Accelerating the Computation of Entropy Measures by Exploiting Vectors with Dissimilarity
Abstract
:1. Introduction
2. Methods
2.1. Approximate Entropy (ApEn) and Sample Entropy (SpEn)
2.2. Multiscale Entropy (MSE) and Time-Shift Multiscale Entropy (TSME)
2.3. Vectors with Dissimilarity (VDS) Method
2.4. Implementation and Testing Method
- (1)
- The input quantities are the time series X and computational parameters N, m, r.
- (2)
- Two sets of vectors and are reconstructed from the original time series X. Their embedded dimensions are m and m + 1, respectively and the sizes are both L = N − m.
- (3)
- All scalar components of each vector are added to obtain the Xsum(i).
- (4)
- For arbitrary two vectors, if the absolute value of Xsum (i) − Xsum (j) is greater than m × r, the Decis for the paired vectors and is set to 1 and then there are no further steps to calculate their distance.
- (5)
- Otherwise, the Decis is set to 0 and for the paired vectors there are some calculation steps needed to further calculate their distance in order to determine whether they are similar. An array Cm is used for saving and updating the counting variable. If the distance of the paired vectors is within r, the Cm(i) and Cm(j) both increase by 1.
- (6)
- When the holds, the paired vectors of embedded dimension m are deemed to be similar. Then we continue to check whether the distance of the paired vectors of embedded dimension m + 1 is within r. Another array Cm+1 is used for saving and updating the counting variable.
- (7)
- Finally, the SpEn is computed.
3. Results and Discussion
3.1. Experimental Data
3.2. Accelerating Computations of Sample Entropy (SpEn) in Random Signals and White Noises
3.3. Accelerating Computation of Sample Entropy (SpEn) in EEG Signals
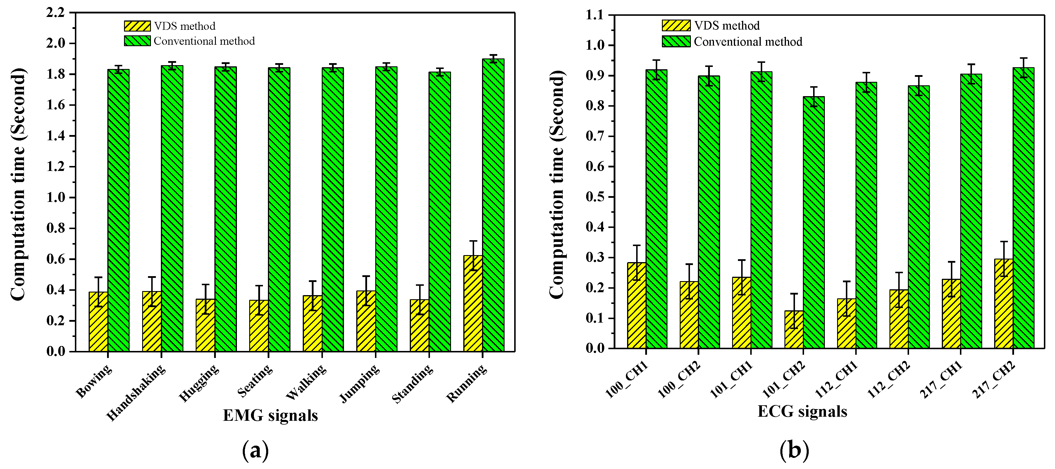
3.4. Accelerating Computations of SpEn in Electromyography (EMG) and Electrocardiogram (ECG) Signals
3.5. Accelerating Computations of Time-Shift Multiscale Entropy (TSME) and Approximate Entropy (ApEn)
4. Conclusions
Acknowledgments
Author Contributions
Conflicts of Interest
References
- Grandy, T.H.; Garrett, D.D.; Schmiedek, F.; Werkle-Bergner, M. On the estimation of brain signal entropy from sparse neuroimaging data. Sci. Rep. 2016, 6, 23073. [Google Scholar] [CrossRef] [PubMed]
- Cao, Y.; Cai, L.; Wang, J.; Wang, R.; Yu, H.; Cao, Y.; Liu, J. Characterization of complexity in the electroencephalograph activity of alzheimer’s disease based on fuzzy entropy. Chaos 2015, 25, 083116. [Google Scholar] [CrossRef] [PubMed]
- Arunkumar, N.; Ramkumar, K.; Venkatraman, V.; Abdulhay, E.; Fernandes, S.L.; Kadry, S.; Segal, S. Classification of focal and non focal EEG using entropies. Pattern Recognit. Lett. 2017, 94, 112–117. [Google Scholar]
- Su, C.; Liang, Z.; Li, X.; Li, D.; Li, Y.; Ursino, M. A comparison of multiscale permutation entropy measures in on-line depth of anesthesia monitoring. PLoS ONE 2016, 11, e0164104. [Google Scholar] [CrossRef] [PubMed]
- Liang, Z.; Wang, Y.; Sun, X.; Li, D.; Voss, L.J.; Sleigh, J.W.; Hagihira, S.; Li, X. EEG entropy measures in anesthesia. Front. Comput. Neurosci. 2015, 9, 16. [Google Scholar] [CrossRef] [PubMed]
- Patidar, S.; Panigrahi, T. Detection of epileptic seizure using Kraskov entropy applied on tunable-Q wavelet transform of EEG signals. Biomed. Signal Process. Control 2017, 34, 74–80. [Google Scholar] [CrossRef]
- Acharya, U.R.; Fujita, H.; Sudarshan, V.K.; Bhat, S.; Koh, J.E.W. Application of entropies for automated diagnosis of epilepsy using EEG signals: A review. Knowl.-Based Syst. 2015, 88, 85–96. [Google Scholar] [CrossRef]
- Li, X.; Jiang, Y.; Hong, J.; Dong, Y.; Yao, L. Estimation of cognitive workload by approximate entropy of EEG. J. Mech. Med. Biol. 2016, 16, 1650077. [Google Scholar] [CrossRef]
- Song, Y.; Zhang, J. Discriminating preictal and interictal brain states in intracranial EEG by sample entropy and extreme learning machine. J. Neurosci. Methods 2016, 257, 45–54. [Google Scholar] [CrossRef] [PubMed]
- Pincus, S.M. Approximate entropy as a measure of system complexity. Proc. Natl. Acad. Sci. USA 1991, 88, 2297–2301. [Google Scholar] [CrossRef] [PubMed]
- Li, P.; Liu, C.; Li, K.; Zheng, D.; Liu, C.; Hou, Y. Assessing the complexity of short-term heartbeat interval series by distribution entropy. Med. Biol. Eng. Comput. 2015, 53, 77–87. [Google Scholar] [CrossRef] [PubMed]
- Manis, G.; Aktaruzzaman, M.; Sassi, R. Bubble entropy: An entropy almost free of parameters. IEEE Trans. Biomed. Eng. 2017, 64, 2711–2718. [Google Scholar] [CrossRef] [PubMed]
- Lerga, J.; Saulig, N.; Lerga, R.; Milanović, Ž. Effects of TFD thresholding on EEG signal analysis based on the local Rényi entropy. In Proceedings of the 2nd International Multidisciplinary Conference on Computer and Energy Science SpliTech 2017, Split, Croatia, 12–14 July 2017; pp. 1–6. [Google Scholar]
- Lerga, J.; Saulig, N.; Lerga, R.; Štajduhar, I. TFD thresholding in estimating the number of EEG components and the dominant IF using the short-term Rényi Entropy. In Proceedings of the 10th International Symposium on Image and Signal Processing and Analysis—ISPA 2017, Ljubljana, Slovenia, 18–20 September 2017; pp. 80–85. [Google Scholar]
- Lerga, J.; Saulig, N.; Mozetič, V.; Lerga, R. Number of EEG signal components estimated using the short-term Rényi entropy. In Proceedings of the 1st International Multidisciplinary Conference on Computer and Energy Science SpliTech 2016, Split, Croatia, 13–15 July 2016; pp. 1–6. [Google Scholar]
- Richman, J.S.; Moorman, J.R. Physiological time-series analysis using approximate entropy and sample entropy. Am. J. Physiol. Heart Circ. Physiol. 2000, 278, H2039–H2049. [Google Scholar] [PubMed]
- Chen, W.; Wang, Z.; Xie, H.; Yu, W. Characterization of surface EMG signal based on fuzzy entropy. IEEE Trans. Neural Syst. Rehabil. Eng. 2007, 15, 266–272. [Google Scholar] [CrossRef] [PubMed]
- Costa, M.; Goldberger, A.L.; Peng, C.K. Multiscale entropy analysis of complex physiologic time series. Phys. Rev. Lett. 2002, 89, 068102. [Google Scholar] [CrossRef] [PubMed]
- Costa, M.; Goldberger, A.L.; Peng, C.K. Multiscale entropy analysis of biological signals. Phys. Rev. E 2005, 71, 021906. [Google Scholar] [CrossRef] [PubMed]
- Liang, Z.; Duan, X.; Li, X.L. Entropy measures in neural signals. In Signal Processing in Neuroscience; Li, X.L., Ed.; Springer: Singapore, 2016; pp. 125–166. ISBN 978-981-10-1822-0. [Google Scholar]
- Pan, Y.H.; Wang, Y.H.; Liang, S.F.; Lee, K.T. Fast computation of sample entropy and approximate entropy in biomedicine. Comput. Meth. Program Biomed. 2011, 104, 382–396. [Google Scholar] [CrossRef] [PubMed]
- Manis, G. Fast computation of approximate entropy. Comput. Meth. Programs Biomed. 2008, 91, 48–54. [Google Scholar] [CrossRef] [PubMed]
- Shohei, S.; Koichi, S.; Hiromitsu, O. Recursive sample-entropy method and its application for complexity observation of earth current. In Proceedings of the 2008 International Conference on Control, Automation and Systems (ICCAS 2008), Seoul, Korea, 14–17 October 2008; pp. 1250–1253. [Google Scholar]
- Hong, B.; Yang, F.; Tang, Q.; Tin-Cheung, C. Approximate entropy and its preliminary application in the field of EEG and cognition. In Proceedings of the 20th Annual International Conference of the IEEE Engineering in Medicine and Biology Society, Hong Kong, China, 29 October–1 November 1998; pp. 2091–2094. [Google Scholar]
- Bandt, C.; Pompe, B. Permutation entropy: A natural complexity measure for time series. Phys. Rev. Lett. 2002, 88, 174102. [Google Scholar] [CrossRef] [PubMed]
- Olofsen, E.; Sleigh, J.W.; Dahan, A. Permutation entropy of the electroencephalogram: A measure of anaesthetic drug effect. Br. J. Anaesth. 2008, 101, 810–821. [Google Scholar] [CrossRef] [PubMed]
- Wang, Y.; Xu, G.; Zhang, S.; Luo, A.; Li, M.; Han, C. EEG signal co-channel interference suppression based on image dimensionality reduction and permutation entropy. Signal Process. 2017, 134, 113–122. [Google Scholar] [CrossRef]
- Deng, B.; Liang, L.; Li, S.; Wang, R.; Yu, H.; Wang, J.; Wei, X. Complexity extraction of electroencephalograms in Alzheimer’s disease with weighted-permutation entropy. Chaos 2015, 25, 043105. [Google Scholar] [CrossRef] [PubMed]
- Azami, H.; Escudero, J. Improved multiscale permutation entropy for biomedical signal analysis: Interpretation and application to electroencephalogram recordings. Biomed. Signal Process. Control 2016, 23, 28–41. [Google Scholar] [CrossRef]
- Jian, Y.; Mao, D.; Xu, Y. A fast algorithm for computing sample entropy. Adv. Adapt. Data Anal. 2011, 3, 167–186. [Google Scholar] [CrossRef]
- Zurek, S.; Guzik, P.; Pawlak, S.; Kosmider, M.; Piskorski, J. On the relation between correlation dimension, approximate entropy and sample entropy parameters and a fast algorithm for their calculation. Phys. A Stat. Mech. Appl. 2012, 391, 6601–6610. [Google Scholar] [CrossRef]
- Wu, S.-D.; Wu, C.W.; Lee, K.Y.; Lin, S.G. Modified multiscale entropy for short-term time series analysis. Phys. A Stat. Mech. Appl. 2013, 392, 5865–5873. [Google Scholar] [CrossRef]
- Wu, S.D.; Wu, C.W.; Lin, S.G.; Wang, C.C.; Lee, K.Y. Time series analysis using composite multiscale entropy. Entropy 2013, 15, 1069–1084. [Google Scholar] [CrossRef]
- Pham, T.D. Time-shift multiscale entropy analysis of physiological signals. Entropy 2017, 19, 257. [Google Scholar] [CrossRef]
- Higuchi, T. Approach to an irregular time series on the basis of the fractal theory. Physica D 1988, 31, 277–283. [Google Scholar] [CrossRef]
- Lerga, J.; Saulig, N.; Mozetič, V. Algorithm based on the short-term Rényi entropy and IF estimation for noisy EEG signals analysis. Comput. Biol. Med. 2017, 80, 1–13. [Google Scholar] [CrossRef] [PubMed]
- Goldberger, A.L.; Amaral, L.A.N.; Glass, L.; Hausdorff, J.M.; Ivanov, P.C.; Mark, R.G.; Mietus, J.E.; Moody, G.B.; Peng, C.K.; Stanley, H.E. PhysioBank, PhysioToolkit and PhysioNet: Components of a New Research Resource for Complex Physiologic Signals. Circulation 2000, 101, e215–e220. [Google Scholar] [CrossRef] [PubMed]
- Lichman, M. UCI Machine Learning Repository. Available online: http://archive.ics.uci.edu/ml (accessed on 27 October 2017).
- Pham’s Personal Homepage. Available online: https://sites.google.com/site/professortuanpham/codes (accessed on 21 September 2017).














| Channel Number | SpEn | Channel Number | SpEn |
|---|---|---|---|
| CH1 | 0.9152 | CH6 | 0.8501 |
| CH2 | 0.8178 | CH7 | 1.0800 |
| CH3 | 0.8109 | CH8 | 1.0609 |
| CH4 | 0.8298 | CH9 | 0.7931 |
| CH5 | 0.8491 | CH10 | 0.9785 |
| Mean Time (s) | N = 500 | N = 1000 | N = 2000 | N = 4000 | N = 8000 |
|---|---|---|---|---|---|
| VDS method | 0.0102 | 0.0399 | 0.1420 | 0.5585 | 2.2037 |
| Conventional method | 0.0514 | 0.2023 | 0.8012 | 3.2410 | 12.843 |
| Time-reduced rate (%) | 80.1 | 80.3 | 82.3 | 82.8 | 82.8 |
| Mean Time (s) | kmax = 1 | kmax = 2 | kmax = 3 | kmax = 4 | kmax = 5 | kmax = 6 | kmax = 7 | kmax = 8 |
|---|---|---|---|---|---|---|---|---|
| VDS method | 0.632 | 0.959 | 1.189 | 1.382 | 1.541 | 1.686 | 1.820 | 1.951 |
| Pham’s method | 1.209 | 1.884 | 2.339 | 2.685 | 2.983 | 3.250 | 3.495 | 3.723 |
| Time-reduced rate (%) | 47.7 | 49.1 | 49.2 | 48.5 | 48.3 | 48.1 | 47.9 | 47.6 |
| Subjects’ Label | ||||||||
|---|---|---|---|---|---|---|---|---|
| k = 1 | k = 2 | k = 3 | k = 4 | k = 5 | k = 6 | k = 7 | k = 8 | |
| Sb1 | 1.06 | 1.35 | 1.48 | 1.58 | 1.63 | 1.66 | 1.69 | 1.74 |
| Sb2 | 1.27 | 1.48 | 1.58 | 1.63 | 1.65 | 1.66 | 1.66 | 1.67 |
| Sb3 | 1.13 | 1.35 | 1.44 | 1.50 | 1.56 | 1.62 | 1.66 | 1.67 |
| Sb4 | 1.26 | 1.44 | 1.46 | 1.53 | 1.54 | 1.58 | 1.62 | 1.58 |
| Sb5 | 1.48 | 1.41 | 1.35 | 1.36 | 1.43 | 1.45 | 1.68 | 1.36 |
| Sb6 | 1.38 | 1.47 | 1.42 | 1.47 | 1.46 | 1.52 | 1.58 | 1.53 |
| Sb7 | 1.67 | 1.60 | 1.58 | 1.52 | 1.74 | 1.69 | 1.84 | 1.44 |
| Sb8 | 1.12 | 1.27 | 1.32 | 1.38 | 1.42 | 1.44 | 1.45 | 1.46 |
| Sb9 | 1.43 | 1.48 | 1.43 | 1.44 | 1.50 | 1.57 | 1.58 | 1.43 |
| Sb10 | 0.92 | 1.17 | 1.30 | 1.42 | 1.48 | 1.54 | 1.58 | 1.60 |
| Subjects’ Label | SpEn | ApEn | Subjects’ Label | SpEn | ApEn |
|---|---|---|---|---|---|
| Sb1 | 1.12 | 1.12 | Sb6 | 1.80 | 1.52 |
| Sb2 | 1.52 | 1.43 | Sb7 | 1.57 | 1.38 |
| Sb3 | 1.32 | 1.30 | Sb8 | 0.97 | 1.03 |
| Sb4 | 1.40 | 1.35 | Sb9 | 1.87 | 1.56 |
| Sb5 | 1.36 | 1.24 | Sb10 | 1.30 | 1.26 |
© 2017 by the authors. Licensee MDPI, Basel, Switzerland. This article is an open access article distributed under the terms and conditions of the Creative Commons Attribution (CC BY) license (http://creativecommons.org/licenses/by/4.0/).
Share and Cite
Lu, Y.; Wang, M.; Peng, R.; Zhang, Q. Accelerating the Computation of Entropy Measures by Exploiting Vectors with Dissimilarity. Entropy 2017, 19, 598. https://doi.org/10.3390/e19110598
Lu Y, Wang M, Peng R, Zhang Q. Accelerating the Computation of Entropy Measures by Exploiting Vectors with Dissimilarity. Entropy. 2017; 19(11):598. https://doi.org/10.3390/e19110598
Chicago/Turabian StyleLu, Yun, Mingjiang Wang, Rongchao Peng, and Qiquan Zhang. 2017. "Accelerating the Computation of Entropy Measures by Exploiting Vectors with Dissimilarity" Entropy 19, no. 11: 598. https://doi.org/10.3390/e19110598
APA StyleLu, Y., Wang, M., Peng, R., & Zhang, Q. (2017). Accelerating the Computation of Entropy Measures by Exploiting Vectors with Dissimilarity. Entropy, 19(11), 598. https://doi.org/10.3390/e19110598

