Security Analysis of Unidimensional Continuous-Variable Quantum Key Distribution Using Uncertainty Relations
Abstract
1. Introduction
2. Unidimensional Quantum Key Distribution
2.1. Equivalence between the EB Scheme and the PM Scheme
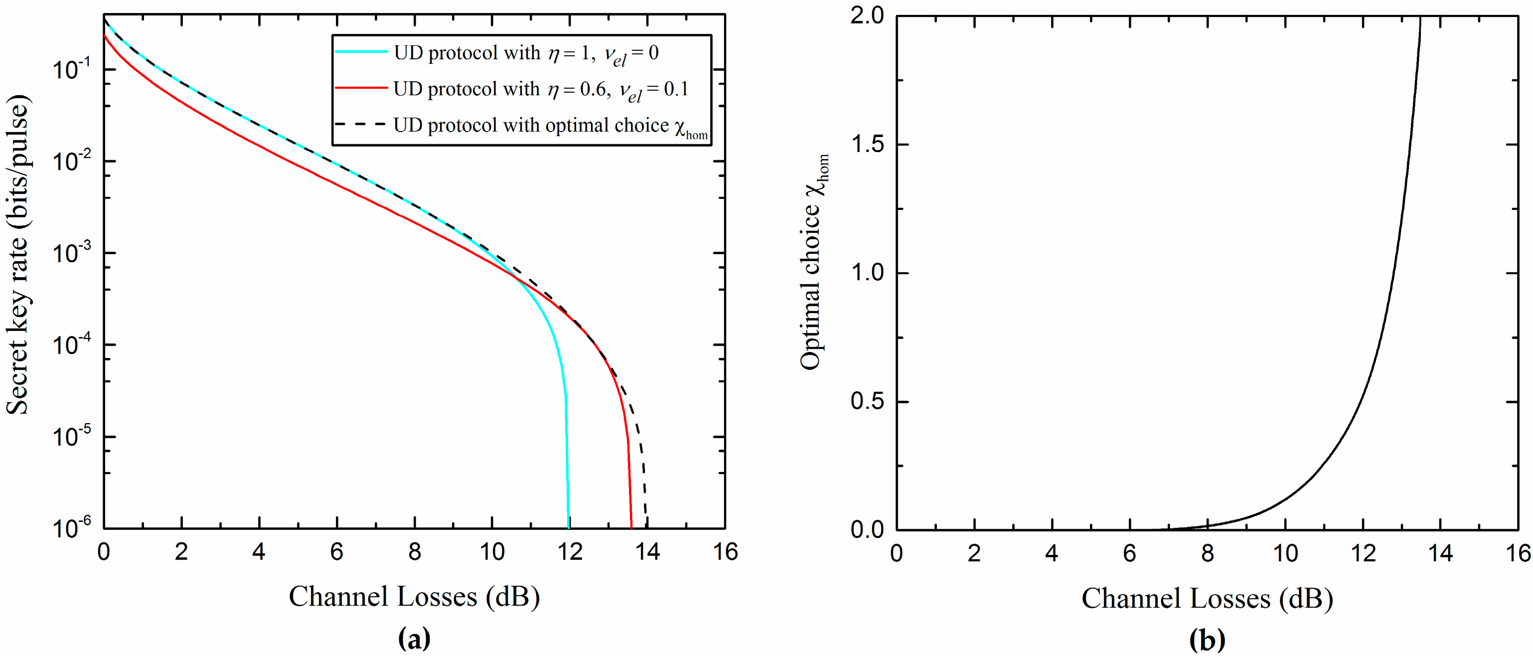
2.2. Calculation of Secret Key Rate with Reverse Reconciliation
3. Security Analysis Using Uncertainty Relations
3.1. Uncertainty Relations for Symmetrical Coherent-State Protocol
3.2. Uncertainty Relations for Unidimensional Coherent-State Protocol
4. Conclusions
Acknowledgments
Author Contributions
Conflicts of Interest
References
- Gisin, N.; Ribordy, G.; Tittel, W.; Zbinden, H. Quantum cryptography. Rev. Mod. Phys. 2002, 74, 145–195. [Google Scholar] [CrossRef]
- Scarani, V.; Bechmann-Pasquinucci, H.; Cerf, N.J.; Dušek, M.; Lütkenhaus, N.; Peev, M. The security of practical quantum key distribution. Rev. Mod. Phys. 2009, 81, 1301–1350. [Google Scholar] [CrossRef]
- Cerf, N.J.; Levy, M.; Van Assche, G. Quantum distribution of gaussian keys using squeezed states. Phys. Rev. A 2001, 63, 052311. [Google Scholar] [CrossRef]
- Silberhorn, C.; Ralph, T.C.; Lütkenhaus, N.; Leuchs, G. Continuous variable quantum cryptography: Beating the 3 db loss limit. Phys. Rev. Lett. 2002, 89, 167901. [Google Scholar] [CrossRef]
- Weedbrook, C.; Lance, A.M.; Bowen, W.P.; Symul, T.; Ralph, T.C.; Lam, P.K. Quantum cryptography without switching. Phys. Rev. Lett. 2004, 93, 170504. [Google Scholar] [CrossRef]
- Fossier, S.; Diamanti, E.; Debuisschert, T.; Villing, A.; Tualle-Brouri, R.; Grangier, P. Field test of a continuous-variable quantum key distribution prototype. New J. Phys. 2009, 11, 045023. [Google Scholar] [CrossRef]
- Leverrier, A.; Grangier, P. Continuous-variable quantum-key-distribution protocols with a non-gaussian modulation. Phys. Rev. A 2011, 83, 042312. [Google Scholar] [CrossRef]
- Madsen, L.S.; Usenko, V.C.; Lassen, M.; Filip, R.; Andersen, U.L. Continuous variable quantum key distribution with modulated entangled states. Nat. Commun. 2012, 3, 1083. [Google Scholar] [CrossRef]
- Wang, X.Y.; Bai, Z.L.; Du, P.Y.; Li, Y.M.; Peng, K.C. Ultrastable fiber-based time-domain balanced homodyne detector for quantum communication. Chin. Phys. Lett. 2012, 29, 124202. [Google Scholar] [CrossRef]
- Weedbrook, C.; Pirandola, S.; García-Patrón, R.; Cerf, N.J.; Ralph, T.C.; Shapiro, J.H.; Lloyd, S. Gaussian quantum information. Rev. Mod. Phys. 2012, 84, 621–669. [Google Scholar] [CrossRef]
- Wang, X.Y.; Bai, Z.L.; Wang, S.F.; Li, Y.M.; Peng, K.C. Four-state modulation continuous variable quantum key distribution over a 30-km fiber and analysis of excess noise. Chin. Phys. Lett. 2013, 30, 010305. [Google Scholar] [CrossRef]
- Gehring, T.; Handchen, V.; Duhme, J.; Furrer, F.; Franz, T.; Pacher, C.; Werner, R.F.; Schnabel, R. Implementation of continuous-variable quantum key distribution with composable and one-sided-device-independent security against coherent attacks. Nat. Commun. 2015, 6, 8795. [Google Scholar] [CrossRef] [PubMed]
- Zhang, Y.; Li, Z.; Weedbrook, C.; Marshall, K.; Pirandola, S.; Yu, S.; Guo, H. Noiseless linear amplifiers in entanglement-based continuous-variable quantum key distribution. Entropy 2015, 17, 4547. [Google Scholar] [CrossRef]
- Li, H.S.; Wang, C.; Huang, P.; Huang, D.; Wang, T.; Zeng, G.H. Practical continuous-variable quantum key distribution without finite sampling bandwidth effects. Opt. Express 2016, 24, 20481–20493. [Google Scholar] [CrossRef]
- Bai, D.Y.; Huang, P.; Ma, H.X.; Wang, T.; Zeng, G.H. Performance improvement of plug-and-play dual-phase-modulated quantum key distribution by using a noiseless amplifier. Entropy 2017, 19, 546. [Google Scholar] [CrossRef]
- Bai, Z.L.; Yang, S.S.; Li, Y.M. High-efficiency reconciliation for continuous variable quantum key distribution. Jpn. J. Appl. Phys. 2017, 56, 044401. [Google Scholar] [CrossRef]
- Grosshans, F.; Grangier, P. Continuous variable quantum cryptography using coherent states. Phys. Rev. Lett. 2002, 88, 057902. [Google Scholar] [CrossRef]
- Grosshans, F.; Van Assche, G.; Wenger, J.; Brouri, R.; Cerf, N.J.; Grangier, P. Quantum key distribution using gaussian-modulated coherent states. Nature 2003, 421, 238–241. [Google Scholar] [CrossRef]
- Iblisdir, S.; Van Assche, G.; Cerf, N.J. Security of quantum key distribution with coherent states and homodyne detection. Phys. Rev. Lett. 2004, 93, 170502. [Google Scholar] [CrossRef]
- Grosshans, F. Collective attacks and unconditional security in continuous variable quantum key distribution. Phys. Rev. Lett. 2005, 94, 020504. [Google Scholar] [CrossRef] [PubMed]
- Lance, A.M.; Symul, T.; Sharma, V.; Weedbrook, C.; Ralph, T.C.; Lam, P.K. No-switching quantum key distribution using broadband modulated coherent light. Phys. Rev. Lett. 2005, 95, 180503. [Google Scholar] [CrossRef] [PubMed]
- Lodewyck, J.; Bloch, M.; Garcia-Patron, R.; Fossier, S.; Karpov, E.; Diamanti, E.; Debuisschert, T.; Cerf, N.J.; Tualle-Brouri, R.; McLaughlin, S.W.; et al. Quantum key distribution over 25 km with an all-fiber continuous-variable system. Phys. Rev. A 2007, 76, 042503. [Google Scholar] [CrossRef]
- Qi, B.; Huang, L.L.; Qian, L.; Lo, H.K. Experimental study on the gaussian-modulated coherent-state quantum key distribution over standard telecommunication fibers. Phys. Rev. A 2007, 76, 052323. [Google Scholar] [CrossRef]
- Yang, S.S.; Bai, Z.L.; Wang, X.Y.; Li, Y.M. FPGA-based implementation of size-adaptive privacy amplification in quantum key distribution. Photonics J. 2017, 9, 7600308. [Google Scholar] [CrossRef]
- Jouguet, P.; Kunz-Jacques, S.; Leverrier, A.; Grangier, P.; Diamanti, E. Experimental demonstration of long-distance continuous-variable quantum key distribution. Nat. Photonics 2013, 7, 378–381. [Google Scholar] [CrossRef]
- Li, Y.M.; Wang, X.Y.; Bai, Z.L.; Liu, W.Y.; Yang, S.S.; Peng, K.C. Continuous variable quantum key distribution. Chin. Phys. B 2017, 26, 040303. [Google Scholar] [CrossRef]
- Liu, W.Y.; Wang, X.Y.; Wang, N.; Du, S.N.; Li, Y.M. Imperfect state preparation in continuous-variable quantum key distribution. Phys. Rev. A 2017, 96, 042312. [Google Scholar] [CrossRef]
- Usenko, V.C.; Grosshans, F. Unidimensional continuous-variable quantum key distribution. Phys. Rev. A 2015, 92, 062337. [Google Scholar] [CrossRef]
- Wang, X.Y.; Liu, W.Y.; Wang, P.; Li, Y.M. Experimental study on all-fiber-based unidimensional continuous-variable quantum key distribution. Phys. Rev. A 2017, 95, 062330. [Google Scholar] [CrossRef]
- Wang, P.; Wang, X.Y.; Li, J.Q.; Li, Y.M. Finite-size analysis of unidimensional continuous-variable quantum key distribution under realistic conditions. Opt. Express 2017, 25, 27995–28009. [Google Scholar] [CrossRef]
- Braunstein, S.L.; van Loock, P. Quantum information with continuous variables. Rev. Mod. Phys. 2005, 77, 513–577. [Google Scholar] [CrossRef]
- Serafini, A. Detecting entanglement by symplectic uncertainty relations. J. Opt. Soc. Am. B 2007, 24, 347–354. [Google Scholar] [CrossRef]
- Grosshans, F.; Cerf, N.J.; Wenger, J.; Tualle-Brouri, R.; Grangier, P. Virtual entanglement and reconciliation protocols for quantum cryptography with continuous variables. Quantum Inform. Comput. 2003, 3, 535–552. [Google Scholar]
- Ben-Israel, A.; Greville, T.N.E. Generalized Inverses: Theory and Applications, 2nd ed.; Springer: New York, NY, USA, 2003. [Google Scholar]
- Serafini, A.; Paris, M.G.A.; Illuminati, F.; Siena, S.D. Quantifying decoherence in continuous variable systems. J. Opt. B 2005, 7, R19. [Google Scholar] [CrossRef]
- Garcia-Patron, R.; Cerf, N.J. Continuous-variable quantum key distribution protocols over noisy channels. Phys. Rev. Lett. 2009, 102, 130501. [Google Scholar] [CrossRef]
- Milicevic, M.; Feng, C.; Zhang, L.M.; Gulak, P.G. Key reconciliation with low-density parity-check codes for long-distance quantum cryptography. arXiv, 2017; arXiv:1702.07740. [Google Scholar]










© 2018 by the authors. Licensee MDPI, Basel, Switzerland. This article is an open access article distributed under the terms and conditions of the Creative Commons Attribution (CC BY) license (http://creativecommons.org/licenses/by/4.0/).
Share and Cite
Wang, P.; Wang, X.; Li, Y. Security Analysis of Unidimensional Continuous-Variable Quantum Key Distribution Using Uncertainty Relations. Entropy 2018, 20, 157. https://doi.org/10.3390/e20030157
Wang P, Wang X, Li Y. Security Analysis of Unidimensional Continuous-Variable Quantum Key Distribution Using Uncertainty Relations. Entropy. 2018; 20(3):157. https://doi.org/10.3390/e20030157
Chicago/Turabian StyleWang, Pu, Xuyang Wang, and Yongmin Li. 2018. "Security Analysis of Unidimensional Continuous-Variable Quantum Key Distribution Using Uncertainty Relations" Entropy 20, no. 3: 157. https://doi.org/10.3390/e20030157
APA StyleWang, P., Wang, X., & Li, Y. (2018). Security Analysis of Unidimensional Continuous-Variable Quantum Key Distribution Using Uncertainty Relations. Entropy, 20(3), 157. https://doi.org/10.3390/e20030157

