Effect of Suction Nozzle Pressure Drop on the Performance of an Ejector-Expansion Transcritical CO2 Refrigeration Cycle
Abstract
:1. Introduction
2. Thermodynamic Modeling
- (1)
- One dimensional steady flow for the working fluid in the system.
- (2)
- (3)
- Ignore the pressure loss in the heat exchangers and the pipes.
- (4)
- Saturated vapor and liquid at the outlet of the gas-liquid separator.
- (5)
- Expansion processes and compression processes are all adiabatic.
2.1. Energy Analysis
2.2. Exergy Analysis
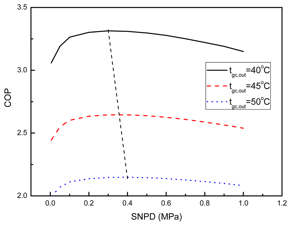
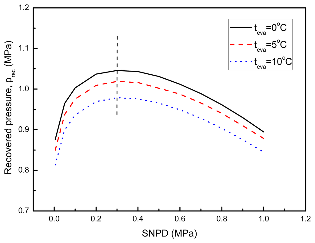
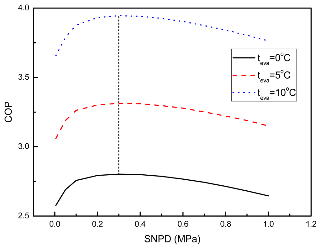
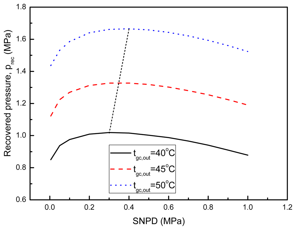
3. Results and Discussion
4. Conclusions
Acknowledgments
| Nomenclature | |
|---|---|
| COP | coefficient of performance in cooling condition |
| ex | exergy (kJ/kg) |
| h | enthalpy, kJ/kg |
| I | specific irreversibility (kJ/kg) |
| m | mass flow rate, kg/s |
| p | pressure, MPa |
| q | specific heat transfer rate, kJ/kg |
| SNPD | suction nozzle pressure drop, MPa |
| t | temperature, °C |
| T | temperature, K |
| v | velocity, m/s |
| w | specific power, kJ/kg |
| x | vapor quality |
| μ | entrainment ratio of ejector |
| η | efficiency |
| Subscripts | |
|---|---|
| 0 | reference environment |
| com | compressor |
| dif | diffuser |
| eva | evaporator |
| gc | gas cooler |
| mix | mixing chamber |
| mot | motive nozzle |
| r | refrigerated object |
| s | isentropic process |
| suc | suction nozzle |
| tot | total |
| tv | throttle valve |
Author Contributions
Conflicts of Interest
References
- Zhang, Z.; Ma, Y.; Li, M.; Zhao, L. Recent advances of energy recovery expanders in the transcritical CO2 refrigeration cycle. HVAC&R Res 2013, 19, 376–384. [Google Scholar]
- Elbel, S. Historical and present developments of ejector refrigeration systems with emphasis on transcritical carbon dioxide air-conditioning applications. Int. J. Refrig 2011, 34, 1545–1561. [Google Scholar]
- Elbel, S.; Hrnjak, P. Experimental validation of a prototype ejector designed to reduce throttling losses encountered in transcritical R744 system operation. Int. J. Refrig 2008, 31, 411–422. [Google Scholar]
- Lee, J.S.; Kim, M.S.; Kim, M.S. Experimental study on the improvement of CO2 air conditioning system performance using an ejector. Int. J. Refrig 2011, 34, 1614–1625. [Google Scholar]
- Liu, F.; Li, Y.; Groll, E.A. Performance enhancement of CO2 air conditioner with a controllable ejector. Int. J. Refrig 2012, 35, 1604–1616. [Google Scholar]
- Xu, X.X.; Chen, G.M.; Tang, L.M.; Zhu, Z.J. Experimental investigation on performance of transcritical CO2 heat pump system with ejector under optimum high-side pressure. Energy 2012, 44, 870–877. [Google Scholar]
- Nakagawa, M.; Marasigan, A.R.; Matsukawa, T.; Kurashina, A. Experimental investigation on the effect of mixing length on the performance of two-phase ejector for CO2 refrigeration cycle with and without heat exchanger. Int. J. Refrig 2011, 34, 1604–1613. [Google Scholar]
- Li, D.; Groll, E.A. Transcritical CO2 refrigeration cycle with ejector-expansion device. Int. J. Refrig 2005, 28, 766–773. [Google Scholar]
- Deng, J.-q.; Jiang, P.-x.; Lu, T.; Lu, W. Particular characteristics of transcritical CO2 refrigeration cycle with an ejector. Appl. Therm. Eng 2007, 27, 381–388. [Google Scholar]
- Fangtian, S.; Yitai, M. Thermodynamic analysis of transcritical CO2 refrigeration cycle with an ejector. Appl. Therm. Eng 2011, 31, 1184–1189. [Google Scholar]
- Zhang, Z.; Ma, Y.; Wang, H.; Li, M. Theoretical evaluation on effect of internal heat exchanger in ejector expansion transcritical CO2 refrigeration cycle. Appl. Therm. Eng 2013, 50, 932–938. [Google Scholar]
- Sarkar, J. Optimization of ejector-expansion transcritical CO2 heat pump cycle. Energy 2008, 33, 1399–1406. [Google Scholar]
- Bilir, N.; Ersoy, H.K. Performance improvement of the vapour compression refrigeration cycle by a two-phase constant area ejector. Int. J. Energy Res 2009, 33, 469–480. [Google Scholar]
- Yari, M. Performance analysis and optimization of a new two-stage ejector-expansion transcritical CO2 refrigeration cycle. Int. J. Therm. Sci 2009, 48, 1997–2005. [Google Scholar]
- Yari, M.; Mahmoudi, S. Thermodynamic analysis and optimization of novel ejector-expansion TRCC (transcritical CO2) cascade refrigeration cycles (Novel transcritical CO2 cycle). Energy 2011, 36, 6839–6850. [Google Scholar]
- Cen, J.; Liu, P.; Jiang, F. A novel transcritical CO2 refrigeration cycle with two ejectors. Int. J. Refrig 2012, 35, 2233–2239. [Google Scholar]
- Manjili, F.E.; Yavari, M.A. Performance of a new two-stage multi-intercooling transcritical CO2 ejector refrigeration cycle. Appl. Therm. Eng 2012, 40, 202–209. [Google Scholar]
- Li, H.; Cao, F.; Bu, X.; Wang, L.; Wang, X. Performance characteristics of R1234yf ejector-expansion refrigeration cycle. Appl. Energy 2014, 121, 96–103. [Google Scholar]
- Liao, S.M.; Zhao, T.S.; Jakobsen, A. A correlation of optimal heat rejection pressures in transcritical carbon dioxide cycles. Appl. Therm. Eng 2000, 20, 831–841. [Google Scholar]
- Klein, S.; Alvarado, F. Engineering Equation Solver; F-chart software: Middleton, WI, USA, 1996. [Google Scholar]









| Literatures | Year | Fluid | Selected Values of SNPD |
|---|---|---|---|
| Li and Groll [8] | 2005 | CO2 | SNPD = 0.01 MPa, 0.03 MPa, 0.05 MPa. The COP improvement of the ejector cycle increases with an increase in SNPD. SNPD was taken as 0.03 MPa during the cycle analysis. |
| Deng et al. [9] | 2007 | CO2 | SNPD = 0 MPa. |
| Sarkar [12] | 2008 | CO2 | SNPD = 0.03 MPa. |
| Bilir and Ersoy [13] | 2009 | R134a | The effect of SNPD on the performance of ejector-expansion refrigeration cycle was discussed. The calculated optimum SNPD was about 0.02 MPa. |
| Yari [14,15] | 2009/2011 | CO2 | SNPD = 0 MPa. |
| Sun and Ma [10] | 2011 | CO2 | SNPD = 0 MPa. |
| Cen et al.[16] | 2012 | CO2 | SNPD = 0.03 MPa. |
| Manjili and Yavari [17] | 2012 | CO2 | SNPD = 0 MPa. |
| Zhang et al. [11] | 2013 | CO2 | SNPD = 0 MPa. |
| Li et al.[18] | 2014 | R1234yf | The effect of SNPD on the performance of ejector-expansion refrigeration cycle was discussed. The calculated optimum SNPD was about 0.014 MPa. |
| Process | Basic cycle | Ejector | ||
|---|---|---|---|---|
| Exergy loss(kJ/kg) | Percentage (%) | Exergy loss(kJ/kg) | Percentage (%) | |
| Compression | 12.79 | 29.3 | 6.3 | 25.3 |
| Heat rejection | 9.541 | 21.9 | 5.777 | 23.2 |
| Ejector | - | - | 6.436 | 25.9 |
| Throttling | 15.03 | 34.5 | 0.8622 | 3.5 |
| Evaporation | 6.253 | 14.3 | 5.496 | 22.1 |
| Total | 43.62 | 100 | 24.87 | 100 |
| Exergy efficiency | 0.1157 | 0.1678 | ||
© 2014 by the authors; licensee MDPI, Basel, Switzerland This article is an open access article distributed under the terms and conditions of the Creative Commons Attribution license (http://creativecommons.org/licenses/by/3.0/).
Share and Cite
Zhang, Z.; Tian, L. Effect of Suction Nozzle Pressure Drop on the Performance of an Ejector-Expansion Transcritical CO2 Refrigeration Cycle. Entropy 2014, 16, 4309-4321. https://doi.org/10.3390/e16084309
Zhang Z, Tian L. Effect of Suction Nozzle Pressure Drop on the Performance of an Ejector-Expansion Transcritical CO2 Refrigeration Cycle. Entropy. 2014; 16(8):4309-4321. https://doi.org/10.3390/e16084309
Chicago/Turabian StyleZhang, Zhenying, and Lili Tian. 2014. "Effect of Suction Nozzle Pressure Drop on the Performance of an Ejector-Expansion Transcritical CO2 Refrigeration Cycle" Entropy 16, no. 8: 4309-4321. https://doi.org/10.3390/e16084309
APA StyleZhang, Z., & Tian, L. (2014). Effect of Suction Nozzle Pressure Drop on the Performance of an Ejector-Expansion Transcritical CO2 Refrigeration Cycle. Entropy, 16(8), 4309-4321. https://doi.org/10.3390/e16084309
