How News May Affect Markets’ Complex Structure: The Case of Cambridge Analytica
Abstract
1. Introduction
2. Results
2.1. Correlations
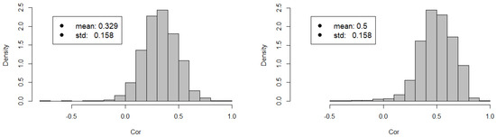
2.1.1. Correlation Network
2.1.2. Correlation Threshold Sensitivity
2.2. Mutual Information
3. Discussion
4. Materials and Methods
4.1. Data
4.2. Methods
4.2.1. Correlations
4.2.2. Correlation Network
4.2.3. Mutual Information
Author Contributions
Funding
Conflicts of Interest
Abbreviations
| FB: | |
| CA: | Cambridge Analytica |
| MI: | Mutual Information |
References
- Isaak, J.; Hanna, M.J. User Data Privacy: Facebook, Cambridge Analytica, and Privacy Protection. Computer 2018, 51, 56–59. [Google Scholar] [CrossRef]
- Fama, E.F. The behavior of stock-market prices. J. Bus. 1965, 38, 34–105. [Google Scholar] [CrossRef]
- Fama, E.F. Efficient capital markets: II. J. Finance 1991, 46, 1575–1617. [Google Scholar] [CrossRef]
- Asquith, P.; Mullins, D.W., Jr. The impact of initiating dividend payments on shareholders’ wealth. J. Bus. 1983, 77–96. [Google Scholar] [CrossRef]
- Masulis, R.W.; Korwar, A.N. Seasoned equity offerings: An empirical investigation. J. Financial Econ. 1986, 15, 91–118. [Google Scholar] [CrossRef]
- Vermaelen, T. Common stock repurchases and market signalling: An empirical study. J. Financial Econ. 1981, 9, 139–183. [Google Scholar] [CrossRef]
- Patell, J.M.; Wolfson, M.A. The intraday speed of adjustment of stock prices to earnings and dividend announcements. J. Financial Econ. 1984, 13, 223–252. [Google Scholar] [CrossRef]
- Darrat, A.F.; Zhong, M.; Cheng, L.T. Intraday volume and volatility relations with and without public news. J. Bank. Finance 2007, 31, 2711–2729. [Google Scholar] [CrossRef]
- Ederington, L.H.; Lee, J.H. How markets process information: News releases and volatility. J. Finance 1993, 48, 1161–1191. [Google Scholar] [CrossRef]
- Engelberg, J.E.; Parsons, C.A. The causal impact of media in financial markets. J. Finance 2011, 66, 67–97. [Google Scholar] [CrossRef]
- Alanyali, M.; Moat, H.S.; Preis, T. Quantifying the relationship between financial news and the stock market. Sci. Rep. 2013, 3, 3578. [Google Scholar] [CrossRef] [PubMed]
- Peress, J. The media and the diffusion of information in financial markets: Evidence from newspaper strikes. J. Finance 2014, 69, 2007–2043. [Google Scholar] [CrossRef]
- Tetlock, P.C. All the news that’s fit to reprint: Do investors react to stale information? Rev. Financial Stud. 2011, 24, 1481–1512. [Google Scholar] [CrossRef]
- Hirshleifer, D.; Hong Teoh, S. Herd behaviour and cascading in capital markets: A review and synthesis. Eur. Financial Manag. 2003, 9, 25–66. [Google Scholar] [CrossRef]
- Preis, T.; Kenett, D.Y.; Stanley, H.E.; Helbing, D.; Ben-Jacob, E. Quantifying the Behavior of Stock Correlations Under Market Stress. Sci. Rep. 2012, 2, 752. [Google Scholar] [CrossRef] [PubMed]
- Balogh, E.; Simonsen, I.; Nagy, B.Z.; Néda, Z. Persistent collective trend in stock markets. Phys. Rev. E 2010, 82, 066113. [Google Scholar] [CrossRef] [PubMed]
- Münnix, M.C.; Shimada, T.; Schäfer, R.; Leyvraz, F.; Seligman, T.H.; Guhr, T.; Stanley, H.E. Identifying states of a financial market. Sci. Rep. 2012, 2, 644. [Google Scholar] [CrossRef] [PubMed]
- Zheng, Z.; Podobnik, B.; Feng, L.; Li, B. Changes in cross-correlations as an indicator for systemic risk. Sci. Rep. 2012, 2, 888. [Google Scholar] [CrossRef] [PubMed]
- Wang, X.; Hui, X. Mutual Information Based Analysis for the Distribution of Financial Contagion in Stock Markets. Discrete Dyn. Nat. Soc. 2017, 2017, 3218042. [Google Scholar] [CrossRef]
- Markowitz, H. Portfolio Selection. J. Finance 1952, 7, 77–91. [Google Scholar]
- Huang, X.; Vodenska, I.; Havlin, S.; Stanley, H.E. Cascading Failures in Bi-partite Graphs: Model for Systemic Risk Propagation. Sci. Rep. 2013, 3, 1219. [Google Scholar] [CrossRef] [PubMed]
- Barabási, A.; Pósfai, M. Network Science; Cambridge University Press: Cambridge, UK, 2016. [Google Scholar]
- Dionisio, A.; Menezes, R.; Mendes, D.A. Mutual information: A measure of dependency for nonlinear time series. Physica A 2004, 344, 326–329. [Google Scholar] [CrossRef]
- Steuer, R.; Kurths, J.; Daub, C.O.; Weise, J.; Selbig, J. The mutual information: Detecting and evaluating dependencies between variables. Bioinformatics 2002, 18, S231–S240. [Google Scholar] [CrossRef] [PubMed]
- Long, S.; Tian, P. Nonlinear backbone torsional pair correlations in proteins. Sci. Rep. 2016, 6, 34481. [Google Scholar] [CrossRef] [PubMed]
- de Pooter, M.; Martens, M.; van Dijk, D. Predicting the daily covariance matrix for s&p 100 stocks using intraday data—but which frequency to use? Econom. Rev. 2008, 27, 199–229. [Google Scholar]
- Plerou, V.; Gopikrishnan, P.; Rosenow, B.; Amaral, L.A.N.; Stanley, H.E. Universal and nonuniversal properties of cross correlations in financial time series. Phys. Rev. Lett. 1999, 83, 1471. [Google Scholar] [CrossRef]
- Huang, W.Q.; Zhuang, X.T.; Yao, S. A network analysis of the Chinese stock market. Physica A 2009, 388, 2956–2964. [Google Scholar] [CrossRef]
- Chi, K.T.; Liu, J.; Lau, F.C. A network perspective of the stock market. J. Empir. Finance 2010, 17, 659–667. [Google Scholar]
- Bonanno, G.; Caldarelli, G.; Lillo, F.; Micciche, S.; Vandewalle, N.; Mantegna, R.N. Networks of equities in financial markets. Eur. Phys. J. B 2004, 38, 363–371. [Google Scholar] [CrossRef]
- Namaki, A.; Shirazi, A.; Raei, R.; Jafari, G. Network analysis of a financial market based on genuine correlation and threshold method. Physica A 2011, 390, 3835–3841. [Google Scholar] [CrossRef]
- Kaya, H. Eccentricity in Asset Management. 2013. Available online: https://ssrn.com/abstract=2350429 (accessed on 31 July 2018).
- Schwill, S. Entropy Analysis of Financial Time Series. arXiv preprint, 2018; arXiv:1807.09423. [Google Scholar]




- • Technology • Consumer Services • Health Care • C. Non-Durables
- • Miscellaneous • Capital Goods • Transportation • Public Utilities
- • Technology • Consumer Services • Health Care • C. Non-Durables
- • Miscellaneous • Capital Goods • Transportation • Public Utilities







| Top-10 Highest Volatility Stocks | ||||||
|---|---|---|---|---|---|---|
| Before CA | After CA | |||||
| Stock | Industry | SD(x) | Stock | Industry | SD(x) | |
| DLTR | Consumer Services | 0.01031 | SHPG | Health Care | 0.01013 | |
| ESRX | Health Care | 0.00757 | TSLA | Capital Goods | 0.00857 | |
| JD | Consumer Services | 0.00732 | MU | Technology | 0.00721 | |
| ADSK | Technology | 0.00724 | NFLX | Consumer Services | 0.00704 | |
| MU | Technology | 0.00703 | NVDA | Technology | 0.00684 | |
| ALXN | Health Care | 0.00671 | FB | Technology | 0.00668 | |
| ROST | Consumer Services | 0.00576 | AMZN | Consumer Services | 0.00640 | |
| WYNN | Consumer Services | 0.00533 | LRCX | Technology | 0.00623 | |
| ULTA | Consumer Services | 0.00496 | AMAT | Technology | 0.00564 | |
| LRCX | Technology | 0.00477 | INTC | Technology | 0.00563 | |
© 2018 by the authors. Licensee MDPI, Basel, Switzerland. This article is an open access article distributed under the terms and conditions of the Creative Commons Attribution (CC BY) license (http://creativecommons.org/licenses/by/4.0/).
Share and Cite
Peruzzi, A.; Zollo, F.; Quattrociocchi, W.; Scala, A. How News May Affect Markets’ Complex Structure: The Case of Cambridge Analytica. Entropy 2018, 20, 765. https://doi.org/10.3390/e20100765
Peruzzi A, Zollo F, Quattrociocchi W, Scala A. How News May Affect Markets’ Complex Structure: The Case of Cambridge Analytica. Entropy. 2018; 20(10):765. https://doi.org/10.3390/e20100765
Chicago/Turabian StylePeruzzi, Antonio, Fabiana Zollo, Walter Quattrociocchi, and Antonio Scala. 2018. "How News May Affect Markets’ Complex Structure: The Case of Cambridge Analytica" Entropy 20, no. 10: 765. https://doi.org/10.3390/e20100765
APA StylePeruzzi, A., Zollo, F., Quattrociocchi, W., & Scala, A. (2018). How News May Affect Markets’ Complex Structure: The Case of Cambridge Analytica. Entropy, 20(10), 765. https://doi.org/10.3390/e20100765

