Can Short and Partial Observations Reduce Model Error and Facilitate Machine Learning Prediction?
Abstract
1. Introduction
2. The Nonlinear Models and the Conditional Sampling Algorithm
2.1. The Nonlinear Modeling Framework
2.2. The Nonlinear Data Assimilation
2.3. The Optimal Conditional Sampling
3. The Prediction Schemes
3.1. The Machine Learning Algorithm
3.2. The Ensemble Forecast
4. Predicting Multiscale Compressible Shallow Water Flows Using Lagrangian Observations
4.1. The Shallow Water Equation
4.2. The Lagrangian Observations
4.3. Setup of the Numerical Tests
4.4. Conditional Sampling
4.5. The LSTM Setup
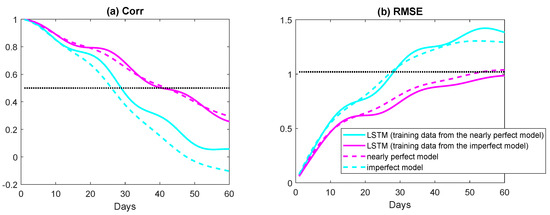
4.6. Prediction
5. Predicting the Monsoon Intraseasonal Oscillation (MISO)
5.1. The MISO Index and the Low-Order Nonlinear Stochastic Models
5.2. Conditional Sampling
- Step 1.
- Conditioned on the two components of the observed MISO index, sample N trajectories of .
- Step 2.
- Conditioned on each of the sampled trajectories, denoted now by , from Step 1, sample a trajectory of .
5.3. The Setup of the LSTM and the Model Ensemble Forecast
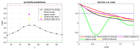
5.4. Prediction
6. Conclusions
Funding
Conflicts of Interest
Appendix A. Conditional Sampling
Appendix A.1. An Alternative Conditional Sampling Formula That Requires Only the Filter Estimates
Appendix A.2. Comparison of the Posterior Mean Time Series and the Trajectories from Conditional Sampling in Reproducing the Dynamical and Statistical Characteristics of Nature

Appendix B. Details of Predicting Multiscale Compressible Shallow Water Flows Using Lagrangian Observations
Appendix B.1. Details of the Shallow Water Equation
Appendix B.2. Sensitivity Analysis

Appendix C. Additional Results for Predicting the MISO Index


Appendix D. The Derivation of the Conditional Sampling Formula
References
- Perretti, C.T.; Munch, S.B.; Sugihara, G. Model-free forecasting outperforms the correct mechanistic model for simulated and experimental data. Proc. Natl. Acad. Sci. USA 2013, 110, 5253–5257. [Google Scholar] [CrossRef] [PubMed]
- Brunton, S.L.; Kutz, J.N. Data-Driven Science and Engineering: Machine Learning, Dynamical Systems, and Control; Cambridge University Press: Cambridge, MA, USA, 2019. [Google Scholar]
- Wan, Z.Y.; Sapsis, T.P. Machine learning the kinematics of spherical particles in fluid flows. J. Fluid Mech. 2018, 857, R2-1–R2-11. [Google Scholar] [CrossRef]
- Anaby-Tavor, A.; Carmeli, B.; Goldbraich, E.; Kantor, A.; Kour, G.; Shlomov, S.; Tepper, N.; Zwerdling, N. Not Enough Data? Deep Learning to the Rescue! arXiv 2019, arXiv:1911.03118. [Google Scholar]
- Wong, S.C.; Gatt, A.; Stamatescu, V.; McDonnell, M.D. Understanding data augmentation for classification: When to warp? In Proceedings of the 2016 IEEE International Conference on Digital Image Computing: Techniques and Applications (DICTA), Gold Coast, Australia, 30 November–2 December 2016; pp. 1–6. [Google Scholar]
- Wei, J.W.; Zou, K. Eda: Easy data augmentation techniques for boosting performance on text classification tasks. arXiv 2019, arXiv:1901.11196. [Google Scholar]
- Ham, Y.G.; Kim, J.H.; Luo, J.J. Deep learning for multi-year ENSO forecasts. Nature 2019, 573, 568–572. [Google Scholar] [CrossRef] [PubMed]
- O’Gorman, P.A.; Dwyer, J.G. Using machine learning to parameterize moist convection: Potential for modeling of climate, climate change, and extreme events. J. Adv. Model. Earth Syst. 2018, 10, 2548–2563. [Google Scholar] [CrossRef]
- Kalnay, E. Atmospheric Modeling, Data Assimilation and Predictability; Cambridge University Press: Cambridge, MA, USA, 2003. [Google Scholar]
- Evensen, G. Data Assimilation: The Ensemble Kalman Filter; Springer Science & Business Media: Berlin/Heidelberg, Germany, 2009. [Google Scholar]
- Majda, A.J.; Harlim, J. Filtering Complex Turbulent Systems; Cambridge University Press: Cambridge, MA, USA, 2012. [Google Scholar]
- Law, K.; Stuart, A.; Zygalakis, K. Data Assimilation: A Mathematical Introduction; Springer: New York, NY, USA, 2015. [Google Scholar]
- Brajard, J.; Carassi, A.; Bocquet, M.; Bertino, L. Combining data assimilation and machine learning to emulate a dynamical model from sparse and noisy observations: A case study with the Lorenz 96 model. arXiv 2020, arXiv:2001.01520. [Google Scholar]
- Liptser, R.S.; Shiryaev, A.N. Statistics of Random Processes II: Applications; Springer Science & Business Media: Berlin/Heidelberg, Germany, 2013. [Google Scholar]
- Chen, N.; Majda, A. Conditional Gaussian systems for multiscale nonlinear stochastic systems: Prediction, state estimation and uncertainty quantification. Entropy 2018, 20, 509. [Google Scholar] [CrossRef]
- Chen, N. Improving the Prediction of Complex Nonlinear Turbulent Dynamical Systems Using Nonlinear Filter, Smoother and Backward Sampling Techniques. Res. Math. Sci. 2020, 7, 1–39. [Google Scholar] [CrossRef]
- Chen, N.; Majda, A.J. Beating the curse of dimension with accurate statistics for the Fokker–Planck equation in complex turbulent systems. Proc. Natl. Acad. Sci. USA 2017, 114, 12864–12869. [Google Scholar] [CrossRef]
- Hochreiter, S.; Schmidhuber, J. Long short-term memory. Neural Comput. 1997, 9, 1735–1780. [Google Scholar] [CrossRef] [PubMed]
- Gould, J.; Roemmich, D.; Wijffels, S.; Freeland, H.; Ignaszewsky, M.; Xu, J.; Pouliquen, S.; Desaubies, Y.; Send, U.; Radhakrishnan, K.; et al. Argo profiling floats bring new era of in situ ocean observations. Eos Trans. Am. Geophys. Union 2004, 85, 185–191. [Google Scholar] [CrossRef]
- LaCasce, J. Statistics from Lagrangian observations. Prog. Oceanogr. 2008, 77, 1–29. [Google Scholar] [CrossRef]
- Apte, A.; Jones, C.K.; Stuart, A. A Bayesian approach to Lagrangian data assimilation. Tellus Dyn. Meteorol. Oceanogr. 2008, 60, 336–347. [Google Scholar] [CrossRef][Green Version]
- Majda, A. Introduction to PDEs and Waves for the Atmosphere and Ocean; American Mathematical Soc.: Providence, RI, USA, 2003. [Google Scholar]
- Vallis, G.K. Atmospheric and Oceanic Fluid Dynamics; Cambridge University Press: Cambridge, MA, USA, 2017. [Google Scholar]
- Chen, N.; Majda, A.J.; Tong, X.T. Noisy Lagrangian tracers for filtering random rotating compressible flows. J. Nonlinear Sci. 2015, 25, 451–488. [Google Scholar] [CrossRef]
- Majda, A.J. Introduction to Turbulent Dynamical Systems in Complex Systems; Springer: New York, NY, USA, 2016. [Google Scholar]
- Farrell, B.F.; Ioannou, P.J. Stochastic forcing of the linearized Navier–Stokes equations. Phys. Fluids Fluid Dyn. 1993, 5, 2600–2609. [Google Scholar] [CrossRef]
- Geurts, B.J.; Kuerten, J.G. Ideal stochastic forcing for the motion of particles in large-eddy simulation extracted from direct numerical simulation of turbulent channel flow. Phys. Fluids 2012, 24, 081702. [Google Scholar] [CrossRef]
- Chen, N.; Majda, A.J.; Tong, X.T. Information barriers for noisy Lagrangian tracers in filtering random incompressible flows. Nonlinearity 2014, 27, 2133. [Google Scholar] [CrossRef]
- Fritts, D.C.; Vanzandt, T.E. Spectral estimates of gravity wave energy and momentum fluxes. Part I: Energy dissipation, acceleration, and constraints. J. Atmos. Sci. 1993, 50, 3685–3694. [Google Scholar] [CrossRef]
- Sikka, D.; Gadgil, S. On the maximum cloud zone and the ITCZ over Indian, longitudes during the southwest monsoon. Mon. Weather Rev. 1980, 108, 1840–1853. [Google Scholar] [CrossRef]
- Goswami, B.; Mohan, R.A. Intraseasonal oscillations and interannual variability of the Indian summer monsoon. J. Clim. 2001, 14, 1180–1198. [Google Scholar] [CrossRef]
- Lau, W.K.M.; Waliser, D.E. Intraseasonal Variability in the Atmosphere-Ocean Climate System; Springer Science & Business Media: Berlin/Heidelberg, Germany, 2011. [Google Scholar]
- Sabeerali, C.; Ajayamohan, R.; Giannakis, D.; Majda, A.J. Extraction and prediction of indices for monsoon intraseasonal oscillations: An approach based on nonlinear Laplacian spectral analysis. Clim. Dyn. 2017, 49, 3031–3050. [Google Scholar] [CrossRef]
- Huffman, G.J.; Adler, R.F.; Morrissey, M.M.; Bolvin, D.T.; Curtis, S.; Joyce, R.; McGavock, B.; Susskind, J. Global precipitation at one-degree daily resolution from multisatellite observations. J. Hydrometeorol. 2001, 2, 36–50. [Google Scholar] [CrossRef]
- Chen, N.; Majda, A.J.; Sabeerali, C.; Ajayamohan, R. Predicting monsoon intraseasonal precipitation using a low-order nonlinear stochastic model. J. Clim. 2018, 31, 4403–4427. [Google Scholar] [CrossRef]
- Cabos, W.; de la Vara, A.; Koseki, S. Tropical Atlantic variability: Observations and modeling. Atmosphere 2019, 10, 502. [Google Scholar] [CrossRef]
- Sabeerali, C.; Ajayamohan, R.; Bangalath, H.K.; Chen, N. Atlantic Zonal Mode: An Emerging Source of Indian Summer Monsoon Variability in a Warming World. Geophys. Res. Lett. 2019, 46, 4460–4467. [Google Scholar] [CrossRef]
- Majda, A.J.; Harlim, J. Physics constrained nonlinear regression models for time series. Nonlinearity 2012, 26, 201. [Google Scholar] [CrossRef]
- Harlim, J.; Mahdi, A.; Majda, A.J. An ensemble Kalman filter for statistical estimation of physics constrained nonlinear regression models. J. Comput. Phys. 2014, 257, 782–812. [Google Scholar] [CrossRef]
- Särkkä, S. Bayesian Filtering and Smoothing; Cambridge University Press: Cambridge, MA, USA, 2013. [Google Scholar]







© 2020 by the author. Licensee MDPI, Basel, Switzerland. This article is an open access article distributed under the terms and conditions of the Creative Commons Attribution (CC BY) license (http://creativecommons.org/licenses/by/4.0/).
Share and Cite
Chen, N. Can Short and Partial Observations Reduce Model Error and Facilitate Machine Learning Prediction? Entropy 2020, 22, 1075. https://doi.org/10.3390/e22101075
Chen N. Can Short and Partial Observations Reduce Model Error and Facilitate Machine Learning Prediction? Entropy. 2020; 22(10):1075. https://doi.org/10.3390/e22101075
Chicago/Turabian StyleChen, Nan. 2020. "Can Short and Partial Observations Reduce Model Error and Facilitate Machine Learning Prediction?" Entropy 22, no. 10: 1075. https://doi.org/10.3390/e22101075
APA StyleChen, N. (2020). Can Short and Partial Observations Reduce Model Error and Facilitate Machine Learning Prediction? Entropy, 22(10), 1075. https://doi.org/10.3390/e22101075