Two-Dimensional Electronic Transport in Rubrene: The Impact of Inter-Chain Coupling
Abstract
1. Introduction
2. The Organic Semi-Conductors
2.1. General Aspects
2.2. The Rubrene
3. Theoretical Model
3.1. Tight-Binding Hamiltonian for Rubrene
- The band structure calculations show that the LUMO and HOMO bands do not mix with the bands formed from other orbitals in most of the organic semi-conductors. Therefore a single band derived from a single state per molecule is able to reproduce the states of an electron (LUMO orbital) or of a hole (HOMO orbital).
- The phonons that are coupled to the electrons have small frequencies and can be treated classically at room temperature.
- A positive or negative charge on a pentacene or rubrene molecule produces minor changes in the vibrations states of the molecule [41]. This suggests that the modulation of the transfer integral is insensitive to the presence or absence of a charge on the molecule and depends on its distance to the neighbor molecule.
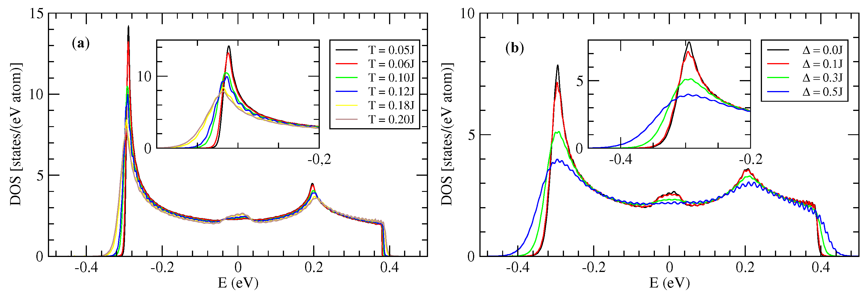
- Intrinsic disorder: It’s manifests through the variation of random values of the hopping integrals for temperatures K. This disorder comes from the displacement of the molecules under their thermal kinetic energy at finite T. Because the Van der Waals interaction energy between molecules is relatively weak, the displacement of the molecules are large and the relative variation of the hopping integrals is also large with respect to their average values.
- Extrinsic disorder: Impurities and defects are at the origin of this type of disorder. The strength of the extrinsic disorder is often represented by a Gaussian distribution of the on-site energies with the standard deviation .
3.2. Modeling the Hopping Integrals
3.2.1. Correlated Disorder
3.2.2. Uncorrelated Disorder
4. Transient Localisation Model for Charge Transport in Rubrene
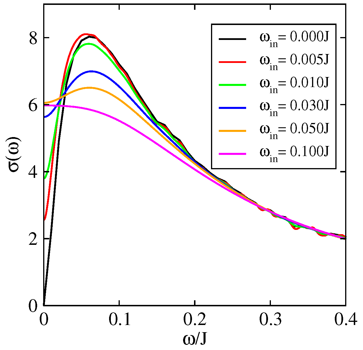
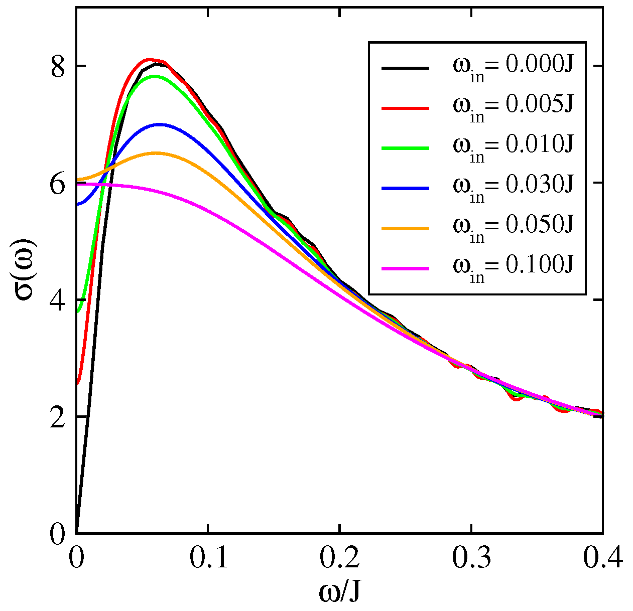
4.1. The Kubo Formalism and the Relaxation Time Approximation
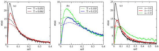
4.2. Electronic Transport in Rubrene: 1D Model
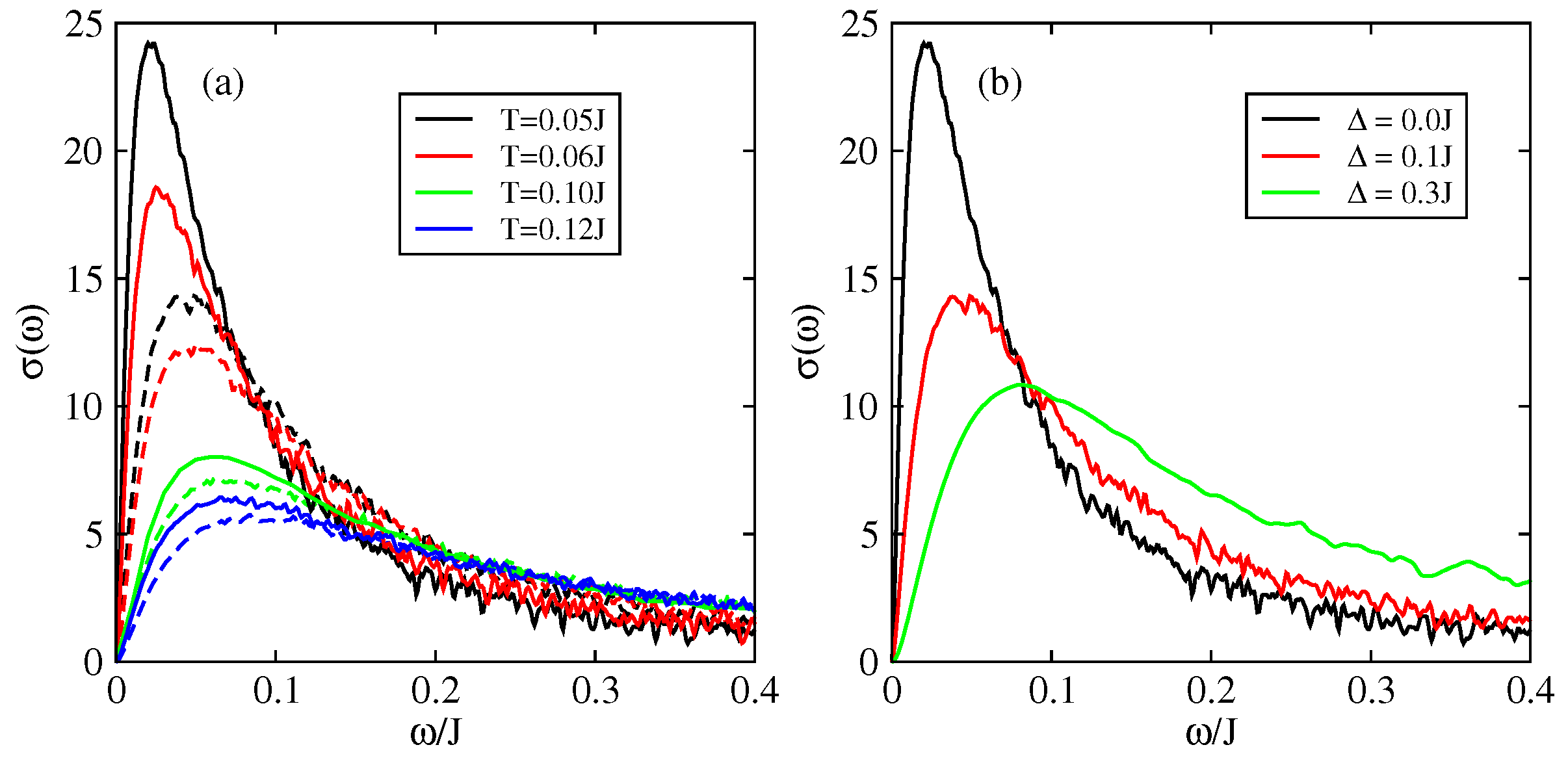
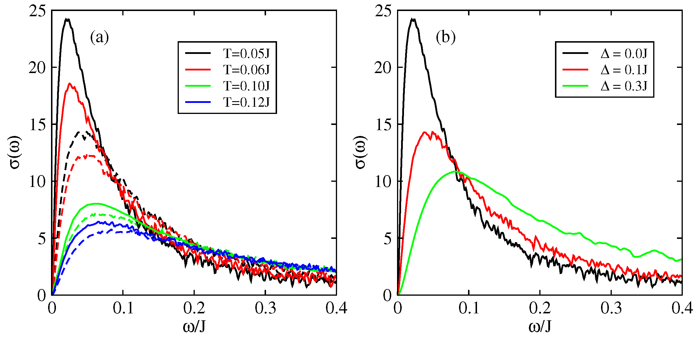
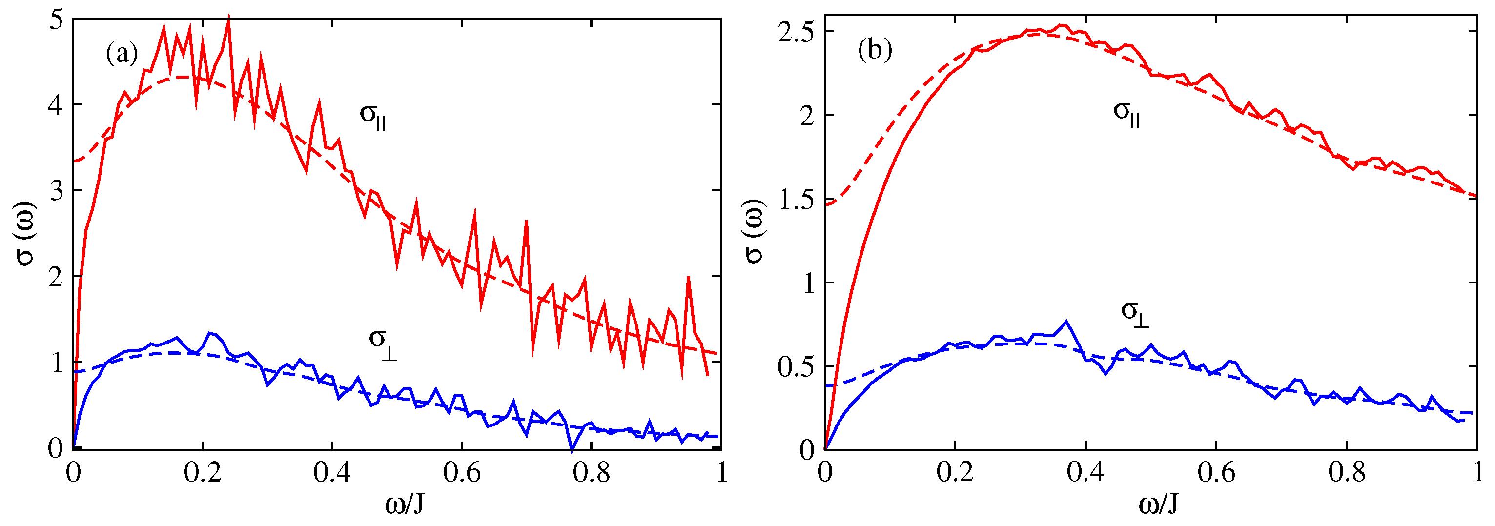
4.3. Electronic Transport in Rubrene: 2D Models
4.3.1. Correlated Disorder
4.3.2. Uncorrelated Disorder
4.4. Comparison between 1D and 2D Models
5. Conclusions
Author Contributions
Funding
Acknowledgments
Conflicts of Interest
References
- Chiang, C.K.; Druy, M.A.; Gau, S.C.; Heeger, A.J.; Louis, E.J.; MacDiarmid, A.G.; Park, Y.W.; Shirakawa, H. Synthesis of highly conducting films of derivatives of polyacetylene, (CH)x. J. Am. Chem. Soc. 1978, 100, 1013–1015. [Google Scholar] [CrossRef]
- Hoeben, F.J.M.; Jonkheijm, P.; Meijer, E.W.; Schenning, A.P.H.J. About Supramolecular Assemblies of π-Conjugated Systems. Chem. Rev. 2005, 105, 1491–1546. [Google Scholar] [CrossRef] [PubMed]
- Wang, C.; Dong, H.; Hu, W.; Liu, Y.; Zhu, D. Semiconducting π-Conjugated Systems in Field-Effect Transistors: A Material Odyssey of Organic Electronics. Chem. Rev. 2012, 112, 2208–2267. [Google Scholar] [CrossRef] [PubMed]
- Jo, P.S.; Duong, D.T.; Park, J.; Sinclair, R.; Salleo, A. Control of Rubrene Polymorphs via Polymer Binders: Applications in Organic Field-Effect Transistors. Chem. Mater. 2015, 27, 3979–3987. [Google Scholar] [CrossRef]
- Le, T.H.; Kim, Y.; Yoon, H. Electrical and Electrochemical Properties of Conducting Polymers. Polymers 2017, 9, 150. [Google Scholar] [CrossRef]
- Ly, J.T.; Lopez, S.A.; Lin, J.B.; Kim, J.J.; Lee, H.; Burnett, E.K.; Zhang, L.; Aspuru-Guzik, A.; Houk, K.N.; Briseno, A.L. Oxidation of rubrene, and implications for device stability. J. Mater. Chem. C 2018, 6, 3757–3761. [Google Scholar] [CrossRef]
- Dimitrakopoulos, C.; Malenfant, P. Organic Thin Film Transistors for Large Area Electronics. Adv. Mater. 2002, 14, 99–117. [Google Scholar] [CrossRef]
- Ciuchi, S.; Fratini, S.; Mayou, D. Transient localization in crystalline organic semiconductors. Phys. Rev. B 2011, 83, 081202. [Google Scholar] [CrossRef]
- Fratini, S.; Mayou, D.; Ciuchi, S. The Transient Localization Scenario for Charge Transport in Crystalline Organic Materials. Adv. Funct. Mater. 2016, 26, 2292–2315. [Google Scholar] [CrossRef]
- Fratini, S.; Ciuchi, S.; Mayou, D.; Trambly de Laissardière, G.; Troisi, A. A map of high-mobility molecular semiconductors. Nat. Mater. 2017, 16, 998. [Google Scholar] [CrossRef] [PubMed]
- Troisi, A. Prediction of the Absolute Charge Mobility of Molecular Semiconductors: The Case of Rubrene. Adv. Mater. 2007, 19, 2000–2004. [Google Scholar] [CrossRef]
- Gargiulo, F.; Perroni, C.A.; Ramaglia, V.M.; Cataudella, V. Electronic transport within a quasi-two-dimensional model for rubrene single-crystal field effect transistors. Phys. Rev. B 2011, 84, 245204. [Google Scholar] [CrossRef]
- Troisi, A. Dynamic disorder in molecular semiconductors: Charge transport in two dimensions. J. Chem. Phys. 2011, 134, 034702. [Google Scholar] [CrossRef] [PubMed]
- Brocks, G.; van den Brink, J.; Morpurgo, A.F. Electronic Correlations in Oligo-acene and -Thiopene Organic Molecular Crystals. Phys. Rev. Lett. 2004, 93, 146405. [Google Scholar] [CrossRef] [PubMed]
- Pope, M.; Swenberg, C.E. Electronic Processes in Organic Crystals and Polymers, 2nd ed.; John Wiley Sons, Inc.: New York, NY, USA, 1983. [Google Scholar]
- Karl, N. Charge carrier transport in organic semiconductors. Synth. Met. 2003, 133–134, 649–657. [Google Scholar] [CrossRef]
- Karl, N.; Marktanner, J. Electron and Hole Mobilities in High Purity Anthracene Single Crystals. Mol. Cryst. Liq. Cryst. Sci. Technol. Sect. A 2001, 355, 149–173. [Google Scholar] [CrossRef]
- Reese, C.; Bao, Z. High-Resolution Measurement of the Anisotropy of Charge Transport in Single Crystals. Adv. Mater. 2007, 19, 4535–4538. [Google Scholar] [CrossRef]
- Sundar, V.C.; Zaumseil, J.; Podzorov, V.; Menard, E.; Willett, R.L.; Someya, T.; Gershenson, M.E.; Rogers, J.A. Elastomeric Transistor Stamps: Reversible Probing of Charge Transport in Organic Crystals. Science 2004, 303, 1644–1646. [Google Scholar] [CrossRef] [PubMed]
- Pollak, M.; Shklovskii, B. (Eds.) Modern Problems in Condensed Matter Sciences. In Hopping Transport in Solids; Elsevier: Amsterdam, The Netherlands, 1991; Volume 28, p. II. [Google Scholar]
- Uchida, M.; Adachi, C.; Koyama, T.; Taniguchi, Y. Charge carrier trapping effect by luminescent dopant molecules in single-layer organic light emitting diodes. J. Appl. Phys. 1999, 86, 1680–1687. [Google Scholar] [CrossRef]
- Sakamoto, G.; Adachi, C.; Koyama, T.; Taniguchi, Y.; Merritt, C.D.; Murata, H.; Kafafi, Z.H. Significant improvement of device durability in organic light-emitting diodes by doping both hole transport and emitter layers with rubrene molecules. Appl. Phys. Lett. 1999, 75, 766–768. [Google Scholar] [CrossRef]
- Sim, K.; Na, H.; Park, J.; Lee, J.; Do, J.; Pyo, S. High-performance organic transistors based on solution-processed rubrene crystals directly grown on a polymeric dielectric. Org. Electron. 2018, 56, 76–81. [Google Scholar] [CrossRef]
- Botzung-Appert, E.; Monnier, V.; Duong, T.H.; Pansu, R.; Ibanez, A. Polyaromatic Luminescent Nanocrystals for Chemical and Biological Sensors. Chem. Mater. 2004, 16, 1609–1611. [Google Scholar] [CrossRef]
- Wang, Z.; Naka, S.; Okada, H. Performance improvement of rubrene-based organic light emitting devices with a mixed single layer. Appl. Phys. A 2010, 100, 1103–1108. [Google Scholar] [CrossRef]
- Choi, M.S.; Lee, H.N. Light-Emission and Electricity-Generation Properties of Photovoltaic Organic Light-Emitting Diodes with Rubrene/DBP Light-Emission and Electron-Donating Layers. Int. J. Photoenergy 2014, 2014, 361861. [Google Scholar] [CrossRef]
- Yi, H.T.; Payne, M.M.; Anthony, J.E.; Podzorov, V. Ultra-flexible solution-processed organic field-effect transistors. Nat. Commun. 2012, 3, 1259. [Google Scholar] [CrossRef] [PubMed]
- Da Silva Filho, D.A.; Kim, E.G.; Brédas, J.L. Transport Properties in the Rubrene Crystal: Electronic Coupling and Vibrational Reorganization Energy. Adv. Mater. 2005, 17, 1072–1076. [Google Scholar] [CrossRef]
- Nakayama, Y.; Uragami, Y.; Machida, S.; Koswattage, K.R.; Yoshimura, D.; Setoyama, H.; Okajima, T.; Mase, K.; Ishii, H. Full Picture of Valence Band Structure of Rubrene Single Crystals Probed by Angle-Resolved and Excitation-Energy-Dependent Photoelectron Spectroscopy. Appl. Phys. Express 2012, 5, 111601. [Google Scholar] [CrossRef]
- Nakayama, Y.; Machida, S.; Minari, T.; Tsukagishi, K.; Noguchi, Y.; Ishii, H. Direct observation of the electronic states of single crystalline rubrene under ambient condition by photoelectron yield spectroscopy. Appl. Phys. Lett. 2008, 93, 173305. [Google Scholar] [CrossRef]
- Jurchescu, O.D.; Meetsma, A.; Palstra, T.T.M. Low-temperature structure of rubrene single crystals grown by vapor transport. Acta Crystallogr. Sect. B 2006, 62, 330–334. [Google Scholar] [CrossRef] [PubMed]
- Huang, L.; Liao, Q.; Shi, Q.; Fu, H.; Ma, J.; Yao, J. Rubrene micro-crystals from solution routes: Their crystallography, morphology and optical properties. J. Mater. Chem. 2010, 20, 159–166. [Google Scholar] [CrossRef]
- Podzorov, V.; Menard, E.; Borissov, A.; Kiryukhin, V.; Rogers, J.A.; Gershenson, M.E. Intrinsic Charge Transport on the Surface of Organic Semiconductors. Phys. Rev. Lett. 2004, 93, 086602. [Google Scholar] [CrossRef] [PubMed]
- Matsukawa, T.; Yoshimura, M.; Uchiyama, M.; Yamagishi, M.; Nakao, A.; Takahashi, Y.; Takeya, J.; Kitaoka, Y.; Mori, Y.; Sasaki, T. Polymorphs of Rubrene Crystal Grown from Solution. Jpn. J. Appl. Phys. 2010, 49, 085502. [Google Scholar] [CrossRef]
- Yamagishi, M.; Takeya, J.; Tominari, Y.; Nakazawa, Y.; Kuroda, T.; Ikehata, S.; Uno, M.; Nishikawa, T.; Kawase, T. High-mobility double-gate organic single-crystal transistors with organic crystal gate insulators. Appl. Phys. Lett. 2007, 90, 182117. [Google Scholar] [CrossRef]
- Rang, Z.; Nathan, M.I.; Ruden, P.P.; Podzorov, V.; Gershenson, M.E.; Newman, C.R.; Frisbie, C.D. Hydrostatic pressure dependence of charge carrier transport in single-crystal rubrene devices. Appl. Phys. Lett. 2005, 86, 123501. [Google Scholar] [CrossRef]
- Bisri, S.; Takenobu, T.; Takahashi, T.; Iwasa, Y. Electron transport in rubrene single-crystal transistors. Appl. Phys. Lett. 2010, 96, 183304. [Google Scholar] [CrossRef]
- Troisi, A.; Orlandi, G. Dynamics of the Intermolecular Transfer Integral in Crystalline Organic Semiconductors. J. Phys. Chem. A 2006, 110, 4065–4070. [Google Scholar] [CrossRef] [PubMed]
- Coropceanu, V.; Cornil, J.; da Silva Filho, D.A.; Olivier, Y.; Silbey, R.; Brédas, J.L. Charge Transport in Organic Semiconductors. Chem. Rev. 2007, 107, 926–952. [Google Scholar] [CrossRef] [PubMed]
- Eckhardt, C.J. Organic Molecular Crystals: Interaction, Localization and Transport Phenomena. J. Am. Chem. Soc. 1996, 118, 2310. [Google Scholar] [CrossRef]
- Coropceanu, V.; Malagoli, M.; da Silva Filho, D.A.; Gruhn, N.E.; Bill, T.G.; Brédas, J.L. Hole- and Electron-Vibrational Couplings in Oligoacene Crystals: Intramolecular Contributions. Phys. Rev. Lett. 2002, 89, 275503. [Google Scholar] [CrossRef] [PubMed]
- Newton, M.D. Quantum chemical probes of electron-transfer kinetics: The nature of donor-acceptor interactions. Chem. Rev. 1991, 91, 767–792. [Google Scholar] [CrossRef]
- Bixon, M.; Jortner, J. Electron Transfer—From Isolated Molecules to Biomolecules. Adv. Chem. Phys. 2007, 106, 35–202. [Google Scholar] [CrossRef]
- Hsu, C.P. The Electronic Couplings in Electron Transfer and Excitation Energy Transfer. Acc. Chem. Res. 2009, 42, 509–518. [Google Scholar] [CrossRef] [PubMed]
- Fratini, S.; Ciuchi, S. Bandlike Motion and Mobility Saturation in Organic Molecular Semiconductors. Phys. Rev. Lett. 2009, 103, 266601. [Google Scholar] [CrossRef] [PubMed]
- Ciuchi, S.; Fratini, S. Band Dispersion and Electronic Lifetimes in Crystalline Organic Semiconductors. Phys. Rev. Lett. 2011, 106, 166403. [Google Scholar] [CrossRef] [PubMed]
- Ciuchi, S.; Fratini, S. Electronic transport and quantum localization effects in organic semiconductors. Phys. Rev. B 2012, 86, 245201. [Google Scholar] [CrossRef]
- Minder, N.A.; Lu, S.; Fratini, S.; Ciuchi, S.; Facchetti, A.; Morpurgo, A.F. Tailoring the Molecular Structure to Suppress Extrinsic Disorder in Organic Transistors. Adv. Mater. 2014, 26, 1254–1260. [Google Scholar] [CrossRef] [PubMed]
- Fratini, S.; Ciuchi, S.; Mayou, D. Phenomenological model for charge dynamics and optical response of disordered systems: Application to organic semiconductors. Phys. Rev. B 2014, 89, 235201. [Google Scholar] [CrossRef]
- Troisi, A.; Orlandi, G. Charge-Transport Regime of Crystalline Organic Semiconductors: Diffusion Limited by Thermal Off-Diagonal Electronic Disorder. Phys. Rev. Lett. 2006, 96, 086601. [Google Scholar] [CrossRef] [PubMed]
- Troisi, A.; Orlandi, G.; Anthony, J.E. Electronic Interactions and Thermal Disorder in Molecular Crystals Containing Cofacial Pentacene Units. Chem. Mater. 2005, 17, 5024–5031. [Google Scholar] [CrossRef]
- Roche, S.; Mayou, D. Conductivity of Quasiperiodic Systems: A Numerical Study. Phys. Rev. Lett. 1997, 79, 2518–2521. [Google Scholar] [CrossRef]
- Triozon, F.; Vidal, J.; Mosseri, R.; Mayou, D. Quantum dynamics in two- and three-dimensional quasiperiodic tilings. Phys. Rev. B 2002, 65, 220202. [Google Scholar] [CrossRef]
- Trambly de Laissardière, G.; Oguey, C.; Mayou, D. Sub-diffusive electronic states in octagonal tiling. J. Phys. Conf. Ser. 2017, 809, 012020. [Google Scholar] [CrossRef]
- Lherbier, A.; Biel, B.; Niquet, Y.M.; Roche, S. Transport Length Scales in Disordered Graphene-Based Materials: Strong Localization Regimes and Dimensionality Effects. Phys. Rev. Lett. 2008, 100, 036803. [Google Scholar] [CrossRef] [PubMed]
- Lherbier, A.; Dubois, S.M.M.; Declerck, X.; Roche, S.; Niquet, Y.M.; Charlier, J.C. Two-Dimensional Graphene with Structural Defects: Elastic Mean Free Path, Minimum Conductivity, and Anderson Transition. Phys. Rev. Lett. 2011, 106, 046803. [Google Scholar] [CrossRef] [PubMed]
- Roche, S.; Leconte, N.; Ortmann, F.; Lherbier, A.; Soriano, D.; Charlier, J.C. Quantum transport in disordered graphene: A theoretical perspective. Solid State Commun. 2012, 152, 1404–1410. [Google Scholar] [CrossRef]
- Trambly de Laissardière, G.; Mayou, D. Electronic transport in Graphene: Quantum effects and role of loacl defects. Mod. Phys. Lett. B 2011, 25, 1019–1028. [Google Scholar] [CrossRef]
- Trambly de Laissardière, G.; Mayou, D. Conductivity of Graphene with Resonant and Nonresonant Adsorbates. Phys. Rev. Lett. 2013, 111, 146601. [Google Scholar] [CrossRef] [PubMed]
- Trambly de Laissardière, G.; Mayou, D. Conductivity of graphene with resonant adsorbates: Beyond the nearest neighbor hopping model. Adv. Natl. Sci. Nanosci. Nanotechnol. 2014, 5, 015007. [Google Scholar] [CrossRef]
- Soriano, D.; Tuan, D.V.; Dubois, S.M.M.; Gmitra, M.; Cummings, A.W.; Kochan, D.; Ortmann, F.; Charlier, J.C.; Fabian, J.; Roche, S. Spin transport in hydrogenated graphene. 2D Materials 2015, 2, 022002. [Google Scholar] [CrossRef]
- Missaoui, A.; Khabthani, J.J.; Jaidane, N.E.; Mayou, D.; Trambly de Laissardière, G. Numerical analysis of electronic conductivity in graphene with resonant adsorbates: Comparison of monolayer and Bernal bilayer. Eur. Phys. J. B 2017, 90, 75. [Google Scholar] [CrossRef]
- Missaoui, A.; Khabthani, J.J.; Jaidane, N.E.; Mayou, D.; Trambly de Laissardière, G. Mobility gap and quantum transport in a functionalized graphene bilayer. J. Phys. Condens. Matter 2018, 30, 195701. [Google Scholar] [CrossRef] [PubMed]
- Mayou, D. Calculation of the Conductivity in the Short-Mean-Free-Path Regime. EPL Europhys. Lett. 1988, 6, 549. [Google Scholar] [CrossRef]
- Mayou, D.; Khanna, S.N. A Real-Space Approach to Electronic Transport. J. Phys. I Paris 1995, 5, 1199–1211. [Google Scholar] [CrossRef]
- Roche, S.; Mayou, D. Formalism for the computation of the RKKY interaction in aperiodic systems. Phys. Rev. B 1999, 60, 322–328. [Google Scholar] [CrossRef]
- Ren, Z.Q.; McNeil, L.E.; Liu, S.; Kloc, C. Molecular motion and mobility in an organic single crystal: Raman study and model. Phys. Rev. B 2009, 80, 245211. [Google Scholar] [CrossRef]
- Girlando, A.; Grisanti, L.; Masino, M.; Bilotti, I.; Brillante, A.; Della Valle, R.G.; Venuti, E. Peierls and Holstein carrier-phonon coupling in crystalline rubrene. Phys. Rev. B 2010, 82, 035208. [Google Scholar] [CrossRef]
- Eggarter, T.P.; Riedinger, R. Singular behavior of tight-binding chains with off-diagonal disorder. Phys. Rev. B 1978, 18, 569–575. [Google Scholar] [CrossRef]
- Brouwer, P.W.; Mudry, C.; Furusaki, A. Density of States in Coupled Chains with Off-Diagonal Disorder. Phys. Rev. Lett. 2000, 84, 2913–2916. [Google Scholar] [CrossRef] [PubMed]
- Uchida, R.; Yada, H.; Makino, M.; Matsui, Y.; Miwa, K.; Uemura, T.; Takeya, J.; Okamoto, H. Charge modulation infrared spectroscopy of rubrene single-crystal field-effect transistors. Appl. Phys. Lett. 2013, 102, 093301. [Google Scholar] [CrossRef]
- Fischer, M.; Dressel, M.; Gompf, B.; Tripathi, A.K.; Pflaum, J. Infrared spectroscopy on the charge accumulation layer in rubrene single crystals. Appl. Phys. Lett. 2006, 89, 182103. [Google Scholar] [CrossRef]
- Li, Z.Q.; Podzorov, V.; Sai, N.; Martin, M.C.; Gershenson, M.E.; Di Ventra, M.; Basov, D.N. Light Quasiparticles Dominate Electronic Transport in Molecular Crystal Field-Effect Transistors. Phys. Rev. Lett. 2007, 99, 016403. [Google Scholar] [CrossRef] [PubMed]

















| Parameters | Values |
|---|---|
| a [nm] | 1.4433 |
| b [nm] | 0.7193 |
| c [nm] | 2.686 |
| Volume [nm3] | 2.7885 |
© 2019 by the authors. Licensee MDPI, Basel, Switzerland. This article is an open access article distributed under the terms and conditions of the Creative Commons Attribution (CC BY) license (http://creativecommons.org/licenses/by/4.0/).
Share and Cite
Missaoui, A.; Khabthani, J.J.; Trambly de Laissardière, G.; Mayou, D. Two-Dimensional Electronic Transport in Rubrene: The Impact of Inter-Chain Coupling. Entropy 2019, 21, 233. https://doi.org/10.3390/e21030233
Missaoui A, Khabthani JJ, Trambly de Laissardière G, Mayou D. Two-Dimensional Electronic Transport in Rubrene: The Impact of Inter-Chain Coupling. Entropy. 2019; 21(3):233. https://doi.org/10.3390/e21030233
Chicago/Turabian StyleMissaoui, Ahmed, Jouda Jemaa Khabthani, Guy Trambly de Laissardière, and Didier Mayou. 2019. "Two-Dimensional Electronic Transport in Rubrene: The Impact of Inter-Chain Coupling" Entropy 21, no. 3: 233. https://doi.org/10.3390/e21030233
APA StyleMissaoui, A., Khabthani, J. J., Trambly de Laissardière, G., & Mayou, D. (2019). Two-Dimensional Electronic Transport in Rubrene: The Impact of Inter-Chain Coupling. Entropy, 21(3), 233. https://doi.org/10.3390/e21030233

