Heat Transfer and Flow Structures of Laminar Confined Slot Impingement Jet with Power-Law Non-Newtonian Fluid
Abstract
1. Introduction
2. Numerical Methods and Validation
2.1. Governing Equations
2.2. Physical Model and Boundary Conditions
2.3. Data Reduction
2.4. Grid-Independence Check
2.5. Method Validation
3. Results and Discussions
3.1. Effects of n and K Based under a Given Re
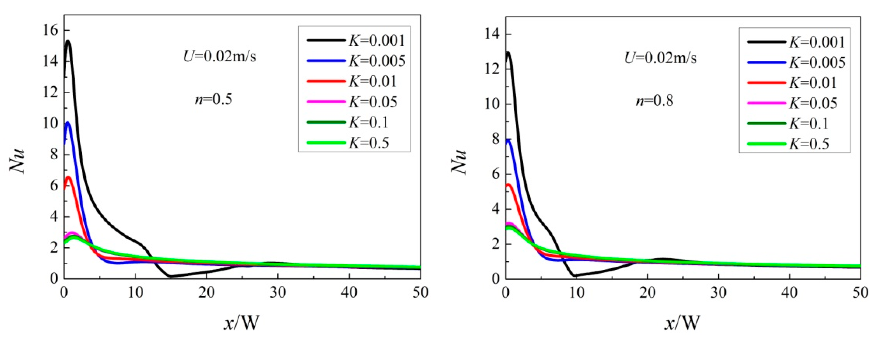
3.2. Effects of n and K Based on the Same Inlet Velocity U
3.3. Effects of n and K Based on the Same Re, Pr and U
3.4. Typical Industrial Fluids Study
3.5. Correlation
4. Conclusions
- (1)
- For a given Reynolds number, the average Nusselt number increases with n and K, respectively, which mainly attributes to the increase of inlet velocity. With the increase of Re, the average Nusselt number increases and the flow becomes complex with more vortices.
- (2)
- For the given Reynolds number, Prandtl number and inlet velocity, the average Nusselt number decreases with the increase of n.
- (3)
- Industrial shear-thinning fluids are investigated, which is not better than pure water at the given inlet velocity due to the high viscosity under the shear strain rate in this study. Among these shear-thinning fluids studied in this paper, CMC solution with 100 ppm concentration shows the best heat transfer performance. What’s more, a correlation of Nuave is proposed.
- (4)
- For laminar confined impinging jet at a given inlet velocity, application of non-Newtonian fluid has no significant influence on heat transfer enhancement. To obtain good heat transfer enhancement, fluid with low viscosity is the reasonable choice. Moreover, turbulent impinging jets with non-Newtonian fluid need more future research.
Author Contributions
Funding
Conflicts of Interest
Nomenclature
| CMC | Carboxyl Methyl Cellulose |
| cp | special heat of the fluid (J·kg−1·K−1) |
| h | heat transfer coefficient (W m−2·K−1) |
| H | height of nozzle-to-plate distance (m) |
| K | consistency index of power-law fluid (kg·m−1·sn−2) |
| L | length of the target plate (m) |
| Nu | Nusselt number based on nozzle diameter |
| n | power-law index |
| Pr | Prandtl number |
| ΔPt | total pressure difference between the inlet and outlet sections |
| Q | volume flow rate |
| q | wall heat flux (W·m−2) |
| Re | Reynolds number based on nozzle width |
| T | temperature (K) |
| u | velocity of the fluid in the x direction (m·s−1) |
| v | velocity of the fluid in the y direction (m·s−1) |
| U | inlet uniform velocity (m·s−1) |
| W | nozzle width (m) |
| x | coordinate parallel to plate (m) |
| XG | xanthangum |
| y | coordinate normal to plate (m) |
| Greek symbols | |
| η | apparent dynamic viscosity of the power-law fluid (kg·m−1·sn−1) |
| λ | thermal conductivity of the fluid (W·m−1·K−1) |
| shear strain rate (s−1) | |
| ρ | density of the fluid(kg·m−3) |
| τij | stress tensor components |
| j | jet temperature |
| w | wall temperature |
| Subscripts/superscripts | |
| ave | area-average |
References
- Robinson, A.J.; Schnitzler, E. An experimental investigation of free and submerged miniature liquid jet array impingement heat transfer. Exp. Therm. Fluid Sci. 2007, 32, 1–13. [Google Scholar] [CrossRef]
- Huang, L.; El-Genk, M.S. Heat transfer of an impinging jet on a flat surface. Int. J. Heat Mass Transf. 1994, 37, 1915–1923. [Google Scholar] [CrossRef]
- Katti, V.; Prabhu, S.V. Experimental study and theoretical analysis of local heat transfer distribution between smooth flat surface and impinging air jet from a circular straight pipe nozzle. Int. J. Heat Mass Transf. 2008, 51, 4480–4495. [Google Scholar] [CrossRef]
- Behnia, M.; Parneix, S.; Shabany, Y.; Durbin, P.A. Numerical study of turbulent heat transfer in confined and unconfined impinging jets. Int. J. Heat Fluid Flow 1999, 20, 1–9. [Google Scholar] [CrossRef]
- Hatami, M.; Bazdidi-Tehrani, F.; Abouata, A.; Mohammadi-Ahmar, A. Investigation of geometry and dimensionless parameters effects on the flow field and heat transfer of impingement synthetic jets. Int. J. Therm. Sci. 2018, 127, 41–52. [Google Scholar] [CrossRef]
- Nadda, R.; Kumar, A.; Maithani, R. Developing heat transfer and friction loss in an impingement jets solar air heater with multiple arc protrusion obstacles. Sol. Energy 2018, 158, 117–131. [Google Scholar] [CrossRef]
- Liu, F.Y.; Mao, J.K.; Han, X.S.; Gu, W. Heat transfer of impinging jet arrays on a ribbed surface. J. Thermophys. Heat Transf. 2018, 32, 669–679. [Google Scholar] [CrossRef]
- Jamalabadi, M.Y.A.; Safaei, M.R.; Alrashed, A.A.A.A.; Nguyen, T.K.; Filho, E.P.B. Entropy generation in thermal radiative loading of structures with distinct heaters. Entropy 2017, 19, 506. [Google Scholar] [CrossRef]
- Xie, Y.; Li, P.; Lan, J.; Zhang, D. Flow and heat transfer characteristics of single jet impinging on dimpled surface. Int. J. Heat Mass Transf. 2013, 135, 18–28. [Google Scholar] [CrossRef]
- Selimefendigil, F.; Öztop, H.F. Pulsating nanofluids jet impingement cooling of a heated horizontal surface. Int. J. Heat Mass Transf. 2014, 69, 54–65. [Google Scholar] [CrossRef]
- Shojaeizadeh, A.; Safaei, M.R.; Alrashed, A.A.A.A.; Ghodsian, M.; Geza, M.; Abbassi, M.A. Bed roughness effects on characteristics of turbulent confined wall jets. Measurement 2018, 122, 325–338. [Google Scholar] [CrossRef]
- Geng, L.; Zheng, C.; Zhou, J. Heat transfer characteristics of impinging jets: The influence of unsteadiness with different waveforms. Int. Commun. Heat Mass 2015, 66, 105–113. [Google Scholar] [CrossRef]
- Yarmand, H.; Ahmadi, G.; Gharehkhani, S.; Kazi, S.N.; Safaei, M.R.; Alehashem, M.S.; Mahat, A.B. Entropy generation during turbulent flow of zirconia-water and other nanofluids in a square cross section tube with a constant heat flux. Entropy 2014, 16, 6116–6132. [Google Scholar] [CrossRef]
- Li, P.; Xie, Y.; Zhang, D. Numerical investigation of confined single jet impinging on a dimpled target surface using Al2O3-water nanofluids. Heat Transf. Res. 2016, 47, 157–176. [Google Scholar] [CrossRef]
- Li, P.; Zhang, D.; Xie, Y.; Xie, G. Flow structure and heat transfer of non-Newtonian fluids in microchannel heat sinks with dimples and protrusions. Appl. Therm. Eng. 2016, 94, 50–58. [Google Scholar] [CrossRef]
- Li, P.; Xie, Y.; Zhang, D. Laminar flow and forced convective heat transfer of shear-thinning power-law fluids in dimpled and protruded microchannels. Int. J. Heat Mass Transf. 2016, 99, 372–382. [Google Scholar] [CrossRef]
- Dejam, M. Dispersion in non-Newtonian fluid flows in a conduit with porous walls. Chem. Eng. Sci. 2018, 189, 296–310. [Google Scholar] [CrossRef]
- Vashishtha, M.; Thakkar, J. Numerical study of laminar fully developed non-Newtonian liquid flow in rough circular microchannel. Pol. J. Chem. Technol. 2013, 15, 30–37. [Google Scholar] [CrossRef]
- Maleki, H.; Safaei, M.R.; Alrashed, A.A.A.A.; Kasaeian, A. Flow and heat transfer in non-Newtonian nanofluids over porous surfaces. J. Therm. Anal. Calorim. 2018, 2, 1–12. [Google Scholar] [CrossRef]
- Maleki, H.; Safaei, M.R.; Togun, H.; Dahari, M. Heat transfer and fluid flow of pseudo-plastic nanofluid over a moving permeable plate with viscous dissipation and heat absorption/generation. J. Therm. Anal. Calorim. 2018, 1–12. [Google Scholar] [CrossRef]
- Hassan, M.; Sadri, R.; Ahmadi, G.; Dahari, M.B.; Kazi, S.N.; Safaei, M.R.; Sadeghinezhad, E.S. Numerical study of entropy generation in a flowing nanofluid used in micro-and minichannnels. Entropy 2013, 15, 144–155. [Google Scholar] [CrossRef]
- Poh, H.J.; Kumar, K.; Chiang, H.S.; Mujumdar, A.S. Heat transfer from a laminar impinging: Jet of a power-law fluid. Int. Commun. Heat Mass 2004, 31, 241–249. [Google Scholar] [CrossRef]
- Srisamran, C.; Devahastin, S. Numerical simulation of flow and mixing behavior of impinging streams of shear-thinning fluids. Chem. Eng. Sci. 2006, 61, 4884–4892. [Google Scholar] [CrossRef]
- Hooshmand, P.; Gatabi, H.R.; Bagheri, N.; Pirzadeh, I.; Hesabi, A.; Jamalabadi, M.Y.A.; Oveisi, M. Numerical study of the magnetic field effects on the heat transfer and entropy generation aspects of a power law fluid over an axisymmetric stretching plate structure. Entropy 2017, 19, 94. [Google Scholar] [CrossRef]
- Zhao, J.; Khayat, R.E. Spread of a non-Newtonian liquid jet over a horizontal plate. J. Fluid Mech. 2008, 613, 411–443. [Google Scholar] [CrossRef]
- Abbas, M.A.; Bai, Y.Q.; Rashidi, M.M.; Bhatti, M.M. Analysis of entropy generation in the flow of peristaltic nanofluids in channels with compliant walls. Entropy 2016, 18, 90. [Google Scholar] [CrossRef]
- Yilbas, B.S.; Yürüsoy, M.; Pakdemirli, M. Entropy analysis for Non-Newtonian fluid flow in annular pipe: Constant viscosity case. Entropy 2004, 6, 304–315. [Google Scholar] [CrossRef]
- Safaeil, M.R.; Rahmanian, B.; Goodarzi, M. Numerical study of laminar mixed convection heat transfer of power-law non-Newtonian fluids in square enclosures by finite volume method. Int. J. Phys. Sci. 2011, 6, 7456–7470. [Google Scholar]
- Gharraei, R.; Vejdani, A.; Baheri, S. Numerical investigation on the fluid flow and heat transfer of non-Newtonian multiple impinging jets. Int. J. Therm. Sci. 2016, 104, 257–265. [Google Scholar] [CrossRef]
- Yousefi-Lafouraki, B.; Ramiar, A.; Mohsenian, S. Entropy generation analysis of a confined slot impinging jet in a converging channel for a shear thinning nanofluid. Appl. Therm. Eng. 2016, 105, 675–685. [Google Scholar] [CrossRef]
- Ferziger, J.H.; Peric, M. Computational Methods for Fluid Dynamics; Springer: Berlin, Germany, 2001. [Google Scholar]
- Manca, O.; Ricci, D.; Nardini, S.; Lorenzo, G.D. Thermal and fluid dynamic behaviors of confined laminar impinging slot jets with nanofluids. Int. Commun. Heat Mass 2016, 70, 15–26. [Google Scholar] [CrossRef]
- Pimenta, T.A.; Campos, J.B.L.M. Heat transfer coefficients from Newtonian and non-Newtonian fluids flowing in laminar regime in a helical coil. Int. J. Heat Mass Transf. 2013, 58, 676–690. [Google Scholar] [CrossRef]



















| Material | ρ/kg·m−3 | cp/J·kg−1·K−1 | μ/Pa·s | λ/W·m−1·K−1 |
|---|---|---|---|---|
| water | 998.2 | 4182 | 9.93 × 10−4 | 0.597 |
| Grid | Nodes | Nuave | Deviation between Adjacent Grid % |
|---|---|---|---|
| 1 | 30,744 | 1.2484 | 0.109 |
| 2 | 60,138 | 1.2498 | 0.124 |
| 3 | 82,440 | 1.2513 | 0.054 |
| 4 | 123,424 | 1.2520 | / |
| n | K/kg⋅m−1⋅sn−2 |
|---|---|
| 0.5 | 0.01720 |
| 0.8 | 0.00747 |
| 1 | 0.00428 |
| 1.2 | 0.00246 |
| 1.5 | 0.00107 |
| n | K/kg⋅m−1⋅sn−2 | Polymer Aqueous Solutions |
|---|---|---|
| 0.9512 | 0.00383 | CMC (100 ppm) |
| 0.8229 | 0.00849 | CMC (500 ppm) |
| 0.7051 | 0.02792 | CMC (2000 ppm) |
| 0.6161 | 0.6572 | CMC (4000 ppm) |
| 0.48 | 0.149 | XG (1000 ppm) |
| 0.34 | 0.678 | XG (2000 ppm) |
| A | B | C | D | E | RSME | |
|---|---|---|---|---|---|---|
| Nuave | 0.0240 | 0.4153 | 0.4168 | 1.7190 | 3.4855 | 0.0017 |
© 2018 by the authors. Licensee MDPI, Basel, Switzerland. This article is an open access article distributed under the terms and conditions of the Creative Commons Attribution (CC BY) license (http://creativecommons.org/licenses/by/4.0/).
Share and Cite
Qiang, Y.; Wei, L.; Luo, X.; Jian, H.; Wang, W.; Li, F. Heat Transfer and Flow Structures of Laminar Confined Slot Impingement Jet with Power-Law Non-Newtonian Fluid. Entropy 2018, 20, 800. https://doi.org/10.3390/e20100800
Qiang Y, Wei L, Luo X, Jian H, Wang W, Li F. Heat Transfer and Flow Structures of Laminar Confined Slot Impingement Jet with Power-Law Non-Newtonian Fluid. Entropy. 2018; 20(10):800. https://doi.org/10.3390/e20100800
Chicago/Turabian StyleQiang, Yan, Liejiang Wei, Xiaomei Luo, Hongchao Jian, Wenan Wang, and Fenfen Li. 2018. "Heat Transfer and Flow Structures of Laminar Confined Slot Impingement Jet with Power-Law Non-Newtonian Fluid" Entropy 20, no. 10: 800. https://doi.org/10.3390/e20100800
APA StyleQiang, Y., Wei, L., Luo, X., Jian, H., Wang, W., & Li, F. (2018). Heat Transfer and Flow Structures of Laminar Confined Slot Impingement Jet with Power-Law Non-Newtonian Fluid. Entropy, 20(10), 800. https://doi.org/10.3390/e20100800

