Entropy Generation Analysis and Thermodynamic Optimization of Jet Impingement Cooling Using Large Eddy Simulation
Abstract
1. Introduction
2. Modeling
2.1. LES Framework
2.2. Entropy Generation Analysis Using LES
2.3. Second Law-Based Performance Evaluation Criteria
3. Configuration
4. Results and Entropy Generation Analysis
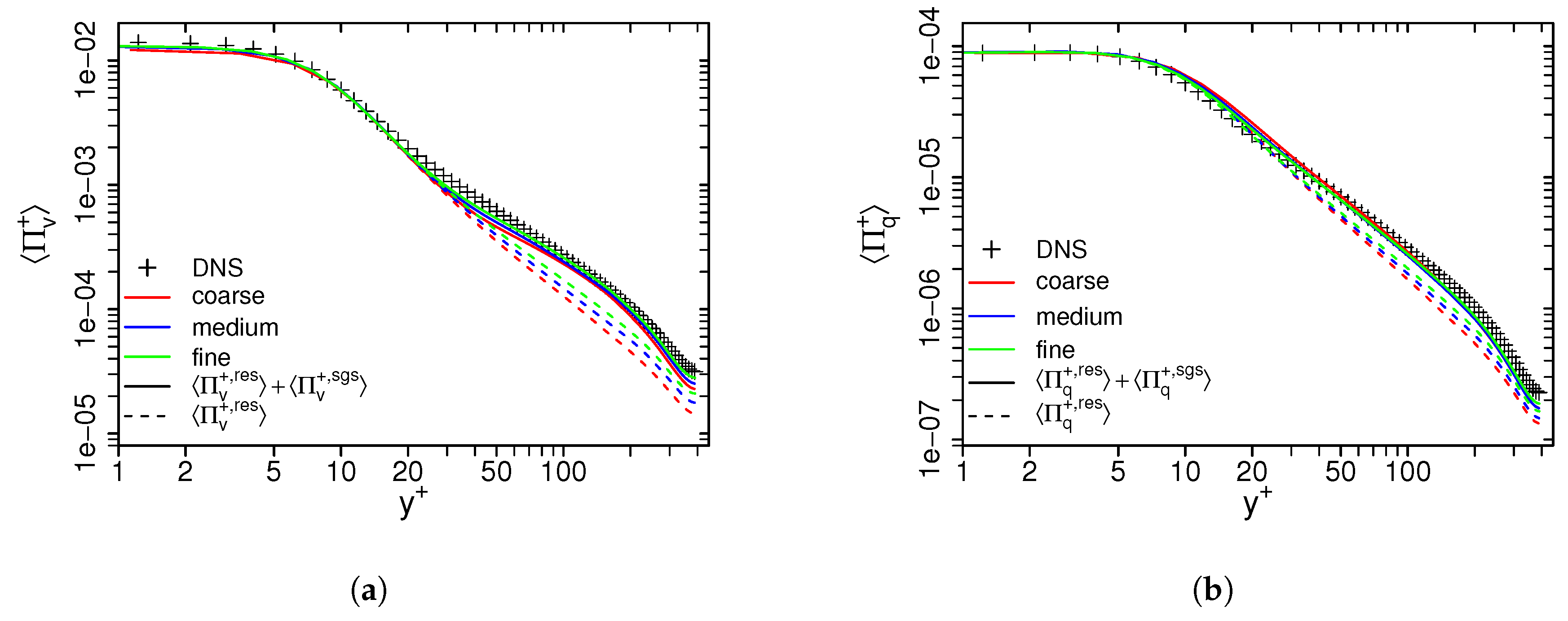
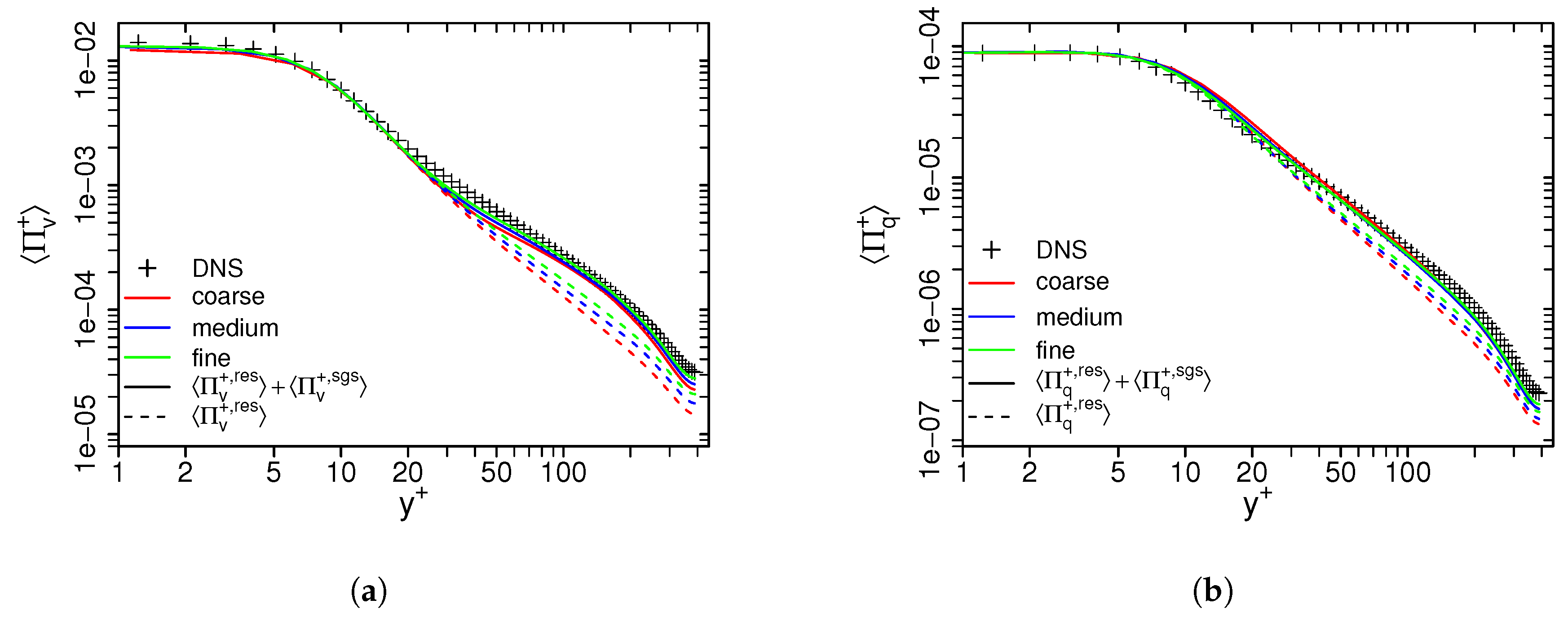
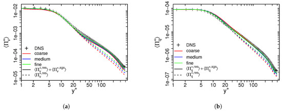
4.1. Comparison with DNS and Grid Sensitivity
4.2. Influence of Reynolds Number and Plate Inclination
4.3. Entropy Generation Analysis and Optimal Design
5. Conclusions
- (1)
- It appears that the location of the stagnation point and that of the maximal Nusselt number differ in the case of plate inclination, except for the case with . Both are shifted towards the compression side of the jet with decreasing inclination. Only in the case of , the stagnation point and the location of maximal heat transfer coincide at the same point.
- (2)
- Wall shear stresses and Nusselt numbers averaged over the impinged wall are high in the -configuration and decreases with decreasing inclination angle .
- (3)
- When dealing with entropy generation analysis in the LES framework, it turned out that entropy generation apart from solid walls is predominantly a subgrid-scale process and therefore accurate closure approaches are of profound importance. The formulations based on inertial-convective range scaling as suggested in Section 2 proved to be a promising approach for entropy generation analysis in LES as testified by comparison with DNS data (see Section 4.1 and Appendix C).
- (4)
- Regarding the optimal design of impingement cooling devices, this LES study suggests that an inclination angle of allows the most efficient use of energy. In addition, increasing the Reynolds number intensifies the heat transfer and increases the second law efficiency of the system.
Author Contributions
Funding
Acknowledgments
Conflicts of Interest
Abbreviations
| CFD | computational fluid dynamics |
| DNS | direct numerical simulation |
| FDF | filtered density function |
| LES | large eddy simulation |
| PIV | particle image velocimetry |
| RANS | Reynolds-averaged Navier-Stokes |
| sgs | subgrid-scale |
| tke | turbulent kinetic energy |
| WALE | wall-adapting linear eddy viscosity model |
Appendix A. Determination of the Dissipation Rate of Subgrid-Scale Kinetic Energy
Appendix B. Determination of the Dissipation Rate of Subgrid-Scale Temperature Variance
Appendix C. Evaluation of the Subgrid-Scale Modeling of Entropy Generation



References
- Zuckerman, N.; Lior, N. Jet Impingement Heat Transfer: Physics, Correlations, and Numerical Modeling. Adv. Heat Transf. 2006, 39, 565–631. [Google Scholar] [CrossRef]
- Zuckerman, N.; Lior, N. Impingement heat transfer: Correlations, and numerical Modeling. J. Heat Transf. 2005, 127, 544–552. [Google Scholar] [CrossRef]
- Jambunathan, K.; Lai, E.; Moss, M.; Button, B. A review of heat transfer data for single circular jet impingement. Int. J. Heat Fluid Flow 1992, 13, 106–115. [Google Scholar] [CrossRef]
- Martin, H. Heat and mass transfer between impinging gas jets and solid surfaces. Adv. Heat Transf. 1997, 13, 1–60. [Google Scholar] [CrossRef]
- Viskanta, R. Heat transfer to impinging isothermal gas and flame jets. Exp. Therm. Fluid Sci. 1993, 6, 106–115. [Google Scholar] [CrossRef]
- Molana, M.; Banooni, S. Investigation of heat transfer processes involved liquid impingement jets: A review. Braz. J. Chem. Eng. 2012, 413–435. [Google Scholar] [CrossRef]
- Weigand, B.; Spring, S. Multiple jet impingement—A review. Heat Transf. Res. 2011, 42, 101–142. [Google Scholar] [CrossRef]
- Dewan, A.; Dutta, R.; Srinivasan, B. Recent trends in computation of turbulent jet impingement heat transfer. Heat Transf. Eng. 2012, 33, 447–460. [Google Scholar] [CrossRef]
- Ries, F.; Li, Y.; Klingenberg, D.; Nishad, K.; Janicka, J.; Sadiki, A. Near-Wall Thermal Processes in an Inclined Impinging Jet: Analysis of Heat Transport and Entropy Generation Mechanisms. Energies 2018, 11, 1354. [Google Scholar] [CrossRef]
- Sadiki, A.; Hutter, K. On thermodynamics of turbulence: Development of first order closure models and critical evaluation of existing models. J. Non-Equilib. Thermodyn. 2000, 25, 131–160. [Google Scholar] [CrossRef]
- Afridi, M.; Qasim, M.; Makinde, O. Entropy generation due to heat and mass transfer in a flow of dissipative elastic fluid through a porous medium. J. Heat Transf. 2019, 141, 022002. [Google Scholar] [CrossRef]
- Keenan, J. Availability and irreversibility in thermodynamics. Br. J. Appl. Phys. 1951, 2, 183–192. [Google Scholar] [CrossRef]
- Bejan, A. Second law analysis in heat transfer. Energy 1980, 5, 720–732. [Google Scholar] [CrossRef]
- Bejan, A. Method of entropy generation minimization, or modeling and optimization based on combined heat transfer and thermodynamics. Rev. Gen. Therm. 1996, 35, 637–646. [Google Scholar] [CrossRef]
- Afridi, M.; Qasim, M.; Hussanan, A. Second law analysis of dissipative flow over a riga plate with non-linear Rosseland thermal radiation and variable transport properties. Entropy 2018, 20, 615. [Google Scholar] [CrossRef]
- Farooq, U.; Afridi, M.; Qasim, M.; Lu, D. Transpiration and viscous dissipation effects on entropy generation in hybrid nanofluid flow over a nonlinear radially stretching disk. Entropy 2018, 20, 668. [Google Scholar] [CrossRef]
- Reddy, G.; Kumar, M.; Kethireddy, B.; Chamkha, A. Colloidal study of unsteady magnetohydrodynamic couple stress fluid flow over an isothermal vertical flat plate with entropy heat generation. J. Mol. Liq. 2018, 252, 169–179. [Google Scholar] [CrossRef]
- Afridi, M.; Qasim, M. Entropy generation in three-dimensional flow of dissipative fluid. Int. J. Appl. Comput. Math. 2018, 123, 117–128. [Google Scholar] [CrossRef]
- Khan, A.; Karim, F.; Khan, I.; Ali, F.; Khan, D. Irreversibility analysis in unsteady flow over a vertical plate with arbitrary wall shear stress and ramped wall temperature. Results Phys. 2018, 8, 1283–1290. [Google Scholar] [CrossRef]
- Adesanya, S.; Makinde, O. Effects of couple stresses on entropy generation rate in a porous channel with convective heating. Comput. Appl. Math. 2015, 34, 293–307. [Google Scholar] [CrossRef]
- Makinde, O. Entropy for MHD boundary layer flow and heat transfer over a flat plate with convective surface boundary condition. Int. J. Exergy 2012, 10, 142–154. [Google Scholar] [CrossRef]
- Rashidi, M.; Mohammadi, F.; Abbasbandy, S.; Alhuthali, M. Entropy generation analysis for stagnation point flow in a porous medium over a permeable stretching surface. J. Appl. Fluid Mech. 2015, 8, 753–765. [Google Scholar] [CrossRef]
- Bejan, A. Entropy Generation Minimization: The Method of Thermodynamic Optimization of Finite-Size Systems and Finite-Time Processes, 1st ed.; CRC Press: Boca Raton, FL, USA, 1995. [Google Scholar]
- Sciacovelli, A.; Verda, V.; Sciubba, E. Entropy generation analysis as a desing tool—A review. Renew. Sustain. Energy Rev. 2015, 43, 1167–1181. [Google Scholar] [CrossRef]
- Sahin, A.; Ben-Mansour, R. Entropy generation in laminar fluid flow through circular pipe. Entropy 2003, 5, 404–416. [Google Scholar] [CrossRef]
- Wang, W.; Zhang, Y.; Liu, J.; Li, B.; Sundén, B. Entropy generation analysis of fully-developed turbulent heat transfer flow in inward helically corrugated tubes. Numer Heat Transf. A Appl. 2018, 73, 788–805. [Google Scholar] [CrossRef]
- Ji, Y.; Zhang, H.-C.; Yang, X.; Shi, L. Entropy Generation Analysis and Performance Evaluation of Turbulent Froced Convective Heat Transfer to Nanofluids. Entropy 2017, 19, 108. [Google Scholar] [CrossRef]
- Esfahani, J.; Shahabi, P. Effect of non-uniform heating on entropy generation for laminar developing pipe flow of a high Prandtl number fluid. Energy Convers. Manag. 2010, 2087–2097. [Google Scholar] [CrossRef]
- Saqr, K.; Shehata, A.; Taha, A.; ElAzm, M. CFD modelling of entropy generation in turbulent pipe flow: Effects of temperature difference and swirl intensity. Appl. Therm. Eeng. 2016, 999–1006. [Google Scholar] [CrossRef]
- Kock, F.; Herwig, H. Local entropy production in turbulent shear flows: A high-Reynolds number model with wall functions. Int. J. Heat Mass Transf. 2004, 47, 2205–2215. [Google Scholar] [CrossRef]
- Herwig, H.; Kock, F. Local entropy production in turbulent shear flows: A tool for evaluating heat transfer performance. J. Therm. Sci. 2006, 15, 2205–2215. [Google Scholar] [CrossRef]
- Ko, T.; Ting, K. Entropy generation and optimal analysis for laminar forced convection in curved rectangular ducts: A numerical study. Int. J. Therm. Sci. 2006, 45, 138–150. [Google Scholar] [CrossRef]
- Schmandt, B.; Herwig, H. Diffusor and nozzle design optimization by entropy generation minimization. Entropy 2011, 13, 1380–1402. [Google Scholar] [CrossRef]
- Ries, F.; Janicka, J.; Sadiki, A. Thermal transport and entropy production mechanisms in a turbulent round jet at supercritical thermodynamic conditions. Entropy 2017, 19, 404. [Google Scholar] [CrossRef]
- Okong’o, N.; Bellan, J. Direct numerical simulations of transitional supercritical binary mixing layers: heptane and nitrogen. Int. J. Fluid Mech. 2002, 464, 1–34. [Google Scholar] [CrossRef]
- Mohensi, M.; Bazargan, M. Entropy generation in turbulent mixed convection heat transfer to highly variable property pipe flow of supercritical fluids. Energy Convers. Manag. 2014, 87, 552–558. [Google Scholar] [CrossRef]
- Sierra-Pallares, J.; del Valle, J.G.; García-Carrascal, P.; Ruiz, F.C. Numerical study of supercritical and transcritical injection using different turbulent Prandtl numbers: A second law analysis. J. Supercrit. Fluid 2016, 115, 86–98. [Google Scholar] [CrossRef]
- Datta, A. Effects of gravity on structure and entropy generation of confined laminar diffusion flames. Int. J. Therm. Sci. 2005, 429–440. [Google Scholar] [CrossRef]
- Yapici, H.; Kayataş, N.; Albayrak, B.; Baştürk, G. Numerical calculation of local entropy generation in a methane-air burner. Energy Convers. Manag. 2005, 1885–1919. [Google Scholar] [CrossRef]
- Safari, M.; Hadi, F.; Sheikhi, M. Progress in the prediction of entropy generation in turbulent reacting flows using large eddy simulation. Entropy 2014, 16, 5159–5177. [Google Scholar] [CrossRef]
- Farran, R.; Chakraborty, N. A direct numerical simulation-based analysis of entropy generation in turbulent premixed flames. Entropy 2013, 15, 1540–1566. [Google Scholar] [CrossRef]
- Shuja, S.; Yibas, B.; Budair, M. Local entropy generation in an impinging jet: Minimum entropy concept evaluating various turbulence models. Comput. Methods Appl. Math. Eng. 2001, 190, 3623–3644. [Google Scholar] [CrossRef]
- Drost, M.; White, M. Numerical Predictions of Local Entropy Generation in an Impinging Jet. J. Heat Transf. 1991, 113, 823–829. [Google Scholar] [CrossRef]
- Oztop, H.; Al-Salem, K. A review on entropy generation in natural and mixed convection heat transfer for energy systems. Renew. Sustain. Energy Rev. 2011, 16, 911–920. [Google Scholar] [CrossRef]
- Som, S.; Datta, A. Thermodynamic irreversibilities and exergy balance in combustion processes. Prog. Energy Combust. 2008, 34, 351–376. [Google Scholar] [CrossRef]
- Jin, Y.; Herwig, H. Turbulent flow and heat transfer in channels with shark skin surfaces: Entropy generation and its physical significance. Int. J. Heat Mass Transf. 2014, 70, 10–22. [Google Scholar] [CrossRef]
- Kiš, P.; Herwig, H. Natural convection in a vertical plane channel: DNS results for high Grashof numbers. Heat Mass Transf. 2014, 50, 957–972. [Google Scholar] [CrossRef]
- Safari, M.; Sheikhi, M.; Janbozorgi, M.; Matghalchi, H. Entropy Transport Equation in Large Eddy Simulation for Exergy Analysis of Turbulent Combustion Systems. Entropy 2010, 12, 434–444. [Google Scholar] [CrossRef]
- Ries, F.; Li, Y.; Rißmann, M.; Klingenberg, D.; Nishad, K.; Böhm, B.; Dreizler, A.; Janicka, J.; Sadiki, A. Database of near-wall turbulent flow properties of a jet impinging on a solid surface under different inclination angles. Fluids 2018, 3, 5. [Google Scholar] [CrossRef]
- Poinsot, T.; Veynante, D. Theoretical and Numerical Combustion, 3rd ed.; R.T. Edwards, Inc.: Brisbane, Australia, 2017. [Google Scholar]
- Nicoud, F.; Ducros, F. Subgrid-scale stress modelling based on the square of the velocity gradient tensor. Flow Turbul. Combust. 1999, 62, 183–200. [Google Scholar] [CrossRef]
- Chorin, A. Numerical Solution of the Navier-Stokes Equations. Math. Comput. 1968, 22, 745–762. [Google Scholar] [CrossRef]
- Williamson, J. Low-storage Runge-Kutta schemes. J. Comput. Phys. 1980, 35, 48–56. [Google Scholar] [CrossRef]
- Lilly, D. The representation of small-scale turbulence in numerical simulation experiments. Proc. IBM Sci. Comput. Sympos. Environ. Sci. 1967, 62, 195–210. [Google Scholar] [CrossRef]
- Schmidt, H.; Schumann, U. Coherent structure of the convective boundary layer derived from large-eddy simulations. J. Fluid Mech. 1989, 200, 511–562. [Google Scholar] [CrossRef]
- Corrsin, S. On the Spectrum of Isotropic Temperature Fluctuations in an Isotropic Turbulence. J. Appl. Phys. 1951, 22, 469–473. [Google Scholar] [CrossRef]
- Yilmaz, M.; Sara, O.; Karsil, S. Performance evaulation criteria for heat exchangers based on second law analysis. Exergy Int. J. 2001, 1, 278–294. [Google Scholar] [CrossRef]
- Lir, N.; Zhang, N. Energy, Exergy, and Second Law performance criteria. Energy 2007, 32, 281–296. [Google Scholar] [CrossRef]
- Klein, M.; Sadiki, A.; Janicka, J. A digital filter based generation of inflow data for spatially developing direct numerical or large eddy simulations. J. Comput. Phys. 2003, 186, 652–665. [Google Scholar] [CrossRef]
- Pope, S. Turbulent Flows; Cambridge University Press: Cambridge, UK, 2009. [Google Scholar]
- Incropera, F.; DeWitt, D. Fundamentals of Heat and Mass Transfer, 6th ed.; Wiley: New York, NY, USA, 2007. [Google Scholar]
- Kawamura, H.; Abe, H.; Matsuo, Y. DNS of turbulent heat transfer in channel flow with respect to Reynolds and Prandtl number effects. Int. J. Heat Fluid Flow 1999, 20, 196–207. [Google Scholar] [CrossRef]









| Property | Description | Value |
|---|---|---|
| inclination angle of the plate | 45, 60, 75, 85, 86, 87, 88, 89, 90 | |
| D | nozzle exit diameter | 40 mm |
| H | jet-to-plate distance | 40 mm |
| temperature at the nozzle exit | 290 K | |
| temperature of the heated wall | 330 K | |
| p | ambient pressure | 1.01325 bar |
| Reynolds number based on the nozzle exit diameter | 5000, 10,000, 20,000 | |
| molecular Prandtl number | 0.71 | |
| turbulence intensity at the inflow | 9.5% |
| Case | No. of Cells | ||
|---|---|---|---|
| 1, 2, 3 | 45 | 5000 | 1.0 million, 1.7 million, 3.1 million |
| 4 | 60 | 5000 | 1.7 million |
| 5 | 75 | 5000 | 1.7 million |
| 6 | 85 | 5000 | 1.7 million |
| 7 | 86 | 5000 | 1.7 million |
| 8 | 88 | 5000 | 1.7 million |
| 9 | 89 | 5000 | 1.7 million |
| 10 | 90 | 5000 | 1.7 million |
| 11, 12, 13 | 45 | 10,000 | 1.7 million, 3.0 million, 4.8 million |
| 14 | 60 | 10,000 | 3.0 million |
| 15 | 75 | 10,000 | 3.0 million |
| 16 | 85 | 10,000 | 3.0 million |
| 17 | 86 | 10,000 | 3.0 million |
| 18 | 87 | 10,000 | 3.0 million |
| 19 | 88 | 10,000 | 3.0 million |
| 20 | 89 | 10,000 | 3.0 million |
| 21 | 90 | 10,000 | 3.0 million |
| 22, 23, 24 | 45 | 20,000 | 3.0 million, 4.8 million, 7.6 million |
| 25 | 60 | 20,000 | 4.8 million |
| 26 | 75 | 20,000 | 4.8 million |
| 27 | 85 | 20,000 | 4.8 million |
| 28 | 86 | 20,000 | 4.8 million |
| 29 | 87 | 20,000 | 4.8 million |
| 30 | 88 | 20,000 | 4.8 million |
| 31 | 89 | 20,000 | 4.8 million |
| 32 | 90 | 20,000 | 4.8 million |
© 2019 by the authors. Licensee MDPI, Basel, Switzerland. This article is an open access article distributed under the terms and conditions of the Creative Commons Attribution (CC BY) license (http://creativecommons.org/licenses/by/4.0/).
Share and Cite
Ries, F.; Li, Y.; Nishad, K.; Janicka, J.; Sadiki, A. Entropy Generation Analysis and Thermodynamic Optimization of Jet Impingement Cooling Using Large Eddy Simulation. Entropy 2019, 21, 129. https://doi.org/10.3390/e21020129
Ries F, Li Y, Nishad K, Janicka J, Sadiki A. Entropy Generation Analysis and Thermodynamic Optimization of Jet Impingement Cooling Using Large Eddy Simulation. Entropy. 2019; 21(2):129. https://doi.org/10.3390/e21020129
Chicago/Turabian StyleRies, Florian, Yongxiang Li, Kaushal Nishad, Johannes Janicka, and Amsini Sadiki. 2019. "Entropy Generation Analysis and Thermodynamic Optimization of Jet Impingement Cooling Using Large Eddy Simulation" Entropy 21, no. 2: 129. https://doi.org/10.3390/e21020129
APA StyleRies, F., Li, Y., Nishad, K., Janicka, J., & Sadiki, A. (2019). Entropy Generation Analysis and Thermodynamic Optimization of Jet Impingement Cooling Using Large Eddy Simulation. Entropy, 21(2), 129. https://doi.org/10.3390/e21020129

