Dynamical Change of Signal Complexity in the Brain During Inhibitory Control Processes
Abstract
:1. Introduction
2. Materials and Methods
2.1. Stop-Signal Paradigm

2.2. EEG Recording and Preprocessing
2.3. MSE Analysis
2.4. Source Level MSE
2.5. Statistical Method
3. Results
3.1. Analysis of Variance for MSE


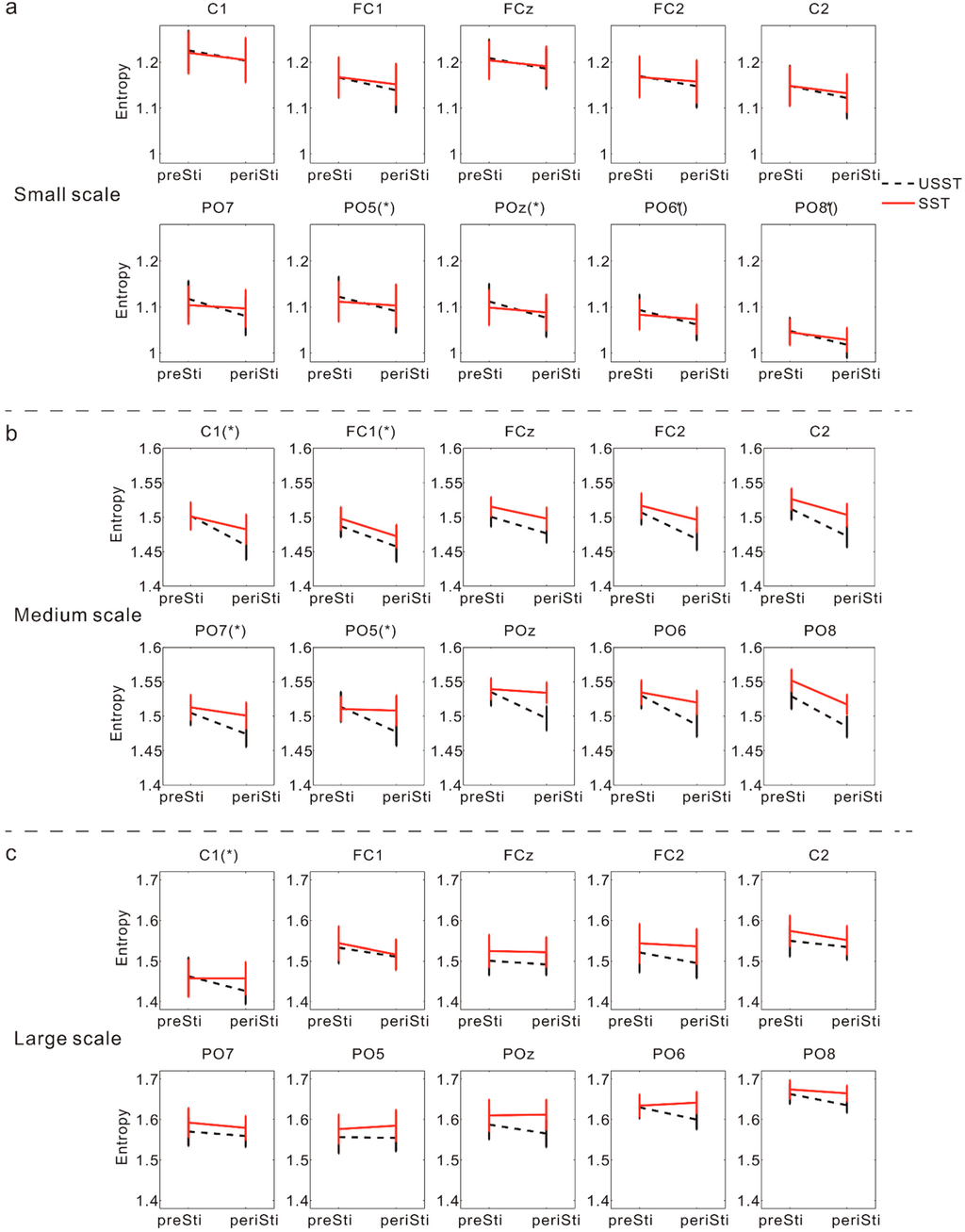
3.2. Sensor-Level MSE Contrasts (SST vs. USST; Pre-Stimulus vs. Peri-Stimulus)




3.3. Source-Level MSE Contrasts (SST vs. USST; Pre-Stimulus vs. Peri-Stimulus)



4. Discussion
4.1. The MSE Perspective
4.2. Inference from Sensor-Level MSE
4.3. Inference from Source-Level MSE
4.4. Methodological Considerations
4.5. Conclusions
Acknowledgments
Author Contributions
Conflicts of Interest
References
- Solomon, M.; Yoon, J.H.; Ragland, J.D.; Niendam, T.A.; Lesh, T.A.; Fairbrother, W.; Carter, C.S. The development of the neural substrates of cognitive control in adolescents with autism spectrum disorders. Biol. Psychiatry 2013, 76, 412–421. [Google Scholar] [CrossRef] [PubMed]
- Logan, G.D.; Cowan, W.B. On the Ability to Inhibit Thought and Action—A Theory of an Act of Control. Psychol. Rev. 1984, 91, 295–327. [Google Scholar] [CrossRef]
- Logan, G.D.; Irwin, D.E. Don’t look! Don’t touch! Inhibitory control of eye and hand movements. Psychon. Bull. Rev. 2000, 7, 107–112. [Google Scholar] [CrossRef] [PubMed]
- Li, C.S.R.; Huang, C.; Constable, R.T.; Sinha, R. Imaging response inhibition in a stop-signal task: Neural correlates independent of signal monitoring and post-response processing. J. Neurosci. 2006, 26, 186–192. [Google Scholar] [PubMed]
- Li, C.S.; Yan, P.; Sinha, R.; Lee, T.W. Subcortical processes of motor response inhibition during a stop signal task. Neuroimage 2008, 41, 1352–1363. [Google Scholar] [PubMed]
- Swann, N.C.; Cai, W.; Conner, C.R.; Pieters, T.A.; Claffey, M.P.; George, J.S.; Aron, A.R.; Tandon, N. Roles for the pre-supplementary motor area and the right inferior frontal gyrus in stopping action: Electrophysiological responses and functional and structural connectivity. NeuroImage 2012, 59, 2860–2870. [Google Scholar] [CrossRef] [PubMed]
- Aron, A.R.; Poldrack, R.A. Cortical and subcortical contributions to stop signal response inhibition: Role of the subthalamic nucleus. J. Neurosci. 2006, 26, 2424–2433. [Google Scholar] [CrossRef] [PubMed]
- Swann, N.; Tandon, N.; Canolty, R.; Ellmore, T.M.; McEvoy, L.K.; Dreyer, S.; DiSano, M.; Aron, A.R. Intracranial EEG reveals a time- and frequency-specific role for the right inferior frontal gyrus and primary motor cortex in stopping initiated responses. J. Neurosci. 2009, 29, 12675–12685. [Google Scholar] [CrossRef] [PubMed]
- Lo, Y.H.; Liang, W.K.; Lee, H.W.; Wang, C.H.; Tzeng, O.J.; Hung, D.L.; Cheng, S.K.; Juan, C.H. The Neural Development of Response Inhibition in 5- and 6-Year-Old Preschoolers: An ERP and EEG Study. Dev. Neuropsychol. 2013, 38, 301–316. [Google Scholar] [CrossRef] [PubMed]
- Liang, W.K.; Lo, M.T.; Yang, A.C.; Peng, C.K.; Cheng, S.K.; Tseng, P.; Juan, C.H. Revealing the brain’s adaptability and the transcranial direct current stimulation facilitating effect in inhibitory control by multiscale entropy. NeuroImage 2014, 90, 218–234. [Google Scholar] [CrossRef] [PubMed]
- Costa, M.; Goldberger, A.L.; Peng, C.K. Multiscale entropy analysis of complex physiologic time series. Phys. Rev. Lett. 2002, 89, 068102. [Google Scholar] [CrossRef] [PubMed]
- Costa, M.; Goldberger, A.L.; Peng, C.K. Multiscale entropy analysis of biological signals. Phys. Rev. E 2005, 71, 021906. [Google Scholar] [CrossRef]
- Peng, C.K.; Costa, M.; Goldberger, A.L. Adaptive Data Analysis of Complex Fluctuations in Physiologic Time Series. Adv. Adapt. Data Anal. 2009, 1, 61–70. [Google Scholar] [CrossRef] [PubMed]
- Goldberger, A.L.; Peng, C.K.; Lipsitz, L.A. What is physiologic complexity and how does it change with aging and disease? Neurobiol. Aging 2002, 23, 23–26. [Google Scholar] [CrossRef]
- Wang, C.H.; Tsai, C.L.; Tseng, P.; Yang, A.C.; Lo, M.T.; Peng, C.K.; Wang, H.Y.; Muggleton, N.G.; Juan, C.H.; Liang, W.K. The association of physical activity to neural adaptability during visuo-spatial processing in healthy elderly adults: A mulitscale entropy analysis. Brain Cogn. 2014, 92, 73–83. [Google Scholar] [CrossRef] [PubMed]
- Chen, C.Y.; Muggleton, N.G.; Tzeng, O.J.; Hung, D.L.; Juan, C.H. Control of prepotent responses by the superior medial frontal cortex. Neuroimage 2009, 44, 537–545. [Google Scholar] [CrossRef] [PubMed]
- Muggleton, N.G.; Chen, C.Y.; Tzeng, O.J.; Hung, D.L.; Juan, C.H. Inhibitory control and the frontal eye fields. J. Cogn. Neurosci. 2010, 22, 2804–2812. [Google Scholar] [CrossRef] [PubMed]
- Juan, C.H.; Muggleton, N.G. Brain stimulation and inhibitory control. Brain Stimul. 2012, 5, 63–69. [Google Scholar] [CrossRef] [PubMed]
- Huang, N.E.; Shen, Z.; Long, S.R.; Wu, M.C.; Shih, H.H.; Zheng, Q.; Yen, N.-C.; Tung, C.C.; Liu, H.H. The empirical mode decomposition and the Hilbert spectrum for nonlinear and non-stationary time series analysis. Proc. R. Soc. Lond. Ser. A 1998, 454, 903–995. [Google Scholar] [CrossRef]
- Costa, M.; Priplata, A.A.; Lipsitz, L.A.; Wu, Z.; Huang, N.E.; Goldberger, A.L.; Peng, C.K. Noise and poise: Enhancement of postural complexity in the elderly with a stochastic-resonance-based therapy. Europhys. Lett. 2007, 77, 68008. [Google Scholar] [CrossRef] [PubMed]
- Ho, Y.L.; Lin, C.; Lin, Y.H.; Lo, M.T. The prognostic value of non-linear analysis of heart rate variability in patients with congestive heart failure—A pilot study of multiscale entropy. PLoS ONE 2011, 6, e18699. [Google Scholar] [CrossRef] [PubMed]
- Park, C.; Kidmose, P.; Ungstrup, M.; Mandic, D.P. Time-Frequency Analysis of EEG Asymmetry using Bivariate Empirical Mode Decomposition. IEEE Trans. Neural Syst. Rehabil. Eng. 2011, 19, 366–373. [Google Scholar] [CrossRef] [PubMed]
- Labate, D.; Foresta, F.L.; Morabito, F.C.; Lay-Ekuakille, A.; Vergallo, P. Empirical mode decomposition vs. wavelet decomposition for the extraction of respiratory signal from single-channel ECG: A comparison. IEEE Sens. J. 2013, 13, 2666–2674. [Google Scholar] [CrossRef]
- Escudero, J.; Abasolo, D.; Hornero, R.; Espino, P.; Lopez, M. Analysis of electroencephalograms in Alzheimer’s disease patients with multiscale entropy. Physiol. Meas. 2006, 27, 1091–1106. [Google Scholar] [CrossRef] [PubMed]
- Takahashi, T.; Cho, R.Y.; Mizuno, T.; Kikuchi, M.; Murata, T.; Takahashi, K.; Wada, Y. Antipsychotics reverse abnormal EEG complexity in drug-naive schizophrenia: A multiscale entropy analysis. NeuroImage 2009, 51, 173–182. [Google Scholar] [CrossRef] [PubMed]
- Yang, A.C.; Wang, S.J.; Lai, K.L.; Tsai, C.F.; Yang, C.H.; Hwang, J.P.; Lo, M.T.; Huang, N.E.; Peng, C.K.; Fuh, J.L. Cognitive and neuropsychiatric correlates of EEG dynamic complexity in patients with Alzheimer’s disease. Prog. Neuropsychopharmacol. Biol. Psychiatry 2013, 47, 52–61. [Google Scholar] [CrossRef] [PubMed]
- Richman, J.S.; Moorman, J.R. Physiological time-series analysis using approximate entropy and sample entropy. Am. J. Physiol. Heart Circ. Physiol. 2000, 278, H2039–H2049. [Google Scholar] [PubMed]
- Van Veen, B.D.; van Drongelen, W.; Yuchtman, M.; Suzuki, A. Localization of brain electrical activity via linearly constrained minimum variance spatial filtering. IEEE Trans. Biomed. Eng. 1997, 44, 867–880. [Google Scholar] [CrossRef] [PubMed]
- Oostenveld, R.; Fries, P.; Maris, E.; Schoffelen, J.M. FieldTrip: Open source software for advanced analysis of MEG, EEG, and invasive electrophysiological data. Comput. Intell. Neurosci. 2011, 2011. [Google Scholar] [CrossRef] [PubMed]
- Maris, E.; Oostenveld, R. Nonparametric statistical testing of EEG- and MEG-data. J. Neurosci. Methods 2007, 164, 177–190. [Google Scholar] [CrossRef] [PubMed]
- Groppe, D.M.; Urbach, T.P.; Kutas, M. Mass univariate analysis of event-related brain potentials/fields II: Simulation studies. Psychophysiology 2011, 48, 1726–1737. [Google Scholar] [CrossRef] [PubMed]
- Benjamini, Y.; Hochberg, Y. Controlling the False Discovery Rate—A Practical and Powerful Approach to Multiple Testing. J. R. Stat. Soc. Ser. B 1995, 57, 289–300. [Google Scholar]
- Verbruggen, F.; Aron, A.R.; Stevens, M.A.; Chambers, C.D. Theta burst stimulation dissociates attention and action updating in human inferior frontal cortex. Proc. Natl. Acad. Sci. USA 2010, 107, 13966–13971. [Google Scholar] [CrossRef] [PubMed]
- Duann, J.R.; Ide, J.S.; Luo, X.; Li, C.S. Functional connectivity delineates distinct roles of the inferior frontal cortex and presupplementary motor area in stop signal inhibition. J. Neurosci. 2009, 29, 10171–10179. [Google Scholar] [CrossRef] [PubMed]
- Takahashi, T.; Cho, R.Y.; Murata, T.; Mizuno, T.; Kikuchi, M.; Mizukami, K.; Kosaka, H.; Takahashi, K.; Wada, Y. Age-related variation in EEG complexity to photic stimulation: A multiscale entropy analysis. Clin. Neurophysiol. 2009, 120, 476–483. [Google Scholar] [CrossRef] [PubMed]
- Anne, H.H. The Multiscale Entropy Algorithm and Its Variants: A Review. Entropy 2015, 17, 3110–3123. [Google Scholar]
- Morabito, F.C.; Labate, D.; la Foresta, F.; Bramanti, A.; Morabito, G.; Palamara, I. Multivariate Multi-Scale Permutation Entropy for Complexity Analysis of Alzheimer’s Disease EEG. Entropy 2012, 14, 1186–1202. [Google Scholar] [CrossRef]
- Ahmed, M.U.; Mandic, D.P. Multivariate Multiscale Entropy Analysis. IEEE Signal Process. Lett. 2012, 19, 91–94. [Google Scholar] [CrossRef]
- Mandic, D.P.; Rehman, N.U.; Wu, Z.; Huang, N.E. Empirical Mode Decomposition-Based Time-Frequency Analysis of Multivariate Signals: The Power of Adaptive Data Analysis. IEEE Signal Process. Lett. 2013, 30, 74–86. [Google Scholar] [CrossRef]
© 2015 by the authors; licensee MDPI, Basel, Switzerland. This article is an open access article distributed under the terms and conditions of the Creative Commons Attribution license (http://creativecommons.org/licenses/by/4.0/).
Share and Cite
Huang, S.-L.; Tseng, P.; Liang, W.-K. Dynamical Change of Signal Complexity in the Brain During Inhibitory Control Processes. Entropy 2015, 17, 6834-6853. https://doi.org/10.3390/e17106834
Huang S-L, Tseng P, Liang W-K. Dynamical Change of Signal Complexity in the Brain During Inhibitory Control Processes. Entropy. 2015; 17(10):6834-6853. https://doi.org/10.3390/e17106834
Chicago/Turabian StyleHuang, Shih-Lin, Philip Tseng, and Wei-Kuang Liang. 2015. "Dynamical Change of Signal Complexity in the Brain During Inhibitory Control Processes" Entropy 17, no. 10: 6834-6853. https://doi.org/10.3390/e17106834
APA StyleHuang, S.-L., Tseng, P., & Liang, W.-K. (2015). Dynamical Change of Signal Complexity in the Brain During Inhibitory Control Processes. Entropy, 17(10), 6834-6853. https://doi.org/10.3390/e17106834
