A Nuisance-Free Inference Procedure Accounting for the Unknown Missingness with Application to Electronic Health Records
Abstract
1. Introduction
2. Methodology
3. Traditional Setting without Regularization
| Algorithm 1 Minimization of (6) without penalization |
| 1: Inputs: , for and 2: Initialize: 3: for do 4: for do 5: 6: , , , 7: 8: 9: 10: Fit logistic regression with response , covariate , offset , and no intercept. 11: Outputs: |
4. Modern Setting with Regularization
| Algorithm 2 Minimization of (9) with the ALASSO penalty |
| 1: Inputs: , for and 2: Initialize: 3: for do 4: for do 5: 6: , , , 7: 8: 9: 10: Fit logistic regression with response , covariates , offset , and no intercept. 11: Obtain . 12: Fit logistic regression with ALASSO penalty. 13: Find which minimizes the BIC. 14: Outputs: |
5. Simulation Studies
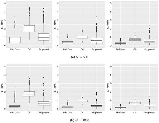
5.1. Scenarios without Regularization
5.2. Scenarios with Regularization
6. Real Data Application
7. Discussion
Author Contributions
Funding
Conflicts of Interest
Appendix A. Proof of Theorem 1
Appendix B. Proof of Theorem 2
References
- Little, R.J.; Rubin, D.B. Statistical Analysis with Missing Data, 2nd ed.; Wiley: Hoboken, NJ, USA, 2002. [Google Scholar]
- Shao, J.; Zhao, J. Estimation in longitudinal studies with nonignorable dropout. Stat. Its Interface 2013, 6, 303–313. [Google Scholar] [CrossRef]
- Wang, S.; Shao, J.; Kim, J.K. An instrumental variable approach for identification and estimation with nonignorable nonresponse. Stat. Sin. 2014, 24, 1097–1116. [Google Scholar] [CrossRef]
- Zhao, J.; Shao, J. Semiparametric pseudo-likelihoods in generalized linear models with nonignorable missing data. J. Am. Stat. Assoc. 2015, 110, 1577–1590. [Google Scholar] [CrossRef]
- Miao, W.; Tchetgen Tchetgen, E.J. On varieties of doubly robust estimators under missingness not at random with a shadow variable. Biometrika 2016, 103, 475–482. [Google Scholar] [CrossRef]
- Zhao, J.; Ma, Y. Optimal pseudolikelihood estimation in the analysis of multivariate missing data with nonignorable nonresponse. Biometrika 2018, 105, 479–486. [Google Scholar] [CrossRef]
- Miao, W.; Liu, L.; Tchetgen Tchetgen, E.; Geng, Z. Identification, Doubly Robust Estimation, and Semiparametric Efficiency Theory of Nonignorable Missing Data With a Shadow Variable. arXiv 2019, arXiv:1509.02556. [Google Scholar]
- Tchetgen Tchetgen, E.J.; Wirth, K.E. A general instrumental variable framework for regression analysis with outcome missing not at random. Biometrics 2017, 73, 1123–1131. [Google Scholar] [CrossRef]
- Sun, B.; Liu, L.; Miao, W.; Wirth, K.; Robins, J.; Tchetgen Tchetgen, E.J. Semiparametric estimation with data missing not at random using an instrumental variable. Stat. Sin. 2018, 28, 1965–1983. [Google Scholar]
- Zhao, J.; Yang, Y.; Ning, Y. Penalized pairwise pseudo likelihood for variable selection with nonignorable missing data. Stat. Sin. 2018, 28, 2125–2148. [Google Scholar] [CrossRef]
- Jiang, W.; Bogdan, M.; Josse, J.; Miasojedow, B.; Rockova, V.; Group, T. Adaptive Bayesian SLOPE–High-dimensional Model Selection with Missing Values. arXiv 2019, arXiv:1909.06631. [Google Scholar]
- Jiang, W.; Josse, J.; Lavielle, M.; Group, T. Logistic regression with missing covariates—Parameter estimation, model selection and prediction within a joint-modeling framework. Comput. Stat. Data Anal. 2020, 145, 106907. [Google Scholar] [CrossRef]
- Johnson, A.E.; Pollard, T.J.; Shen, L.; Li-wei, H.L.; Feng, M.; Ghassemi, M.; Moody, B.; Szolovits, P.; Celi, L.A.; Mark, R.G. MIMIC-III, a freely accessible critical care database. Sci. Data 2016, 3, 160035. [Google Scholar] [CrossRef] [PubMed]
- Zhao, J.; Ma, Y. A versatile estimation procedure without estimating the nonignorable missingness mechanism. arXiv 2019, arXiv:1907.03682. [Google Scholar]
- Liang, K.Y.; Qin, J. Regression analysis under non-standard situations: A pairwise pseudolikelihood approach. J. R. Stat. Soc. Ser. B 2000, 62, 773–786. [Google Scholar] [CrossRef]
- Zhao, J.; Shao, J. Approximate conditional likelihood for generalized linear models with general missing data mechanism. J. Syst. Sci. Complex. 2017, 30, 139–153. [Google Scholar] [CrossRef]
- Zhao, J. Reducing bias for maximum approximate conditional likelihood estimator with general missing data mechanism. J. Nonparametr. Stat. 2017, 29, 577–593. [Google Scholar] [CrossRef]
- Yang, Y.; Zhao, J.; Wilding, G.; Kluczynski, M.; Bisson, L. Stability enhanced variable selection for a semiparametric model with flexible missingness mechanism and its application to the ChAMP study. J. Appl. Stat. 2020, 47, 827–843. [Google Scholar] [CrossRef]
- Zhao, J.; Chen, C. Estimators based on unconventional likelihoods with nonignorable missing data and its application to a children’s mental health study. J. Nonparametric Stat. 2019, 31, 911–931. [Google Scholar] [CrossRef]
- Tibshirani, R. Regression shrinkage and selection via the lasso. J. R. Stat. Soc. Ser. B 1996, 58, 267–288. [Google Scholar] [CrossRef]
- Fan, J.; Li, R. Variable selection via nonconcave penalized likelihood and its oracle properties. J. Am. Stat. Assoc. 2001, 96, 1348–1360. [Google Scholar] [CrossRef]
- Zhang, C.H. Nearly unbiased variable selection under minimax concave penalty. Ann. Stat. 2010, 38, 894–942. [Google Scholar] [CrossRef]
- Zou, H. The adaptive lasso and its oracle properties. J. Am. Stat. Assoc. 2006, 101, 1418–1429. [Google Scholar] [CrossRef]
- Cai, T.; Tian, L.; Wei, L. Semiparametric Box–Cox power transformation models for censored survival observations. Biometrika 2005, 92, 619–632. [Google Scholar] [CrossRef]
- Kosorok, M.R. Introduction to Empirical Processes and Semiparametric Inference; Springer Science & Business Media: Berlin/Heidelberg, Germany, 2007. [Google Scholar]
- Minnier, J.; Tian, L.; Cai, T. A perturbation method for inference on regularized regression estimates. J. Am. Stat. Assoc. 2011, 106, 1371–1382. [Google Scholar] [CrossRef]
- Hu, Z.; Melton, G.B.; Arsoniadis, E.G.; Wang, Y.; Kwaan, M.R.; Simon, G.J. Strategies for handling missing clinical data for automated surgical site infection detection from the electronic health record. J. Biomed. Inform. 2017, 68, 112–120. [Google Scholar] [CrossRef]
- Li, J.; Wang, M.; Steinbach, M.S.; Kumar, V.; Simon, G.J. Don’t Do Imputation: Dealing with Informative Missing Values in EHR Data Analysis. In Proceedings of the 2018 IEEE International Conference on Big Knowledge (ICBK), Singapore, 17–18 November 2018; pp. 415–422. [Google Scholar]
- Phillips, A.; Shaper, A.G.; Whincup, P. Association between serum albumin and mortality from cardiovascular disease, cancer, and other causes. Lancet 1989, 334, 1434–1436. [Google Scholar] [CrossRef]
- Katz, S.; Klotz, I.M. Interactions of calcium with serum albumin. Arch. Biochem. Biophys. 1953, 44, 351–361. [Google Scholar] [CrossRef]
- Butler, S.; Payne, R.; Gunn, I.; Burns, J.; Paterson, C. Correlation between serum ionised calcium and serum albumin concentrations in two hospital populations. Br. Med. J. 1984, 289, 948–950. [Google Scholar] [CrossRef]
- Hossain, A.; Mostafa, G.; Mannan, K.; Prosad Deb, K.; Hossain, M. Correlation Between Serum Albumin Level and Ionized Calcium in Idiopathic Nephrotic Syndrome in Children. Urol. Nephrol. Open Access. J. 2015, 3, 70–71. [Google Scholar] [CrossRef][Green Version]
- Kroll, M.; Elin, R. Relationships between magnesium and protein concentrations in serum. Clin. Chem. 1985, 31, 244–246. [Google Scholar] [CrossRef]
- Huijgen, H.J.; Soesan, M.; Sanders, R.; Mairuhu, W.M.; Kesecioglu, J.; Sanders, G.T. Magnesium levels in critically ill patients: What should we measure? Am. J. Clin. Pathol. 2000, 114, 688–695. [Google Scholar] [CrossRef]
- Djagbletey, R.; Phillips, B.; Boni, F.; Owoo, C.; Owusu-Darkwa, E.; deGraft Johnson, P.K.G.; Yawson, A.E. Relationship between serum total magnesium and serum potassium in emergency surgical patients in a tertiary hospital in Ghana. Ghana Med. J. 2016, 50, 78–83. [Google Scholar] [CrossRef]
- Luo, X.; Tsai, W.Y. A proportional likelihood ratio model. Biometrika 2011, 99, 211–222. [Google Scholar] [CrossRef]
- Shao, J. Mathematical Statistics; Springer Texts in Statistics; Springer: Berlin/Heidelberg, Germany, 2003. [Google Scholar]
- Arcones, M.A. Weak convergence of convex stochastic processes. Stat. Probab. Lett. 1998, 37, 171–182. [Google Scholar] [CrossRef]
- Rejchel, W. Model selection consistency of U-statistics with convex loss and weighted lasso penalty. J. Nonparametric Stat. 2017, 29, 768–791. [Google Scholar] [CrossRef]
- Geyer, C.J. On the asymptotics of constrained M-estimation. Ann. Stat. 1994, 22, 1993–2010. [Google Scholar] [CrossRef]
- Pflug, G.C. Asymptotic stochastic programs. Math. Oper. Res. 1995, 20, 769–789. [Google Scholar] [CrossRef]
- Niemiro, W. Least empirical risk procedures in statistical inference. Appl. Math. 1993, 22, 55–67. [Google Scholar] [CrossRef]


| N | Parameter | Method | Bias | SD | SE | CP |
|---|---|---|---|---|---|---|
| 500 | FullData | 0.0026 | 0.0444 | 0.0450 | 0.9540 | |
| CC | −0.0329 | 0.0564 | 0.0560 | 0.9100 | ||
| Proposed | 0.0174 | 0.0829 | 0.0789 | 0.9450 | ||
| FullData | 0.0022 | 0.0489 | 0.0503 | 0.9510 | ||
| CC | 0.0376 | 0.0670 | 0.0699 | 0.9300 | ||
| Proposed | 0.0164 | 0.1644 | 0.1607 | 0.9400 | ||
| FullData | −0.0017 | 0.0657 | 0.0635 | 0.9310 | ||
| CC | −0.0649 | 0.0851 | 0.0835 | 0.8680 | ||
| Proposed | −0.0399 | 0.2305 | 0.2239 | 0.9360 | ||
| FullData | 0.0022 | 0.0616 | 0.0635 | 0.9540 | ||
| CC | 0.0778 | 0.0871 | 0.0867 | 0.8430 | ||
| Proposed | 0.0462 | 0.2323 | 0.2298 | 0.9410 | ||
| FullData | −0.0045 | 0.0792 | 0.0810 | 0.9530 | ||
| CC | −0.0988 | 0.1007 | 0.1043 | 0.8550 | ||
| Proposed | −0.0672 | 0.3081 | 0.3047 | 0.9380 | ||
| 1000 | FullData | −0.0012 | 0.0317 | 0.0317 | 0.9540 | |
| CC | −0.0348 | 0.0396 | 0.0393 | 0.8510 | ||
| Proposed | 0.0068 | 0.0573 | 0.0555 | 0.9350 | ||
| FullData | 0.0011 | 0.0367 | 0.0355 | 0.9370 | ||
| CC | 0.0399 | 0.0490 | 0.0494 | 0.8840 | ||
| Proposed | 0.0154 | 0.1154 | 0.1138 | 0.9460 | ||
| Full Data | 0.0020 | 0.0448 | 0.0448 | 0.9500 | ||
| CC | −0.0649 | 0.0577 | 0.0588 | 0.8110 | ||
| Proposed | −0.0153 | 0.1531 | 0.1591 | 0.9590 | ||
| Full Data | −0.0015 | 0.0458 | 0.0449 | 0.9460 | ||
| CC | 0.0779 | 0.0605 | 0.0611 | 0.7490 | ||
| Proposed | 0.0135 | 0.1598 | 0.1634 | 0.9480 | ||
| Full Data | 0.0009 | 0.0564 | 0.0571 | 0.9540 | ||
| CC | −0.0949 | 0.0720 | 0.0734 | 0.7550 | ||
| Proposed | −0.0242 | 0.2091 | 0.2167 | 0.9430 |
| N | Parameter | Method | Bias | SD | SE | CP |
|---|---|---|---|---|---|---|
| 500 | FullData | −0.0011 | 0.0464 | 0.0451 | 0.9410 | |
| CC | −0.0306 | 0.0567 | 0.0567 | 0.9200 | ||
| Proposed | 0.0100 | 0.0822 | 0.0787 | 0.9380 | ||
| FullData | −0.0004 | 0.0509 | 0.0503 | 0.9520 | ||
| CC | 0.0440 | 0.0636 | 0.0637 | 0.8930 | ||
| Proposed | 0.0146 | 0.1308 | 0.1236 | 0.9420 | ||
| FullData | 0.0013 | 0.0639 | 0.0637 | 0.9520 | ||
| CC | −0.0871 | 0.0828 | 0.0821 | 0.8190 | ||
| Proposed | −0.0173 | 0.1824 | 0.1753 | 0.9430 | ||
| FullData | −0.0030 | 0.0655 | 0.0636 | 0.9400 | ||
| CC | 0.0876 | 0.0847 | 0.0821 | 0.8030 | ||
| Proposed | 0.0214 | 0.1840 | 0.1756 | 0.9440 | ||
| FullData | 0.0023 | 0.0845 | 0.0812 | 0.9390 | ||
| CC | −0.1307 | 0.1083 | 0.1061 | 0.7560 | ||
| Proposed | −0.0331 | 0.2533 | 0.2384 | 0.9360 | ||
| 1000 | FullData | 0.0004 | 0.0315 | 0.0317 | 0.9490 | |
| CC | −0.0286 | 0.0396 | 0.0398 | 0.8950 | ||
| Proposed | 0.0060 | 0.0568 | 0.0555 | 0.9390 | ||
| FullData | 0.0007 | 0.0362 | 0.0354 | 0.9420 | ||
| CC | 0.0442 | 0.0451 | 0.0447 | 0.8410 | ||
| Proposed | 0.0079 | 0.0910 | 0.0859 | 0.9290 | ||
| FullData | −0.0004 | 0.0450 | 0.0448 | 0.9390 | ||
| CC | −0.0879 | 0.0571 | 0.0576 | 0.6640 | ||
| Proposed | −0.0044 | 0.1277 | 0.1220 | 0.9420 | ||
| FullData | −0.0009 | 0.0450 | 0.0448 | 0.9450 | ||
| CC | 0.0880 | 0.0588 | 0.0577 | 0.6660 | ||
| Proposed | 0.0114 | 0.1309 | 0.1222 | 0.9380 | ||
| FullData | −0.0005 | 0.0576 | 0.0572 | 0.9510 | ||
| CC | −0.1342 | 0.0755 | 0.0745 | 0.5740 | ||
| Proposed | −0.0191 | 0.1757 | 0.1661 | 0.9370 |
| Parameter | Method | Bias | SD | SE | CP | Length | |
|---|---|---|---|---|---|---|---|
| FullData | 0.0001 | 0.0120 | 0.0132 | 0.9480 | 0.0515 | ||
| CC | −0.0729 | 0.0180 | 0.0183 | 0.0370 | 0.0716 | ||
| Proposed | −0.0423 | 0.0500 | 0.0498 | 0.8200 | 0.1926 | ||
| True Nonzero | FullData | 0.0021 | 0.1686 | 0.1649 | 0.9400 | 0.6415 | |
| CC | −0.6547 | 0.2207 | 0.2114 | 0.1460 | 0.8233 | ||
| Proposed | 0.0354 | 0.4698 | 0.4746 | 0.9320 | 1.8513 | ||
| Full Data | −0.0275 | 0.1692 | 0.1791 | 0.9440 | 0.6952 | ||
| CC | −0.3501 | 0.2227 | 0.2174 | 0.6180 | 0.8471 | ||
| Proposed | −0.2654 | 0.5843 | 0.5609 | 0.8940 | 1.9237 | ||
| Full Data | −0.0172 | 0.1576 | 0.1756 | 0.9650 | 0.6826 | ||
| CC | −0.4478 | 0.2172 | 0.2161 | 0.4370 | 0.8418 | ||
| Proposed | −0.1251 | 0.4037 | 0.4611 | 0.9330 | 1.8063 | ||
| True Zero | FullData | 0.0085 | 0.1567 | 0.1890 | 0.9960 | 0.7184 | |
| CC | 0.0063 | 0.2067 | 0.2304 | 0.9890 | 0.8890 | ||
| Proposed | 0.0109 | 0.0988 | 0.1690 | 1.0000 | 0.4398 | ||
| Full Data | −0.0019 | 0.1581 | 0.1900 | 0.9940 | 0.7206 | ||
| CC | −0.0017 | 0.2097 | 0.2307 | 0.9900 | 0.8914 | ||
| Proposed | 0.0126 | 0.1112 | 0.1447 | 1.0000 | 0.3668 | ||
| Full Data | 0.0045 | 0.1212 | 0.1606 | 0.9980 | 0.6146 | ||
| CC | −0.0053 | 0.1749 | 0.1953 | 0.9900 | 0.7560 | ||
| Proposed | 0.0034 | 0.0664 | 0.1160 | 1.0000 | 0.2555 | ||
| Full Data | 0.0014 | 0.1351 | 0.1839 | 0.9980 | 0.7063 | ||
| CC | −0.0055 | 0.1870 | 0.2245 | 0.9950 | 0.8717 | ||
| Proposed | 0.0024 | 0.0386 | 0.1115 | 1.0000 | 0.2538 | ||
| Full Data | −0.0072 | 0.1295 | 0.1748 | 0.9990 | 0.6653 | ||
| CC | −0.0062 | 0.1795 | 0.2125 | 0.9940 | 0.8251 | ||
| Proposed | 0.0016 | 0.0741 | 0.1066 | 1.0000 | 0.2284 | ||
| Parameter | Method | Bias | SD | SE | CP | Length | |
|---|---|---|---|---|---|---|---|
| FullData | −0.0005 | 0.0073 | 0.0088 | 0.9690 | 0.0344 | ||
| CC | −0.0730 | 0.0126 | 0.0130 | 0.0000 | 0.0507 | ||
| Proposed | −0.0213 | 0.0311 | 0.0334 | 0.8700 | 0.1293 | ||
| True Nonzero | FullData | −0.0005 | 0.1186 | 0.1170 | 0.9300 | 0.4547 | |
| CC | −0.6655 | 0.1568 | 0.1507 | 0.0090 | 0.5864 | ||
| Proposed | 0.0211 | 0.2911 | 0.2969 | 0.9300 | 1.1631 | ||
| Full Data | −0.0321 | 0.1175 | 0.1249 | 0.9550 | 0.4861 | ||
| CC | −0.3387 | 0.1477 | 0.1534 | 0.3960 | 0.5972 | ||
| Proposed | −0.0979 | 0.2907 | 0.3383 | 0.9230 | 1.3115 | ||
| Full Data | −0.0225 | 0.1051 | 0.1206 | 0.9590 | 0.4698 | ||
| CC | −0.4485 | 0.1478 | 0.1534 | 0.1770 | 0.5964 | ||
| Proposed | −0.0621 | 0.2351 | 0.2526 | 0.9290 | 0.9871 | ||
| True Zero | FullData | −0.0007 | 0.0621 | 0.1162 | 1.0000 | 0.4253 | |
| CC | 0.0023 | 0.1414 | 0.1614 | 0.9920 | 0.6180 | ||
| Proposed | 0.0044 | 0.0581 | 0.0910 | 1.0000 | 0.2091 | ||
| Full Data | 0.0020 | 0.0632 | 0.1170 | 1.0000 | 0.4271 | ||
| CC | −0.0005 | 0.1333 | 0.1608 | 0.9930 | 0.6207 | ||
| Proposed | 0.0063 | 0.0584 | 0.0887 | 1.0000 | 0.2107 | ||
| Full Data | 0.0013 | 0.0571 | 0.1010 | 1.0000 | 0.3670 | ||
| CC | −0.0034 | 0.1159 | 0.1378 | 0.9950 | 0.5313 | ||
| Proposed | 0.0012 | 0.0281 | 0.0688 | 1.0000 | 0.1430 | ||
| Full Data | −0.0028 | 0.0599 | 0.1144 | 1.0000 | 0.4231 | ||
| CC | −0.0033 | 0.1243 | 0.1584 | 0.9970 | 0.6131 | ||
| Proposed | 0.0016 | 0.0288 | 0.0698 | 1.0000 | 0.1421 | ||
| Full Data | 0.0039 | 0.0589 | 0.1080 | 1.0000 | 0.3970 | ||
| CC | 0.0028 | 0.1256 | 0.1497 | 0.9940 | 0.5752 | ||
| Proposed | 0.0000 | 0.0333 | 0.0644 | 1.0000 | 0.1314 | ||
| Effect | CC | Proposed | ||||
|---|---|---|---|---|---|---|
| Estimate | SE | CI | Estimate | SE | CI | |
| Calcium(shadow) | 0.7707 | 0.0691 | [0.6532, 0.9153] | 1.5271 | 0.1796 | [1.1815, 1.8835] |
| Red Blood Cell | 0.6491 | 0.0514 | [0.5337, 0.7257] | 0.7545 | 0.1631 | [0.3594, 1.0109] |
| Magnesium | 0.0000 | 0.0686 | [−0.2073, 0.0000] | 0.2731 | 0.2452 | [0.0000, 0.6609] |
| SOFA | −0.2720 | 0.0268 | [−0.3135, −0.2099] | −0.1852 | 0.1040 | [−0.3467, 0.0000] |
| Temperature | −0.0360 | 0.0351 | [−0.0883, 0.0659] | 0.0000 | 0.0964 | [0.0000, 0.3132] |
| White Blood Cell | −0.0245 | 0.0123 | [−0.0416, 0.0000] | 0.0000 | 0.0025 | [0.0000, 0.0000] |
| Age | 0.0000 | 0.0008 | [0.0000, 0.0000] | 0.0000 | 0.0017 | [0.0000. 0.0000] |
| Gender | 0.0000 | 0.0240 | [−0.0477, 0.0662] | 0.0000 | 0.1320 | [−0.4025, 0.0000] |
| Respiratory Rate | 0.0000 | 0.0034 | [−0.0141, 0.0000] | 0.0000 | 0.0008 | [0.0000, 0.0000] |
| Glucose | 0.0000 | 0.0000 | [0.0000, 0.0000] | 0.0000 | 0.0005 | [0.0000, 0.0000] |
| Heart Rate | 0.0000 | 0.0025 | [−0.0091, 0.0000] | 0.0000 | 0.0004 | [0.0000, 0.0000] |
| Systolic BP | 0.0000 | 0.0045 | [−0.0139, 0.0000] | 0.0000 | 0.0000 | [0.0000, 0.0000] |
| Diastolic BP | 0.0000 | 0.0072 | [0.0000, 0.0223] | 0.0000 | 0.0000 | [0.0000, 0.0000] |
| Urea Nitrogen | 0.0000 | 0.0004 | [0.0000, 0.0000] | 0.0000 | 0.0000 | [0.0000, 0.0000] |
| Platelets | 0.0000 | 0.0000 | [0.0000, 0.0000] | 0.0000 | 0.0000 | [0.0000, 0.0000] |
| Hematocrit | 0.0000 | 0.0027 | [0.0000, 0.0000] | 0.0000 | 0.0000 | [0.0000, 0.0000] |
| SpO2 | 0.0000 | 0.0145 | [−0.0479, 0.0000] | 0.0000 | 0.0162 | [0.0000, 0.0000] |
| SAPS-II | 0.0000 | 0.0106 | [−0.0051, 0.0269] | 0.0000 | 0.0000 | [0.0000, 0.0000] |
Publisher’s Note: MDPI stays neutral with regard to jurisdictional claims in published maps and institutional affiliations. |
© 2020 by the authors. Licensee MDPI, Basel, Switzerland. This article is an open access article distributed under the terms and conditions of the Creative Commons Attribution (CC BY) license (http://creativecommons.org/licenses/by/4.0/).
Share and Cite
Zhao, J.; Chen, C. A Nuisance-Free Inference Procedure Accounting for the Unknown Missingness with Application to Electronic Health Records. Entropy 2020, 22, 1154. https://doi.org/10.3390/e22101154
Zhao J, Chen C. A Nuisance-Free Inference Procedure Accounting for the Unknown Missingness with Application to Electronic Health Records. Entropy. 2020; 22(10):1154. https://doi.org/10.3390/e22101154
Chicago/Turabian StyleZhao, Jiwei, and Chi Chen. 2020. "A Nuisance-Free Inference Procedure Accounting for the Unknown Missingness with Application to Electronic Health Records" Entropy 22, no. 10: 1154. https://doi.org/10.3390/e22101154
APA StyleZhao, J., & Chen, C. (2020). A Nuisance-Free Inference Procedure Accounting for the Unknown Missingness with Application to Electronic Health Records. Entropy, 22(10), 1154. https://doi.org/10.3390/e22101154

