Next Article in Journal
The Potential Application of Multiscale Entropy Analysis of Electroencephalography in Children with Neurological and Neuropsychiatric Disorders
Previous Article in Journal
A Sparse Multiwavelet-Based Generalized Laguerre–Volterra Model for Identifying Time-Varying Neural Dynamics from Spiking Activities
 
 
Font Type:
Arial Georgia Verdana
Font Size:
Aa Aa Aa
Line Spacing:
Column Width:
Background:
Article

Iterative QR-Based SFSIC Detection and Decoder Algorithm for a Reed–Muller Space-Time Turbo System

School of Electrical and Information Engineering, Anhui University of Technology, Ma’anshan 243002, China
*
Author to whom correspondence should be addressed.
Entropy 2017, 19(8), 426; https://doi.org/10.3390/e19080426
Submission received: 30 June 2017 / Revised: 24 July 2017 / Accepted: 15 August 2017 / Published: 20 August 2017
(This article belongs to the Section Information Theory, Probability and Statistics)

Abstract

:
An iterative QR-based soft feedback segment interference cancellation (QRSFSIC) detection and decoder algorithm for a Reed–Muller (RM) space-time turbo system is proposed in this paper. It forms the sufficient statistic for the minimum-mean-square error (MMSE) estimate according to QR decomposition-based soft feedback successive interference cancellation, stemmed from the a priori log-likelihood ratio (LLR) of encoded bits. Then, the signal originating from the symbols of the reliable segment, the symbol reliability metric, in terms of an a posteriori LLR of encoded bits which is larger than a certain threshold, is iteratively cancelled with the QRSFSIC in order to further obtain the residual signal for evaluating the symbols in the unreliable segment. This is done until the unreliable segment is empty, resulting in the extrinsic information for a RM turbo-coded bit with the greatest likelihood. Bridged by de-multiplexing and multiplexing, an iterative QRSFSIC detection is concatenated with an iterative trellis-based maximum a posteriori probability RM turbo decoder as if a principal Turbo detection and decoder is embedded with an iterative subordinate QRSFSIC detection and a RM turbo decoder, exchanging each other’s detection and decoding soft-decision information iteratively. These three stages let the proposed algorithm approach the upper bound of the diversity. The simulation results also show that the proposed scheme outperforms the other suboptimum detectors considered in this paper.

1. Introduction

Multiple-input multiple-output (MIMO) systems achieve high data rate transmission and substantial gains in channel capacity over a rich-scattering environment [1,2], which makes very high spectral efficiency available for the emerging wireless standard IEEE 802.11n/ac [3], etc. Moreover, if a powerful channel code, such as turbo codes [4], can be serially concatenated with this architecture, a kind of MIMO system, i.e., the turbo space-time system, is obtained in order to achieve near-capacity performance [5,6].
Endowed with the turbo learning principle, iterative detection (inner decoder) and decoder (outer decoder) receivers for the turbo space-time system [5], detecting and decoding, by exchanging soft bits of information mutually, can approximately approach optimal performance with reduced complexity [5,6].
Although the maximum a posteriori probability (MAP) MIMO detector could attain superior performance, it has a complexity that grows exponentially with the product of the number of transmit antennas and the modulation order, which, in reality, precludes it from implementation.
Therefore, three major types of sub-optimal soft-input soft-output (SISO) MIMO detectors, i.e., the SISO sphere decoder (SD) [6,7,8], SISO interference cancellation (IC) detectors [9,10,11], and SISO decision-feedback (DF) detectors [12,13], have attracted the most attention. Among them is SISO list sphere detection with a probabilistic radius tightening [7] and SISO sphere detection with perfect node enumeration [8], which, taking into account the characteristic of the extrinsic information estimates, can achieve the upper bound of the diversity [14,15]. However, the smaller the radius, the more computationally efficient the method of the SISO SDs would be. Nevertheless, only a sphere of relatively large radius and list size would ensure SISO SDs to provide near-optimal detection, which results in an unobviously-reduced complexity comparable to that of the MAP detection algorithm.
With recent advances in IC and DF, more and more novel achievements, such as SISO minimum-mean-square error (MMSE)-based successive interference cancelation receivers with a novel strategy [9]; an area-efficient MMSE with parallel interference cancellation (PIC) detector [10]; the MMSE-PIC-based SISO detector with Neumann series expansion to reduce the total complexity [11]; a novel low-complexity decision-feedback detection algorithm with constellation constraints [12]; a soft input, soft output, and soft feedback (SIOF) detector [13]; etc., in this area have been applied to modify the strategy for mitigating error propagation (EP) for this kind of suboptimum detector.
Previously, it was shown that the QR decomposition [16] of the channel matrix led to a simple successive detection algorithm with reduced complexity. In this way, we extend this idea to a SIOF detector and propose an iterative QR-based soft feedback segment interference cancellation (QRSFSIC) detection and decoder algorithm.
Furthermore, the originally-proposed turbo codes are generated by two parallel recursive systematic convolutional encoders separated by an interleaver and using an iterative SISO decoder [4]. Nevertheless, using Reed–Muller (RM) [4,17], instead of convolutional codes as component codes, RM turbo codes, with a simple block interleaver, not only give very good performance for high code rates, but also avoid the problem of trellis termination. In this paper, it is serially concatenated with MIMO architecture to constitute a novel kind of MIMO system, named as the RM turbo space-time system.
The proposed algorithm is composed of an iterative QRSFSIC detector (inner decoder) and a trellis-based MAP RM turbo decoder (outer decoder), which mitigates the multi-stream interference and obtains the desired information bit by exchanging information between inner and outer decoders. It, based on QR, not only embeds SFSIC, but also merges RM-turbo codes with minimal trellis representation into the QRSFSIC detector and decoder. In the first place, it forms the sufficient statistics for the MMSE estimate according to QR decomposition-based soft feedback successive interference cancellation, which saves computation. Second, the signal that originated from the symbols of the reliable segment is iteratively cancelled with the QRSFSIC, which guarantees the optimal detection sorting in case of the risk of EP and, thus, leads the proposed scheme to approaching the upper bound of the diversity gain. Finally, RM-turbo codes with minimal trellis make it feasible for an iterative trellis-based MAP RM turbo decoder, resulting in the global optimum, corresponding to the transmitted data, with lower complexity.
Throughout this paper we adopt the following notational conventions. Boldface capitals and lower-case letters symbolize matrices and vectors, respectively. Furthermore, ( )T, ( )H, and ( )−1 represent the transpose, Hermitian transpose, and inverse, respectively. Finally, indices [m, l] are used to mean the lth bit position of the constellation symbol for the mth transmit antenna while x k + 1 and x k 1 denote [ x k + 1 , , x N t ] T and [ x 1 , , x k 1 ] T , respectively, and the subscript k:l means that the range of index is from k to l.

2. Reed–Muller Space-Time Turbo System Model

Figure 1 presents the configuration of a Reed–Muller space-time turbo system with a receiver based on a QR-based SFSIC detection concatenated with an iterative trellis-based MAP RM turbo decoder. In this system, there are Nt transmit antennas and Nr receive antennas. Let Mb be the number of symbols in the complex constellation C. The user’s information bits u are first encoded into the Reed–Muller turbo code stream by the outer encoder, which is then bit-interleaved using an offline-designed pseudo-random interleaver referred to as Π. Followed by de-multiplexing, the high-speed RM turbo code stream transfers into low-speed Nt parallel sub-vectors. In the end, each sub-vector is independently mapped into the transmitted vector constellation symbol x whose entries [ x 1 , , x m , , x N t ] T are chosen from C, where x m is a symbol transmitted out of the mth transmit antenna at the ith interval. The received Nr × 1 vector can be represented by:
Y = H x + η = k = 1 N t h k x k + η
where H denotes the Nr × Nt channel matrix, the elements of which are independent and identically distributed (i.i.d.) with the zero-mean unit-variance complex Gaussian distribution. η is a Nr × 1 complex white Gaussian noise with zero mean and a covariance of 2 σ 2 I , where I is an Nr × Nr identity matrix.
In order to obtain the most likely information vector, we apply the statistical features among all components of the received signals. By doing this, the multi-stream interference from other transmit antennas is mitigated, and different types of detectors are also acquired.
The MAP algorithm selects the most likely encoded bit with respect to all combinations of transmitted signals by maximizing the log-likelihood ratio (LLR) [4,18] as given by:
Λ [ d k , m ] = ln P ( d k , m = + 1 | y , H ) P ( d k , m = 1 | y , H ) = ln x X _ ( d k , m = 1 ) p ( x , y , H ) x X _ ( d k , m = 1 ) p ( x , y , H )
where X _ ( d k , m = ± 1 ) is the set of all possible RM turbo-coded bit vectors, the mth bit position of the constellation symbol for the kth transmit antenna, which is fixed with d k , m = ± 1 .
The Log MAP algorithm must calculate 2 N t Γ , where Γ is the code constraint length sequence corresponding to a sequence of modulated symbols to be transmitted during the ith interval, the metric being expressed in Equation (2), and the vector that yields the largest metric being selected. It is a considerably complicated NP-complete (nondeterministic polynomial time-complete) problem when NtΓ is large. Although the bit error rate (BER) of it is considerably low, its computational complexity is unacceptable in reality. To reduce the computational complexity, an alternative approach is adopted. By employing the sphere decoder technique, the list sphere decoder [6,7] and other improved search vector versions [8] that are composed of the constellation points are limited to a sphere of radius C centered at the received signal. These approaches aim to implement suboptimum detection, with its complexity depending on the size of the candidate vector set to be searched for detections per information bit. However, it is still a rather complicated NP-complete problem when the size of the candidate vector set is large. Furthermore, the SIOF detectors are proposed to avoid EP and reduce the complexity. It is to further devised that the suboptimum decoders, which are based on the LLR function, have both lower computational complexities and fast convergence rates, that serve as the motivation to write this paper.

3. The Novel Iterative QR-Based SFSIC Detection and Decoder Algorithm

The proposed scheme, named the iterative QR-based soft feedback segment interference cancellation detection and decoder algorithm, is depicted on the right-hand side of the Figure 1. It is composed of an iterative QRSFSIC detector (inner decoder) and an iterative trellis-based MAP RM turbo decoder (outer decoder), which mitigates the multi-stream interference with inner iterations executed by the inner decoder and fulfills error correcting through outer iterations by the outer decoder to obtain the desired information bit by exchanging information between inner and outer decoders. The operation of iterative detection and the decoder algorithm is to maximize a posterior LLR, which is made up of a priori or old information and new information, or more technically, extrinsic information, acquired during this iterative detection and decoding procedure, the latter of which is only information exchanged in processing cycles.

3.1. Iterative QR-Based SFSIC Detector (Inner Decoder)

The iterative QRSFSIC, based on a progressive partition of the transmitted symbols into the reliable/residual symbol segment according to a posterior LLR, gives rise to inner iterations to evaluate the MMSE estimate of residual symbols which resort to soft feedback and interference cancellation of the reliable segment. Its crucial idea is to save computation by QR decomposition, which results in a simple successive detection algorithm with reduced complexity. When it is applied to detect multi-transmit antenna signals, its novelties can be stated as follows.

3.1.1. Forming a Reliability Metric Based on a Posterior Information

At first, in terms of QR decomposition of the channel matrix H = QR, where Q is a unitary matrix, and R is the upper triangular, multiplying the received signal Y with QH, the algorithm yields the sufficient statistic [13,16] for soft feedback successive interference cancellation of x i n :
y i n = Q H ( Y H [ x ¯ i n 1 a 0 x ¯ i n + 1 a ] ) = y R [ x ¯ i n 1 a 0 x ¯ i n + 1 a ] = r i n x i n + [ r i 1 : i n 1   r i n + 1 : N t ] [ x i n 1 x ¯ i n 1 a x i n + 1 x ¯ i n + 1 a ] + n
where the first term on the right of the third equal sign comprises the desired symbol that needs to be detected and the rest of the terms represent the interference that is not completely cancelled plus the noise. x ¯ i n a are the soft estimates of x i n derived from the a priori LLRs, written as:
x ¯ i n a = E [ x i n | L i n , 1 : M b a 1 ] = θ Θ θ m = 1 M 1 2 ( 1 + ( 2 d i n , m 1 ) tanh ( L i n , m a 1 2 ) )    1 i n N t
where L i n , 1 : M b a = [ L i n , 1 a , , L i n , M b a ] T , with the entry L i n , m a = ln P ( d i n , m = 1 ) ln P ( d i n , m = 0 ) , which indicates the prior information of the mth encoded bit d i n , m transmitted from the inth antenna. Θ is the set of all constellation points, each of which corresponds to an encoded bit vector d i n , 1 , , d i n , M b according to a certain mapping.
Then, the MMSE estimate x ^ i n is denoted by [13,16]:
x ^ i n = ( w i n ) H y i n = ( ( R Ψ i n R H + σ 2 I N r ) 1 r i n ) H y i n = ( ( R [ ψ a , i 1 : i n 1 0 0 0 1 0 0 0 ψ a , i n + 1 : N t ] R H + σ 2 I N r ) 1 r i n ) H y i n
where w i n is a weighted coefficient vector of the MMSE estimate. ψ a , k : l indicates the covariance matrix of [ x k , , x l ] T , given a prior LLRs. Due to the interleaver, symbols from each transmit antenna would be regarded as being independent. Thus, each non-diagonal element of ψ a , k : l is zero. The qth diagonal element Ψ i n ( q , q ) of Ψ i n can be represented as:
Ψ i n ( q , q ) = E [ | x q | 2 | L q , 1 : M b ( ) ] | x ¯ q ( ) | 2
E [ | x q | 2 | L q , 1 : M b ( ) ] = θ Θ | θ | 2 m = 1 M 1 2 ( 1 + ( 2 d q , m 1 ) tanh ( L q , m ( ) 2 ) )
where L q , 1 : M b ( ) = L q , 1 : M b a 1 and | x q ( ) | 2 = | x q a 1 | 2 . Similarly, if ψ f , k : l denotes the covariance matrix of [ x k , , x l ] T , given a posterior LLRs, to obtain the qth diagonal element Ψ i n ( q , q ) , we should let L q , 1 : M b ( ) = L q , 1 : M b f and | x q ( ) | 2 = | x q f | 2 .
Thus, if the proposed algorithm operates l − 1 inner iterations, the symbol reliability metric Λ n can be obtained according to the posterior LLR of encoded bits:
Λ i n = Δ min 1 i 2 M b | L i n , i f |
where L i n , i f , composed of a prior LLR L i n , i a 1 and an extrinsic LLR L i n , i e 1 , is the a posterior LLR of the ith encoded bit from the inth antenna, expressed by:
L i n , i f = ln P ( d i n , i = 1 | x ^ i n ) P ( d i n , i = 0 | x ^ i n ) = L i n , i e 1 + L i n , i a 1
When Λ i n > τ ( 1 i n N t ), the detected symbol transmitted from the inth antenna is a reliable one such that it is saved in the reliable symbol segment φ while the rest is put into the residual symbol segment ϑ . Obviously, τ is the threshold whose value will affect the number of symbols whose interference is to be cancelled in the next inner iteration. However, the proper τ is difficult to exploit. Based on the trade-off between symbols with a larger reliability metric, which should be enclosed in the reliable symbol segment, and relatively lower computational effort, we choose:
τ = min ( { Λ 1 , , Λ N t } ) + β ( max ( { Λ 1 , , Λ N t } ) min ( { Λ 1 , , Λ N t } ) )
where β = 0.85 is the empirical value [13].

3.1.2. Canceling Interference from Reliable Symbols and Forming the MMSE Estimate of Residual Symbols Iteratively

To perform the lth inner iteration for detecting the symbols in segment ϑ l , based on an a posteriori estimate x ¯ i f , we obtain the residual signal [13,16] after canceling the interference resulting from the segment φ l , i.e.,:
y l = y i φ l r i x ¯ i f
Thereafter, the MMSE estimate x ^ k l of the residual symbol segment ϑ l can be calculated as [13,16]:
x ^ k l = w n l y l = ( Ζ n l ) 1 r n
Ζ n l = r n r n H + k = 1 , k n N t A k r k r k H + σ 2 I N r
where A k is the variance of an a priori estimate of x k for k ϑ l and the variance of an a posteriori estimate for k φ l , which can be acquired by Equations (6) and (7).

3.1.3. Calculating the Extrinsic LLR and A Posterior LLR of Encoded Bits

Furthermore, if we rewrite Equation (5) as [13,16,19]:
x ^ i n = ( w i n ) H y i n = ( w i n ) H r i n x i n + ( w i n ) H ( [ r i 1 : i n 1   r i n + 1 : i N t ] [ x i n 1 x ¯ i n 1 f x i n + 1 x ¯ i n + 1 a ] + n ) = μ i n x i n + γ i n
where γ i n is the residual interference plus noise that can be approximately regarded as a Gaussian random variable with mean zero and variance [19], expressed as:
( σ i n ) 2 = E [ | γ i n | 2 ] = ( w i n ) H ( R Σ i n R H + σ 2 I N r r i n r i n H ) w i n = ( w i n ) H r i n | ( w i n ) H r i n | 2
The extrinsic LLR of d i n , m is denoted by:
L i n , m e 1 = ln P ( x ^ i n | d i n , m = 1 ) P ( x ^ i n | d i n , m = 0 ) = ln θ Θ m 1 exp ( | x ^ i n μ i n θ | 2 ( σ i n ) 2 ) θ Θ m 0 exp ( | x ^ i n μ i n θ | 2 ( σ i n ) 2 )
where Θ m 1 and Θ m 0 represents the set of constellations of the mth bit that could be 1 and 0.
Combining the extrinsic LLR with a priori LLRs, the a posteriori LLR is obtained according to Equation (9), which is then exploited to calculate the reliability metric of symbols in the residual segment ϑ l . Hereafter, we continue to iteratively detect symbols in ϑ l until ϑ l becomes void. Finally, followed by de-interleaving, the extrinsic information is fed into the outer decoder as a priori information.

3.2. RM-Turbo Iterative Decoder (Outer Decoder)

The extrinsic information obtained from the inner decoder after de-interleaving is inputted into the outer decoder, which is made up of a pair of component decoders, i.e., the horizontal decoder and the vertical decoder, which are separated by two transposes. The configuration of the outer decoder, characterized by the feedback structure and the a posteriori probability (APP) LLR of the extrinsic information exchange among different component minimal trellis-based MAP decoders in an iterative way, is depicted in Figure 2. The working principle of the outer decoder can be stated as shown below.

3.2.1. Generating Extrinsic Information for the Vertical Decoder

Once the soft bit stream coming from the inner decoder is de-multiplexed and decomposed to obtain the horizontal soft systematic bit stream and soft parity bit stream, the APP LLR of the extrinsic information for systematic bit d i n , m , i.e., u i n , m , of the horizontal decoder in the q outer iteration is defined as [4,17]:
L e ( i n , m , q ) = L 1 ( i n , m , q ) L c L ( d i n , m , q ) L e T | ( i n , m , q )
where Lc is called the reliability value of the channel; L ( d i n , m , q ) denotes the received de-multiplexed soft output of the horizontal decoder, associated with the information bit u i n , m , estimated by the outer decoder; L e T | ( i n , m , q ) is the transpose of the [in, m]th APP LLR extrinsic information L e | ( i n , m , q ) of the vertical decoder, which is equal to L a ( i n , m , q ) , the a priori LLR value for the [in, m]th information bit, at the first iteration; and L 1 ( i n , m , q ) is the APP LLR associated with the information bit u i n , m in the q-th iteration, expressed by:
L 1 ( i n , m , q ) = ln P ( d i n , m = + 1 | L ( d i n , m , q ) ) P ( d i n , m = 1 | L ( d i n , m , q ) ) = ln ( s , s , d i n , k = + 1 ) p ( s , s , L ( d i n , m , q ) ) ( s , s , d i n , k = 1 ) p ( s , s , L ( d i n , m , q ) ) = ln ( s , s , d i n , k = + 1 ) p ( s , L ( d i n , j < k , q ) ) p ( s , L ( d i n , k , q ) | s ) p ( L ( d i n , j > k , q ) | s ) ( s , s , d i n , k = 1 ) p ( s , L ( d i n , j < k , q ) ) p ( s , L ( d i n , k , q ) | s ) p ( L ( d i n , j > k , q ) | s ) = ln ( s , s , d i n , k = + 1 ) α k 1 ( s ) λ k ( s , s ) ϖ k ( s ) ( s , s , d i n , k = 1 ) α k 1 ( s ) λ k ( s , s ) ϖ k ( s )
where ( s , s , d i n , k = + 1 ) and ( s , s , d i n , k = 1 ) denote the set of the pair of states that connects the trellis state s at time k − 1 to the state s at time k, respectively; and d i n , j < k denotes the portion of the received sequence from bit 0 up to bit k − 1. Similarly, the received sequence from bit k up to bit m − 1 is represented by d i n , j > k . Moreover, α k ( s ) , ϖ k ( s ) , and λ k ( s , s ) are forward, backward, and branch metric recursions of the MAP decoding, obtained by:
α k ( s ) = s λ k ( s , s ) α k 1 ( s ) ϖ k 1 ( s ) = s λ k ( s , s ) ϖ k ( s ) λ k ( s , s ) = P ( s | s ) p ( L ( d i n , k , q ) | s , s ) = p ( d i n , k ; L ( d i n , k , q ) ) = exp ( 1 2 d i n , k ( L c L ( d i n , k , q ) + L a ( i n , m , q ) ) ) = exp ( L ( d i n , k ; L ( d i n , k , q ) d i n , k 2 ) )
where L ( d i n , k ; L ( d i n , k , q ) ) = L c L ( d i n , k , q ) + L a ( i n , m , q ) for information bits and L ( d i n , k ; L ( d i n , k , q ) ) = L c L ( d i n , k , q ) for parity bits.

3.2.2. Engendering Extrinsic Information and Making Hard Decisions

Meanwhile, the horizontal decoder will use L e T | ( i n , m , q ) in place of L a ( i n , m , q ) after the first iteration, the transpose of which, computed by the vertical decoder is, in turn:
L e | ( i n , m , q ) = L 2 | ( i n , m , q ) L c L | ( d i n , m , q ) L e T ( i n , m , q )
where L | ( d i n , m , q ) , estimated by the outer decoder, denotes the received de-multiplexed soft output of the vertical decoder, associated with the information bit u i n , m ; L e T ( i n , m , q ) is the transpose of the [in, m]th APP LLR extrinsic information L e ( i n , m , q ) of the horizontal decoder; L 2 | ( i n , m , q ) is the APP LLR associated with the information bit u i n , m in the qth iteration, which can be defined in the manner similar to Equations (18) and (19). Note that, in Equation (20), the APP LLR extrinsic information L e | ( i n , m , q ) is obtained in such a way that subtracting the terms, namely, L c L | ( d i n , m , q ) and L e T ( i n , m , q ) , removes the effect of the current information bit d i n , m from L 2 | ( i n , m , q ) , leaving only the effect of the parity constraints, thus providing an independent estimate of information bit d i n , m to the horizontal decoder, in addition to the received soft channel LLR L c L ( d i n , m , q ) . The iterative process is usually terminated after a predetermined number of iterations, when the soft-output value stabilizes and changes slightly between successive iterations.
Furthermore, Equations (17) and (18) can be relatively straightforwardly generalized to analyze and discuss the soft parity bits streams. Then, we multiplex the soft systematic bit streams and the soft parity bit streams in the same way as that in the RM turbo encoding [4,17] to obtain the encoded bits’ extrinsic information which is sent to the iterative QRSFSIC detector as an a priori LLR for the next iteration.
With the increasing number of iterations, the contribution of extrinsic information from the inner and outer decoders to the improvement of performance of the receiver diminishes. Finally, the availability vanishes, that is to say the receiver converges. At this time, the vertical decoder will not only combine both extrinsic information values in computing the soft output L 2 | ( i n , m , q ) , but was also make the difficult decision after de-multiplexing to obtain the estimated u ^ i n , m of the information bit.

4. Simulation Results and Discussion

In this section, a simulation investigation which, in terms of a time-domain Monte Carlo method, was designed in MATLAB (Matrix Laboratory) R2010a under the Windows 7 Ultimate 64-bit operating system, using a computer with a 3.4-GHz Intel(R) Core(TM) i7-2600K CPU, is carried out to show the performance of the proposed scheme in this context. We use three iterative detection schemes, i.e., an iterative QR-based soft feedback segment interference cancellation detector and decoder (IQRSFSICDD), an iterative soft input-soft output and soft feedback detector and decoder (ISIOFDD), and an iterative minimum mean square error parallel interference cancellation detector and decoder (IMMSEPICDD). The simulation results are described in two aspects, i.e., the performance of ISISOICSPDD over a number of iterations between the detector and the decoder loop (the major iteration) and the bit error rate (BER), which, counted by comparisons between the estimated bits and the transmitted bits, is measured as a function of signal-to-noise ratio SNR (signal-to-noise ratio), which is followed by a discussion of the diversity order of the proposed scheme.
Let us consider that, in a Rayleigh fading channel, there is an RM space-time turbo system, shared by Nt transmitters and Nr receivers. The length of the frame is 1000 symbols and the transmitted bits for each SNR is larger than 10/BER, which is consistent with the requirements of the Monte Carlo method. The transmitters employ the 4-ary quadrature amplitude modulation (4-QAM) with Gray mapping. An overall code rate R = 121/240, or R = 676/988 outer channel RM turbo code with the same RM (2, 4), or an RM (3, 5) [17,18] code in each dimension is used.
In Figure 1, the pseudo-random interleaver (∏) is used not only to de-correlate the fading channel and maximize the diversity order of the system, but also to eliminate the correlation in the sequence of the RM turbo coded bits, which is crucial for the proposed algorithm. The number of iterations of the RM turbo decoder (outer iteration) is limited to 5.
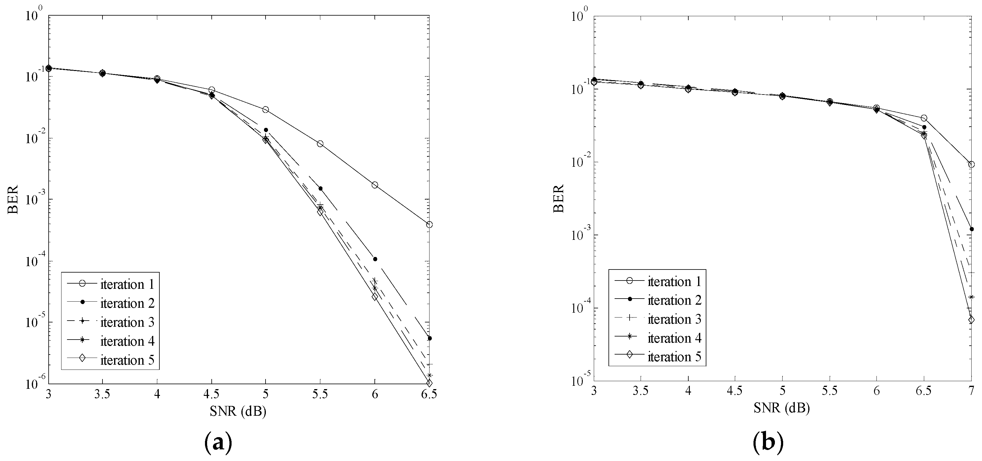
Figure 3 depicts the BERs of the IQRSFSICDD versus SNR values over a range of iterations, with the transmitters using an R = 121/240 outer channel RM turbo code and the 4-QAM for Nt = Nr = 3, and an R = 676/988 outer channel RM turbo code accompanied by the 4-QAM for Nt = Nr = 4, respectively.
For the graphic clarification, not all of the simulation results are shown and the number of the iteration being one means that there is no soft information exchanging between the iterative IQRSFSIC detector and minimal trellis-based MAP RM turbo decoder. From Figure 3, we can obtain the following observation:
Originally, in the relatively lower input SNR interval, the BER of the proposed algorithm is almost not favorable to the numbers of detector and decoder iterations being executed.
Gradually, with the increase in the input SNR, the BERs between successive iterations could be distinguished.
Then, at a certain input SNR or, more accurately, an input SNR threshold, the BER curves go into a waterfall region with their characteristic sharp drop, where the proposed algorithm would converge to zero BER within a finite number of iterations.
Figure 3 has also shown that though the greater number of iterations would lead to the lower bit error rate, the gradient of the BER with respect to the number of iterations for the proposed algorithm does not obviously decrease when the iteration size is increased from 4 to 5. Henceforth, we fix the iterations to 5 as a fundamental trade-off between the BER and computational complexity of the proposed algorithm in all our following simulations.
Figure 4 represents the BERs of three iterative detection schemes versus SNR, with the transmitters using the R = 121/240 outer channel RM turbo code and the 4-QAM for Nt = Nr = 3, and the R = 676/988 outer channel RM turbo code accompanied by the 4-QAM for Nt = Nr = 4, respectively.
The BER of the proposed scheme is not only a few orders of magnitude lower than those of the IMMSEPICDD, but also lower than that of the ISIOFDD. However, when the source employs the R = 121/240 outer channel RM turbo code, though the BER of the proposed scheme is somewhat lower than that of the ISIOFDD, the difference between them is not significant. This is because, in this circumstance, the information coded with the lower overall code rate, i.e., R = 121/240, the performances of these two detection schemes are almost characterized by the error protection (UEP) property of the shortened codes. However, when the overall code rate is higher and the number of transmit antennas is increased, the higher diversity order makes the proposed scheme achieve the best performance. These conclusions also coincide with the results provided by [4,17] for the RM turbo code since both of the proposed scheme and the ones in [4,17] are endowed with stronger component codes, i.e., the RM codes, as extended Hamming codes, to obtain additional coding gain though the scenario for them to operate are far from each other. Moreover, according to d gain = lim S N R log P e ( S N R ) log ( S N R ) where Pe is the bit error rate [20] and SNR is the signal-to-noise ratio, we can discover that the diversity gain of the proposed scheme approximates diversity order 9 and 16 [20] as the SNR increases. Again, this demonstrates that the diversity order of the proposed algorithm is Nt × Nr. These conclusions are also consistent with the results provided by [14,15] for the turbo MIMO systems. Its performance is superior to all other schemes considered in this context.

5. Conclusions

A novel, computationally-efficient IQRSFSICDD is proposed for an RM space-time turbo system. It uses a QR decomposition of the channel matrix and directs it to a simple soft feedback successive interference cancellation based on an a priori LLR of encoded bits which, in turn, economizes computation compared to the algorithm in [13] with the same error performance. Then, the original signal is divided repeatedly into reliable/unreliable segments according to whether an a posteriori LLR of encoded bits is larger than some threshold, which assures the optimal detection sorting in case of the risk of EP. Moreover, RM-turbo codes, each dimension of which is represented by the same RM code with an optimal sectionalized trellis, in the sense of minimizing the number of multiplication operations, is utilized for suitable formation of an iterative trellis-based MAP RM turbo decoder. In this way, the proposed scheme shortens the delay of iterations between the inner decoder and the outer decoder to a certain degree which, in turn, lower the complexity of the proposed algorithm. Simulation results show that the performance of the proposed algorithm outperforms the other suboptimum detectors considered in this paper. Finally, an upper bound of the diversity acquired according to intuitional deduction can be relatively straightforwardly applied to analyze and discuss all types of iterative detectors and decoders for RM space time turbo systems.

Acknowledgments

The authors thank all of the reviewers for their valuable comments, which have helped considerably in improving the overall quality of the work presented in the revised paper. This work was supported, in part, by the Key Programs of the Natural Science Research of Universities of Anhui Province under grant KJ 2015A011, the Natural Science Foundation of Anhui Province under grant 11040606M125, and the National Natural Science Foundation of China under grant 51574004.

Author Contributions

Liang-Fang Ni and Wei-Xia Li conceived and designed the experiments; Yi Wang performed the experiments; Liang-Fang Ni analyzed the data; Pei-Zhen Wang and Jia-Yan Zhang contributed to literature search. Liang-Fang Ni wrote the paper. All authors have read and approved the final manuscript.

Conflicts of Interest

The authors declare no conflict of interest.

References

  1. Telatar, E. Capacity of multi-antenna Gaussian channels. Trans. Emerg. Telecommun. Technol. 1999, 10, 585–595. [Google Scholar] [CrossRef]
  2. Foschini, G.J. Layered space-time architecture for wireless communication in a fading environment when using multi element antennas. Bell Labs Tech. J. 1996, 1, 41–59. [Google Scholar] [CrossRef]
  3. Specification Framework for TGac, IEEE 802.11-09/0992r21, IEEE P802.11ac. January 2011.
  4. Soleymani, M.-R.; Gao, Y.-Z.; Vilaipornsawai, U. Turbo Coding for Satellite and Wireless Communications; Kluwer Academic Publishers: New York, NY, USA, 2002; pp. 23–51, pp. 97–133. [Google Scholar]
  5. Haykin, S.; Sellathurai, M.; Jong, Y.; Willink, T. Turbo-MIMO for wireless communications. IEEE Commun. Mag. 2004, 42, 48–53. [Google Scholar] [CrossRef]
  6. Hochwald, B.M.; Ten Brink, S. Achieving near-capacity on a multiple-antenna channel. IEEE Trans. Commun. 2003, 51, 389–399. [Google Scholar] [CrossRef]
  7. Lee, J.; Shim, B.; Kang, I. Soft-input soft-output list sphere detection with a probabilistic radius tightening. IEEE Trans. Wirel. Commun. 2012, 11, 2848–2857. [Google Scholar] [CrossRef]
  8. Adeva, E.P.; Fettweis, G.P. Efficient architecture for soft-input soft-output sphere detection with perfect node enumeration. IEEE Trans. Very Larg. Scale Integr. (VLSI) Syst. 2016, 24, 2932–2945. [Google Scholar] [CrossRef]
  9. Uchoa, A.G.D.; Healy, C.T.; Lamare, R.C. Iterative detection and decoding algorithms for MIMO systems in block-fading channels using LDPC codes. IEEE Trans. Veh. Technol. 2016, 65, 2735–2741. [Google Scholar] [CrossRef]
  10. Sun, W.-C.; Wu, W.-H.; Yang, C.-H.; Ueng, Y.-L. An Iterative detection and decoding receiver for LDPC-coded MIMO systems. IEEE Trans. Circuits Syst. I 2015, 62, 2512–2522. [Google Scholar] [CrossRef]
  11. Fang, L.; Xu, L.; Huang, D.D. Low complexity iterative MMSE-PIC detection for medium-size massive MIMO. IEEE Wirel. Commun. Lett. 2016, 5, 108–111. [Google Scholar] [CrossRef]
  12. Li, P.; Lamare, R.C. Adaptive decision-feedback detection with constellation constraints for MIMO systems. IEEE Trans. Veh. Technol. 2012, 61, 853–859. [Google Scholar] [CrossRef]
  13. Choi, J.W.; Singer, A.C.; Lee, J.; Cho, N.I. Improved linear soft-input soft-output detection via soft feedback successive interference cancellation. IEEE Trans. Commun. 2010, 58, 986–996. [Google Scholar] [CrossRef]
  14. Stefanov, A.; Duman, T.M. Performance bounds for turbo-coded multiple antenna systems. IEEE J. Sel. Areas Commun. 2003, 21, 374–381. [Google Scholar] [CrossRef]
  15. Su, H.-J.; Geraniotis, E. Space-time turbo codes with full antenna diversity. IEEE Trans. Commun. 2001, 49, 47–57. [Google Scholar]
  16. Wübben, D.; Böhnke, R.; Kühn, V.; Kammeyer, K.-D. MMSE extension of V-BLAST based on sorted QR decomposition. In Proceedings of the IEEE 58th Vehicular Technology Conference, Orlando, FL, USA, 6–9 October 2003; pp. 508–512. [Google Scholar]
  17. Vilaipornsawai, U.; Soleymani, M.R. A novel turbo coding scheme for satellite ATM using Reed–Muller codes. IEEE Trans. Commun. 2003, 51, 767–773. [Google Scholar] [CrossRef]
  18. Lin, S.; Costello, D.J. Error Control Coding, 2nd ed.; Prentice Hall: Upper Saddle River, NJ, USA, 2004; pp. 363–382, pp. 766–844. [Google Scholar]
  19. Li, Y.; Guo, X. A new modified Gaussian approximation detector for space-time bit-interleaved coded modulation schemes. IEEE Trans. Commun. Lett. 2007, 11, 348–350. [Google Scholar] [CrossRef]
  20. Zheng, L.; Tse, D.N.C. Diversity and multiplexing: A fundamental tradeoff in multiple-antenna channels. IEEE Trans. Inf. Theory 2003, 49, 1073–1096. [Google Scholar] [CrossRef]
Figure 1. The configuration of a Reed–Muller space-time turbo system with a receiver based on a QR-based SFSIC detector and decoder.
Figure 1. The configuration of a Reed–Muller space-time turbo system with a receiver based on a QR-based SFSIC detector and decoder.
Entropy 19 00426 g001
Figure 2. Internal structure of the RM-turbo decoder.
Figure 2. Internal structure of the RM-turbo decoder.
Entropy 19 00426 g002
Figure 3. The BERs of the IQRSFSICDD versus SNR values over a range of iterations, with the transmitters using the 4-QAM and (a) the R = 121/240 outer channel RM turbo code for Nt = Nr = 3 (left); and (b) the R = 676/988 outer channel RM turbo code for Nt = Nr = 4 (right).
Figure 3. The BERs of the IQRSFSICDD versus SNR values over a range of iterations, with the transmitters using the 4-QAM and (a) the R = 121/240 outer channel RM turbo code for Nt = Nr = 3 (left); and (b) the R = 676/988 outer channel RM turbo code for Nt = Nr = 4 (right).
Entropy 19 00426 g003
Figure 4. The BERs of three iterative detection schemes versus SNR values, with the transmitters using the 4-QAM and: (a) R = 121/240 outer channel RM turbo code for Nt = Nr = 3 (left); (b) R = 676/988 outer channel RM turbo code for Nt = Nr = 4 (right).
Figure 4. The BERs of three iterative detection schemes versus SNR values, with the transmitters using the 4-QAM and: (a) R = 121/240 outer channel RM turbo code for Nt = Nr = 3 (left); (b) R = 676/988 outer channel RM turbo code for Nt = Nr = 4 (right).
Entropy 19 00426 g004

Share and Cite

MDPI and ACS Style

Ni, L.-F.; Wang, Y.; Li, W.-X.; Wang, P.-Z.; Zhang, J.-Y. Iterative QR-Based SFSIC Detection and Decoder Algorithm for a Reed–Muller Space-Time Turbo System. Entropy 2017, 19, 426. https://doi.org/10.3390/e19080426

AMA Style

Ni L-F, Wang Y, Li W-X, Wang P-Z, Zhang J-Y. Iterative QR-Based SFSIC Detection and Decoder Algorithm for a Reed–Muller Space-Time Turbo System. Entropy. 2017; 19(8):426. https://doi.org/10.3390/e19080426

Chicago/Turabian Style

Ni, Liang-Fang, Yi Wang, Wei-Xia Li, Pei-Zhen Wang, and Jia-Yan Zhang. 2017. "Iterative QR-Based SFSIC Detection and Decoder Algorithm for a Reed–Muller Space-Time Turbo System" Entropy 19, no. 8: 426. https://doi.org/10.3390/e19080426

APA Style

Ni, L.-F., Wang, Y., Li, W.-X., Wang, P.-Z., & Zhang, J.-Y. (2017). Iterative QR-Based SFSIC Detection and Decoder Algorithm for a Reed–Muller Space-Time Turbo System. Entropy, 19(8), 426. https://doi.org/10.3390/e19080426

Note that from the first issue of 2016, this journal uses article numbers instead of page numbers. See further details here.

Article Metrics

Back to TopTop