7 | 1 |
| t copula | 104 | 58 | 8 | 4 | 0 |
| Clayton copula | 110 | 52 | 12 | 6 | 0 |
| Frank copula | 100 | 45 | 10 | 8 | 1 |
| Gumbel copula | 101 | 51 | 12 | 8 | 1 |
| Expected | 100 | 50 | 10 | 5 | 1 |
| Method | Q | p-Value |
|---|---|---|
| Gaussian copula (Pearson) | 5.26 | 0.384 |
| Gaussian copula (Kendall) | 6.39 | 0.270 |
| t copula | 4.04 | 0.544 |
| Clayton copula | 3.59 | 0.610 |
| Frank copula | 5.18 | 0.394 |
| Gumbel copula | 2.48 | 0.780 |
Publisher’s Note: MDPI stays neutral with regard to jurisdictional claims in published maps and institutional affiliations. |
© 2020 by the author. Licensee MDPI, Basel, Switzerland. This article is an open access article distributed under the terms and conditions of the Creative Commons Attribution (CC BY) license (http://creativecommons.org/licenses/by/4.0/).
Share and Cite
Božović, M. Portfolio Tail Risk: A Multivariate Extreme Value Theory Approach. Entropy 2020, 22, 1425. https://doi.org/10.3390/e22121425
Božović M. Portfolio Tail Risk: A Multivariate Extreme Value Theory Approach. Entropy. 2020; 22(12):1425. https://doi.org/10.3390/e22121425
Chicago/Turabian StyleBožović, Miloš. 2020. "Portfolio Tail Risk: A Multivariate Extreme Value Theory Approach" Entropy 22, no. 12: 1425. https://doi.org/10.3390/e22121425
APA StyleBožović, M. (2020). Portfolio Tail Risk: A Multivariate Extreme Value Theory Approach. Entropy, 22(12), 1425. https://doi.org/10.3390/e22121425
