Co-Evolutionary Mechanisms of Emotional Bursts in Online Social Dynamics and Networks
Abstract
:1. Introduction
- Nonlinear dynamics underlies user activity. Beside ubiquitous circadian cycles [31], which are immediately related with user’s real life, the action-delay (or interactivity time) is another key property of human activity that, in an intricate way, combines offline and online events. In the empirical data, regularly a broad distribution of interactivity times is found, being one of the typical features of a given Web portal [10,32]; Furthermore, several prominent characteristics of stochastic point processes [33]—long-range correlations, self-organization, clustering of events or avalanching as well as the effects of (exogenous and endogenous) driving [34,35,36]—have been studied using the high-resolution empirical data [12,37,38];
- Contents exchanged in (text) messages, i.e., information and emotion, play a role in social dynamics. Each individual user with its online activity contributes to building up a social network, which then propagates the contents of future messages, information and emotion; consequently, often collective phenomena can be observed, e.g., bursts of emotional messages that involve many users [10,12,13,19,39,40,41,42,43].
2. Collective Behavior of Users on Blogs and IRC Channels
2.1. The Structure of Empirical Data of Chats and Blogs
- the dynamics of chats is fast. A user can post a message on the channel, where it can be viewed by all currently active users; alternatively, the message can be directed to another named user or to a Bot, whose response also may arrive either directly or via the channel. On the channel new messages posted within the current time window are exposed, where min corresponds to around 10 recently posted messages. Due to a quick progression of events, search for old messages is not common. The data that we consider here contain information about the user who posted a message and the user to whom the message was directed, as well as the posting time and annotated emotional content (arousal and valence) of each message. Temporal resolution is at one minute. Apart from the common subject of the channel, the contents and linguistic categories of the messages are not limited by the system. Note that these are often short messages.
- in Blogs, the pace of events is much lower than in the dynamics of chats. A limited number of users can insert main posts, whose subject categories are predetermined by the general policy. Then, a user can read the post, as well as currently existing comments on that post, and subsequently, may insert their own comment, relating it with the post itself or with a specific comment on that post. Recent posts appearing within the current time window are exposed, where days. However, search for older posts (and comments on them) is available and commonly occurs. Note that posts and comments often contain longer texts. In this work, we use a set of data collected from BBCblogs and Diggs. The data are annotated for emotional valence in the text of each message [12].
2.2. Two Classes of Online Social Networks from the Empirical Data

2.3. Fractal Structure of Bursting Processes with Emotional Messages in Blogs and Chats



3. Blogging by Emotional Agents: Structure of the Co-Evolutionary Model and Simulations
| control of | parameter & value | nature |
|---|---|---|
| individual maps | , , , | theoretical |
| users & posts | , , , days ⇒ | empirical |
| driving | empirical | |
| external influence | theoretical |

- Driving. Starting with an empty system, at each time step t we add new agents; these agents become immediately active, thus potentially triggering the action of other agents in future steps. Chosing as the empirical time series of new users (with respect to the beginning of the dataset), has the following advantages. Firstly, the empirical time series introduces the daily cycles, characteristic for human activity. The time series from ddDiggs dataset is given in Figure 5b. Secondly, the time bin of the empirical time series sets the physical meaning of time step in the simulations; therefore, this allows a comparison of the simulated and the empirical system as well as predictions of potential future events.
- Building influence. Agent’s activity—posting a new post or comment on an existing post—can influence emotional states of other agents who are linked to that post. The influence field for a particular agent i builds from all posts and/or comments posted within previous and current time step, to which the agent has a link . The arousal field is composed from the arousals of related comments, i.e.,Here, the network area of currently active posts is identified as post on which an activity occurred in two preceding time steps. and are the total arousal and the average valence of a post p, calculated from the comments in two preceding time steps, while is the number of all comments posted on it during that time period. represents the matrix elements of the network, i.e., if user i is connected with the active post p, while if there is no link between them at the time t when the fields are computed. Note that such links may appear as the system evolves. In Equation (2) the individual arousal fields is modified by (dis)similarity in agent’s actual valence, , and the valence of recent comments on the post, . The common field affects each active agent equally; it is given as a sum of arousals of all active posts. The valence field in Equation (6) acting on the agent i, as well as the corresponding common field , are also determined from the contributions of all active posts at time t. In this case, however, we take into account contributions from the positive and the negative comments separately; the neutral comments do not contribute to the valence field. Depending on the current emotional state of the agent, positive and negative fields can lead to different effects [60], in particular, positive (negative) state will be influenced more with negative (positive) field, and vice versa. Here we assume that both components influence user valence, but with different strength according to the following expression:where the valence polarity of the user i is given by , and is the number of positive/negative comments written on post p in the period . The normalization factor is defined as . Note that, in the absence of psychology-based arguments, the pre-factor 0.4 is chosen by formal reasons, i.e., to avoid a fast switching of the valence polarity (in the limiting cases: 0 or 1) as well as an artificial reduction of the phase space (if the value 0.5 is used). The mean-field contributions to the valence stem from the entire set of currently active posts , and are independent on how users are linked to them:However, the mean-field effects are perceived individually by each agent, depending on the polarity of agent’s current valence.
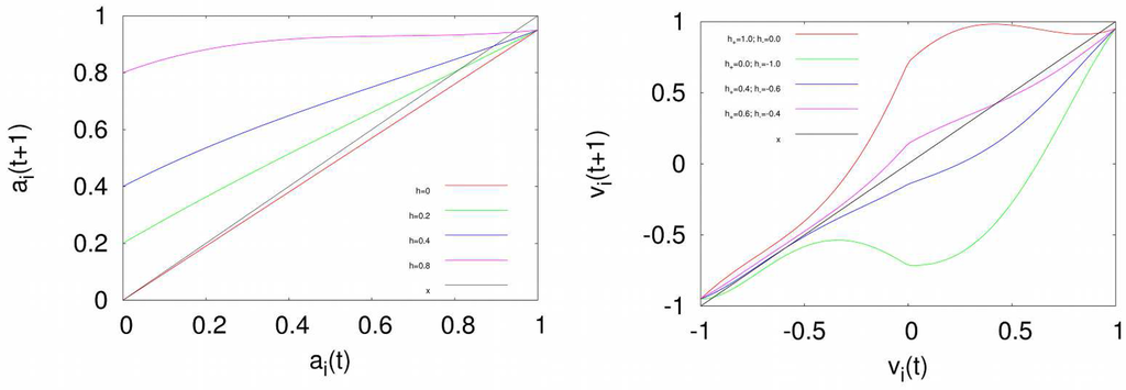
- Update of emotion variables. When the agent’s interactivity time since previous action expires, , the agent’s arousal and valence are updated taking into account influence of the above fields; meanwhile, the relaxation towards zero state applies with the rates and . The following nonlinear maps with polynomial nonlinearities are assumed [44,45,60]:The parameters of the nonlinear maps are selected as , to ensure additive actions of the influence fields. Other parameters are selected such that the maps cover a large area of the phase space when the fields vary within their typical values in the simulations. In particular, we use and and the fraction of the common-field influence. The situations corresponding to typical values of the fields are shown in Figure 6.

- High arousal triggers action. With a probability proportional to the agent’s updated arousal, the agent becomes active posting a new post or comment to one of the active posts in its neighbourhood on the network. In addition, with a small probability the agent searches for an older post and puts a new comment on that post too; thus, the old post with a new comment is brought to the exposure window again; the posts are selected preferentially according to the existing number of negative comments. The lifetime of posts is systematically updated. It is assumed that the agent’s current emotional state ( and ) is transfered into its posted comment.
- Rules & Implementation. The action rules which are described above are directly motivated by user activity on the empirical systems. The decision of an agent i to chose a post p between the exposed post is parametrized by the time-dependent probability , depending on the number of comments on that post and the valence similarity. Similarly, an old post is selected preferentially according to the negativity of the charge of all comments on it, with (properly normalized) probabilities , if the charge is negative, else . Lifetimes of posts are systematically updated, i.e., decreased by one at every time step (already expired posts are not considered). These rules, in association with the control parameters, are implemented in program code (see the Algorithm 1). More detailes can be found in [45].
| Algorithm 1 Pseudocode for Emotional Agents on the Emerging Bipartite Network | |
| 1: | INPUT: Parameters , , , ; Distributions , , ); start User List UL, Exposed Posts List EPL, New User List NUL, Prompted User List PUL, Active User List AUL; Exposed User List EUL; |
| 2: | for all do |
| 3: | for all do |
| 4: | relax user valence and arousal with the rate γ |
| 5: | end for |
| 6: | add new users to with , fix and set |
| 7: | for all do |
| 8: | and update with current MF term in Equation (5) and Equation (6) |
| 9: | move to AUL |
| 10: | end for |
| 11: | for all do |
| 12: | compute personal valence and arousal fields and update and according to Equation (5) and Equation (6) |
| 13: | with probability move to AUL |
| 14: | end for |
| 15: | for all do |
| 16: | with prob. post a new post k; fix its lifetime from the distribution |
| 17: | else with probability select a post p from EPL and make comment on it |
| 18: | with prob. μ select additional old post preferetially with and make comment on it |
| 19: | end for |
| 20: | Update Network connections ; Decrease lifetime of all existing posts by one |
| 21: | Update EPL |
| 22: | Update EUL |
| 23: | for all do |
| 24: | if set new based on |
| 25: | else |
| 26: | end for |
| 27: | for all do |
| 28: | if set new from |
| 29: | end for |
| 30: | Update PUL (all Users with ) |
| 31: | Update UL |
| 32: | Sampling temporal quantities |
| 33: | end for |
| 34: | AMPLING |
3.1. Blogging Dynamics and Emergence of Communities





4. Dynamics of Chats with Emotional Bots
4.1. Fractal Time Series Analysis of Chats in the Absence of Bots

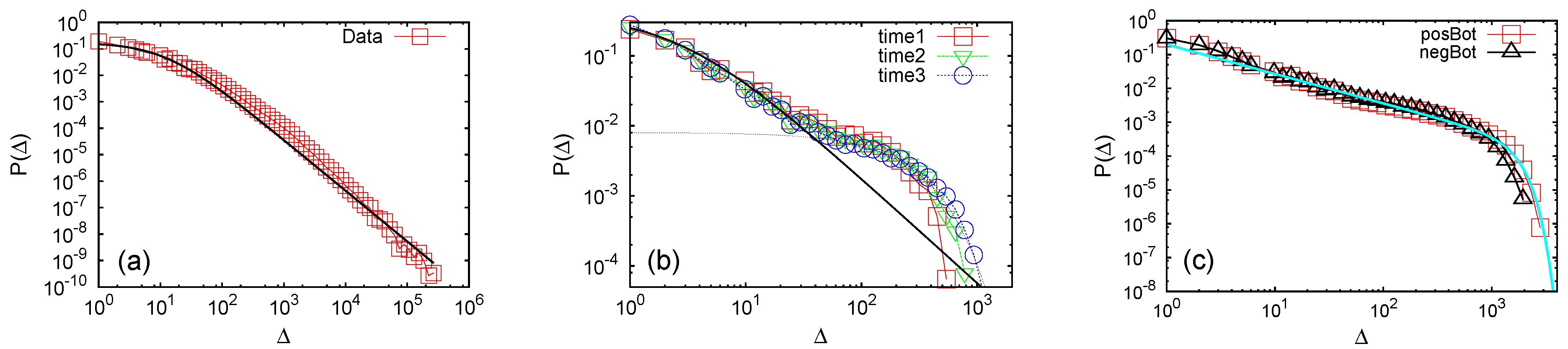
4.2. Response of Agents’ Network to the Activity of Emotional Bots
- Bots with a fixed emotion, e.g., “enthusiastic” (posBot), and “ashamed” (negBot); the Bots can interact with anyone of the agents who seek such interaction, according to the model rules; every message from the Bot to an agent carries Bot’s fixed emotion. The effects of these Bots will be studied in detail in Section 4.3.
- Experimental Bots ExpBot with a fluctuating but predominantly positive (negative) emotion and contact with a limited number of agents. Motivated by an experiment where the emotional Bot communicates with 91 isolated users [64], here we consider these experimental Bots as part of the agent’s networked environment [65]. Hence, we fix 91 agents with whom the Bot communicates by exchanging emotional messages. The Bot uses the same sequence of emotional messages (identified by their arousal and valence) to each of the 91 agents exactly as in the experiment. In contrast to the experimental situation, the agents in the numerical experiment can interact with other agents in the network. Moreover, their communication with the Bot is regulated with the rules of the model, i.e., they use accumulated emotional influence and respond with a time delay, etc. When a sequence of Bot’s messages is exhausted, it starts again from the beginning. The Bot remains emotionally neutral in communication with all other agents in the network.


4.3. Nonextensivity of the Emotion Dynamics
- Time series of avalanche sizes , where denotes successive avalanches obtained from the time series of all messages. Then the difference between sizes of successive avalanches or return of avalanche size is computed; the results are plotted on a histogram. The case of avalanches from empirical data and from simulated data in the presence of emotional Bots and inactive Bot are shown in Figure 15. For better comparison, in each panel, respectively, along x-axis we plot the deviation from its average value , normalized by the standard deviation σ of the respective time series. The curves in each panel are fitted by q-Gaussian distributions of Equation (13), with , which are listed in the caption of Figure 15.

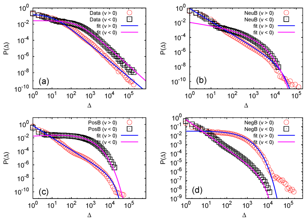
- Return times of trajectories to a specified section of the phase space. It serves as a suitable quantitative measure of the reduction of phase space in self-organized processes [7,68,79,80]. The distributions of return times are averaged over trajectories of all agents in the simulations. Considering the arousal and valence of all messages in the simulated data with silenced Bot and with two emotional Bots as well as in the messages of all users in the empirical data, the results for the return-time distributions which are shown in Figure 16a–c are obtained. In the case of the empirical data, the distributions are fitted with the q-exponential distribution Equation (12), with . It is interesting to note that, the distribution from the simulated data with a silenced Bot, in the region of small return times is fitted with the same expression. For long times, however, an exponential function fits the data, suggesting a larger amount of randomness in the simulated dynamics in comparison with the empirical data. On the other hand, when the emotional Bots are present, the entire distribution is modified and can be approximated by a power-law distribution with an exponential cut-off, cf. Figure 16c.

- Furthermore, when the messages carrying positive and negative emotions are considered separately, the return times to the respective phase space sections differ already in the empirical data. Specifically, the distribution in the case of messages with negative emotion valence has a larger cut-off length , compared with , for the positive emotion; on the other hand, the tails have similar slopes (within numerical error bars), leading to and for the positive and negative section of the phase space, respectively. The results are shown in Figure 17a. However, in the presence of emotional Bots, the return time distributions differ considerably, depending on the polarity of messages with respect to the Bot’s emotion. In particular, when the positive Bot is present, the return time distribution of positive emotion messages exhibits a power-law decay; on the other hand, the negative messages rather reflect a random process, compatible with an exponential distribution, cf. Figure 17c. Exactly the opposite situation is found in the case of the negative Bot, which is shown in Figure 17d. The situation with an emotionally neutral Bot is depicted inFigure 17b. In this case the differences between positive and negative valence areas are smaller, but the overall tendency resembles the case with the positive Bot.
- The q-generalized Kolmogorov-Sinai entropy rate of Equation (14), is determined by computing the generalized entropy via Equation (11) for a fixed q and a given partition of the phase space. Then, by varying the parameter q, the rate by which the entropy increases per time step is determined as the slope of the curve vs. t, see Figure 18. Following [1,78], the value of at which the growth becomes linear (i.e., entropy extensive) is determined. Precisely, assuming a polynomial dependence of entropy, , in the time interval , the nonlinear coefficient can be found as . Then corresponds to the point where vanishes, as it is shown in the insets to Figure 18. Note that the values are obtained both in the case of empirical data and data from agent-based simulations, suggesting strong non-additivity of the entropy in the dynamics of emotional chats.


5. Summary and Conclusions
- Excessive-negativity—Popularity—Local-communities: These mechanisms arise in the conditions of indirect interaction between users, which are mediated by posted texts; they involve excessive use of negative emotions (critique), which power the evolution of communities; the self-organized process is highly persistent and it is distinguished by strong clusterings of emotional events; spontaneous breaking into communities occur, leading to popularity of certain posts, which can be tuned by varying the level of external influence;
- High-arousal—Susceptibility—Global-hierarchy: Such mechanisms are characteristic for knowledge sharing dynamics via direct contacts between users. Disparity on the level of knowledge (activity) between users inevitably leads to a hierarchical structure of connections. The process is self-organized but with a moderate persistence and subcritical avalanches; emotional commitment with a high arousal is relevant. However, typically balanced positive and negative emotional valence, together with the hierarchical structure of the network, makes the system highly susceptible for external emotional influence or activity of Bots.
| ddDiggs data popular posts | ABM blogging by emotional agents | Ubuntu channel data of online chats | ABM emotional chats with a neutral Bot | |
| 0.93(7) | 1.18(11) | 0.66(2) | 0.84(6) | |
| 0.77(8) | 1.25(11) | 0.55(2) | 1.06(8) | |
| 0.84(8) | 0.80(11) | 0.50(2) | 1.19(8) | |
| 1.035(3) | 0.854(3) | 0.796(5) | 0.907(1) | |
| 0.901(3) | 0.775(3) | 0.834(2) | 0.942(2) | |
| 0.966(2) | 0.809(5) | 0.825(3) | 0.971(2) |
Acknowledgments
Conflicts of Interest
References
- Pressé, S.; Ghosh, K.; Lee, J.; Dill, K.A. Principles of maximum entropy and maximum caliber in statistical physics. Rev. Mod. Phys. 2013, 85, 1115–1141. [Google Scholar] [CrossRef]
- Tsallis, C. The nonadditive entropy sq and its applications in physics and elsewhere: Some remarks. Entropy 2011, 13, 1765–1804. [Google Scholar] [CrossRef]
- Bialek, W.; Nemenman, I.; Tishby, N. Complexity through nonextensivity. Physica A 2001, 302, 89–99. [Google Scholar] [CrossRef]
- Tsallis, C. Introduction to Nonextensive Statistical Mechanics : Approaching A Complex World; Springer: New York, NY, USA, 2009. [Google Scholar]
- Hanel, R.; Thurner, S.; Gell-Mann, M. Generalized entropies and logarithms and their duality relations. Proc. Natl. Acad. Sci. USA 2012, 109, 19151–19154. [Google Scholar] [CrossRef] [PubMed]
- Hanel, R.; Thurner, S. A comprehensive classification of complex statistical systems and an ab initio derivation of their entropy and distribution functions. Eur. Lett. 2011, 93, 20006. [Google Scholar] [CrossRef]
- Hanel, R.; Thurner, S. When do generalized entropies apply? How phase space volume determines entropy. Eur. Lett. 2011, 96, 50003. [Google Scholar] [CrossRef]
- Gell-Mann, M.; Tsallis, C. (Eds.) Nonextensive Entropy : Interdisciplinary Applications; Oxford University Press: Oxford, UK, 2004.
- Zaripov, R.G. Group, geometry and algebra of nonextensive entropies in complex systems. J. Phys. Conf. 2012, 394, 012001. [Google Scholar] [CrossRef]
- Mitrović, M.; Tadić, B. Bloggers behavior and emergent communities in blog space. Eur. Phys. J. B 2010, 73, 293–301. [Google Scholar] [CrossRef]
- Dodds, P.; Harris, K.; Koloumann, I.; Bliss, C.; Danforth, C. Temporal patterns of happiness and information in a global social network: Hedonometric and Twitter. 2011, arXiv:1101.5120v3. [Google Scholar]
- Mitrović, M.; Paltoglou, G.; Tadić, B. Quantitative analysis of bloggers’ collective behavior powered by emotions. J. Stat. Mech. Theor. Exp. 2011, 2011, P02005. [Google Scholar] [CrossRef]
- Chmiel, A.; Sobkowicz, P.; Sienkiewicz, J.; Paltoglou, G.; Buckley, K.; Thelwall, M.; Holyst, J. Negative emotions boost user activity at BBC forum. Physica A 2011, 390, 29362944. [Google Scholar] [CrossRef]
- Szell, M.; Thurner, S. Measuring social dynamics in a massive multiplayer online game. Soc. Networks 2010, 32, 313–329. [Google Scholar] [CrossRef]
- Szell, M.; Lambiotte, R.; Thurner, S. Multirelational organization of large-scale social networks. Proc. Natl. Acad. Sci. USA 2010, 107, 13636–13641. [Google Scholar] [CrossRef] [PubMed]
- Šuvakov, M.; Mitrović, M.; Gligorijević, V.; Tadić, B. How the online social networks are used: Dialogues-based structure of MySpace. J. R. Soc. Inter. 2012, 10, 20120819. [Google Scholar] [CrossRef] [PubMed]
- Ferrara, E.; Meo, P.D.; Fiumara, G.; Provetti, A. The role of strong and weak ties in facebook: A community structure perspective. 2012, arXiv:1203.0535. [Google Scholar]
- González-Bailón, S.; Borge-Holthoefer, J.; Rivero, A.; Moreno, Y. The dynamics of protest recruitment through an online network. Sci. Rep. 2011, 1, No. 197. [Google Scholar] [CrossRef] [PubMed]
- Gligorijević, V.; Skowron, M.; Tadić, B. Structure and stability of online chat networks built on emotion-carrying links. Physica A 2013, 392, 538–543. [Google Scholar] [CrossRef] [Green Version]
- Calvo, R.; D’Mello, S. Affect detection: An interdisciplinary review of models, methods, and their applications. IEEE Trans. Affect. Comput. 2010, 1, 18–37. [Google Scholar] [CrossRef]
- Fortuna, B.; Grobelnik, M.; Mladenic, D. OntoGen. Available online: http://ontogen.ijs.si/ (accessed on 4 October 2013).
- Paltoglou, G.; Gobron, S.; Skowron, M.; Thelwall, M.; Thalmann, D. Sentiment Analysis of Informal Textual Communication in Cyberspace; Springer LNCS State-of-the-Art Survey; Springer: Heidelberg, Germany, 2010; pp. 13–23. [Google Scholar]
- Paltoglou, G.; Theunis, M.; Kappas, A.; Thelwall, M. Prediction of valence and arousal in forum discussions. IEEE Trans. Affect. Comput. 2011, 4, 106–115. [Google Scholar] [CrossRef]
- Coan, J.A.; Allen, J.J.B. (Eds.) The Handbook of Emotion Elicitation and Assessment; Series in Affective Science; Oxford University Press: Oxford, UK, 2007.
- Russell, J.A. A circumplex model of affect. J. Pers. Soc. Psychol. 1980, 39, 1161–1178. [Google Scholar]
- Grujić, J.; Mitrović, M.; Tadić, B. Mixing Patterns and Communities on Bipartite Graphs on Web-Based Social Interactions. In Proceedings of 16th International Conference on Digital Signal Processing, Santorini, Greece, 5–7 July 2009; pp. 1–8.
- Mitrović, M.; Paltoglou, G.; Tadić, B. Networks and emotion-driven user communities at popular blogs. Eur. Phys. J. B 2010, 77, 597–609. [Google Scholar]
- Mitrović, M.; Tadić, B. Emergence and Structure of Cybercommunities. In Handbook of Optrimization in Complex Networks: Theory and Applications; Thai, M.M., Pardalos, P., Eds.; Springer: Berlin, Germany, 2012; pp. 209–227. [Google Scholar]
- Gligorijević, V.; Skowron, M.; Tadić, B. Directed Networks of Online Chats: Content-Based Linking and Social Structure. In Proceedings of 8th International Conference on Signal Image Technology and Internet Based Systems (SITIS), Naples, Italy, 25–29 November 2012; pp. 725–730.
- Gligorijević, V.; Šuvakov, M.; Tadić, B. Building Social Networks of Online Chats with Users, Agents and Bots. In Complex Networks and their Applicatiobs (SITIS 2012); Cherifi, H., Ed.; Cambridge Scholars Publishing: Newcastle, UK, 2013; pp. 251–274. [Google Scholar]
- Malmgren, R.D.; Stouffer, D.B.; Campanharo, A.S.L.O.; Amaral, L.A. On universality in human correspondence activity. Science 2009, 325, 1696–1700. [Google Scholar] [CrossRef] [PubMed]
- Vázquez, A.; Oliveira, J.G.; Dezsö, Z.; Goh, K.I.; Kondor, I.; Barabási, A.L. Modeling bursts and heavy tails in human dynamics. Phys. Rev. E 2006, 73, 036127. [Google Scholar] [CrossRef] [PubMed]
- Lowen, S.; Teich, M. Estimation and simulation of fractal stochastic point processes. Fractals 1995, 3, 183–210. [Google Scholar] [CrossRef]
- Tadić, B. Nonuniversal scaling behavior of barkhausen noise. Phys. Rev. Lett. 1996, 77, 3843–3846. [Google Scholar] [CrossRef] [PubMed]
- Spasojević, D.; Bukvić, S.; Milošević, S.; Stanley, G. Barkhausen noise: Elementary signals, power laws, and scaling relations. Phys. Rev. E 1996, 54, 2531–2546. [Google Scholar] [CrossRef]
- Dhar, D. Theoretical studies of self-organized criticality. Physica A 2006, 369, 29–70. [Google Scholar] [CrossRef]
- Thurner, S.; Szell, M.; Sinatra, R. Emergence of good conduct, scaling and zipf laws in human behavioral sequences in an online world. PLoS One 2012, 7, e29796. [Google Scholar] [CrossRef] [PubMed]
- Tadić, B.; Šuvakov, M. Can human-like bots control Collective mood: Agent-based simulations of online chats. J. Stat. Mech. Theor. Exp. 2013. [Google Scholar] [CrossRef]
- Fowler, J.H.; Christakis, N.A. Dynamic spread of happiness in a large social network: Longitudinal analysis over 20 years in the Framingham Heart Study. Br. Med. J. 2008, 337, a2338. [Google Scholar]
- Dodds, P.; Danforth, C. Measuring the happiness of large-scale written expression: Songs, blogs, and presidents. J. Happiness Stud. 2009, 11, 441–456. [Google Scholar] [CrossRef]
- Johnson, N.F.; Xu, C.; Zhao, Z.; Ducheneaut, N.; Yee, N.; Tita, G.; Hui, P.M. Human group formation in online guilds and offline gangs driven by a common team dynamic. Phys. Rev. E 2009, 79, 066117. [Google Scholar] [CrossRef] [PubMed]
- Giles, M. A world of connections—A special report on social networking. The Economist 2010, 16. [Google Scholar]
- Gonzalez-Bailon, S.; Banchs, R.; Kaltenbrunner, A. Emotional reactions and the pulse of public opinion: Measuring the impact of political events on the sentiment of online discussions. 2010, arXiv:1009.4019. [Google Scholar]
- Mitrović, M.; Tadić, B. Patterns of emotional blogging and emergence of communities: Agent-based model on bipartite networks. 2011, arXiv.org/abs/1110.5057. [Google Scholar]
- Mitrović, M.; Tadić, B. Dynamics of bloggers’ communities: Bipartite networks from empirical data and agent-based modeling. Physica A 2012, 391, 5264–5278. [Google Scholar] [CrossRef]
- Šuvakov, M.; Garcia, D.; Schweitzer, F.; Tadić, B. Agent-based simulations of emotion spreading in online social networks. 2012, arXiv.org/abs/1205.6278. [Google Scholar]
- Šuvakov, M.; Tadić, B. Agent-based simulations of online chats with moderators and emotional Bots. 2013. in preparation. [Google Scholar]
- Bogojević, A.; Balaž, A.; Belić, A. Scaling exponents and phase separation in a nonlinear network model inspired by the gravitational accretion. Physica D 2013, 255, 52–57. [Google Scholar] [CrossRef] [Green Version]
- Krioukov, D.; Kitsak, M.; Sinkovits, R.S.; Rideout, D.; Meyer, D.; Boguña, M. Network cosmology. Sci. Rep. 2012, 2. [Google Scholar] [CrossRef] [PubMed]
- Živković, J.; Tadić, B. Nanonetworks: The graph theory framework for nanoscale systems. Nanoscale Sys. Math. Mod. Theory Appl. 2013, 2, 30–48. [Google Scholar] [CrossRef]
- Šuvakov, M.; Tadić, B. Topology of Cell-Aggregated Planar Graphs; Alexandov, V.N., van Albada, G.D., Sloot, P.M.A., Dongarra, J., Eds.; Lecture Notes in Computer Science Part III; Springer: New York, NY, USA, 2006; Volume 3993, pp. 1098–1105. [Google Scholar]
- Szell, M.; Thurner, S. Measuring social dynamics in a massive multiplayer online game. Soc. Networks 2010, 32, 313–329. [Google Scholar] [CrossRef]
- Guimerà, R.; Danon, L.; Díaz-Guilera, A.; Giralt, F.; Arenas, A. Self-similar community structure in a network of human interactions. Phys. Rev. E 2003, 68, 065103. [Google Scholar] [CrossRef] [PubMed]
- Onela, J.; Saramaki, J.; Hyvönen, J.; Szabo, G.; de Menezes, M.; Kaski, K.; Barabási, A.L.; Kertesz, J. Analysis of large-scale weighted networks of one-to-one human communications. New J. Phys. 2007, 9. [Google Scholar] [CrossRef]
- Cattuto, C.; Barrat, A.; Baldassarri, A.; Schehr, G.; Loreto, V. Collective dynamics of social annotation. Proc. Natl. Acad. Sci. USA 2009, 106, 10511–10515. [Google Scholar] [CrossRef] [PubMed]
- Ugander, J.; Karrer, B.; Backstrom, L.; Marlow, C. The anatomy of the facebook social graph. 2011, arXiv:1111.4503v1. [Google Scholar]
- Mitrović, M.; Tadić, B. Spectral and dynamical properties in classes of sparse networks with mesoscopic inhomogeneities. Phys. Rev. E 2009, 80, 026123. [Google Scholar] [CrossRef] [PubMed]
- Hu, J.; Gao, J.; Wang, X. Multifractal analysis of sunspot time series: The effects of the 11-year cycle and Fourier truncation. J. Stat. Mech. Theor. Exp. 2009, 2009, P02066. [Google Scholar] [CrossRef]
- Tadić, B. Modeling Behavior of Web Users as Agents with Reason and Sentiment. In Advances in Computational Modeling Research: Theory, Developments and Applications; Kora, A.B., Ed.; Novapublishing: New York, NY, USA, 2013; pp. 177–186. [Google Scholar]
- Schweitzer, F.; Garcia, D. An agent-based model of collective emotions in online communities. Eur. Phys. J. B 2010, 77, 533–545. [Google Scholar] [CrossRef]
- Dorogovtsev, S.N.; Goltsev, A.V.; Mendes, J.F.; Samukhin, A.N. Spectra of complex networks. Phys. Rev. E 2003, 68, 046109. [Google Scholar] [CrossRef] [PubMed]
- Scherer, K. What are emotions? And how can they be measured? Soc. Sci. Inf. 2005, 44, 695–729. [Google Scholar] [CrossRef]
- Ahn, J.; Gobron, S.; Silvestre, Q.; Thalmann, D. Asymmetrical Facial Expressions Based on an Advanced Interpretation of Two-dimensional Russell’s Emotional Model. In Proceedings of ENGAGE 2010, Zermatt, Switzerland, 13–15 September 2010.
- Skowron, M.; Rank, S.; Theunis, M.; Sienkiewicz, J. The Good, the Bad and the Neutral: Affective Profile in Dialog System-User Communication. In Proceedings of the 4th International Conference on Affective Computing and Intelligent Interaction, Memphis, TN, USA, 9–12 October 2011; Springer: Berlin/Heidelberg, Germany, 2011; Volume Part I, ACII’11, pp. 337–346. [Google Scholar]
- Tadić, B.; Gligorijević, V.; Skowron, M.; Šuvakov, M. The dynamics of emotional chats with Bots: Experiment and agent-based simulations. 2013. prepared for submission. [Google Scholar]
- Lee, K.M.; Kim, J.Y.; Cho, W.K.; Goh, K.I.; Kim, I.M. Correlated multiplexity and connectivity of multiplex random networks. New J. Phys. 2012, 14, 033027. [Google Scholar] [CrossRef]
- Cardillo, A.; Gómez-Gardeñes, J.; Zanin, M.; Romance, M.; Papo, D.; del Pozo, F.; Boccaletti, S. Emergence of network features from multiplexity. Sci. Rep. 2013, 3. [Google Scholar] [CrossRef] [PubMed]
- Tsallis, C. Entropic nonextensivity: A possible measure of complexity. Chaos Soliton. Fract. 2002, 13, 371–391. [Google Scholar] [CrossRef]
- Tsallis, C. Nonextensive statistical mechanics, anomalous diffusion and central limit theorems. Milan J. Math. 2005, 73, 145–176. [Google Scholar] [CrossRef]
- Thurner, S. Statistical Mechanics of Complex Networks. In Structural Analysis of Complex Networks: From Biology to Linguistics; Dehmer, M., Emmert-Streib, F., Eds.; Wiley: New York, NY, USA, 2009; pp. 23–45. [Google Scholar]
- Soares, D.J.B.; Tsallis, C.; Mariz, A.M.; Silva, L.R.D. Preferential attachment growth model and nonextensive statistical mechanics. Eur. Lett. 2005, 70, 70–76. [Google Scholar] [CrossRef]
- Caruso, F.; Pluchino, A.; Latora, V.; Vinciguerra, S.; Rapisarda, A. Analysis of self-organized criticality in the Olami-Feder-Christensen model and in real earthquakes. Phys. Rev. E 2007, 75, 055101. [Google Scholar] [CrossRef] [PubMed]
- Thurner, S.; Hanel, R. The entropy of non-ergodic complex systems—a derivation from first principles. Int. J. Mod. Phys. 2012, 16, 105–115. [Google Scholar] [CrossRef]
- Thurner, S.; Kyriakopoulos, F.; Tsallis, C. Unified model for network dynamics exhibiting nonextensive statistics. Phys. Rev. E 2007, 76, 036111. [Google Scholar] [CrossRef] [PubMed]
- Thurner, S.; Tsallis, C. Nonextensive aspects of self-organized, scale-free, gas-like networks. Eur. Lett. 2005, 72, 197–203. [Google Scholar] [CrossRef]
- van Beijeren, H.; Dorfman, J.R.; Posch, H.A.; Dellago, C. Kolmogorov-Sinai entropy for dilute gases in equilibrium. Phys. Rev. E 1997, 56, 5272–5277. [Google Scholar] [CrossRef]
- Eckmann, J.P.; Ruelle, D. Ergodic theory of chaos and strange attractors. Rev. Mod. Phys. 1985, 57, 617–656. [Google Scholar] [CrossRef]
- Tirnakli, U.; Ananos, G.F.; Tsallis, C. Generalization of the Kolmogorov-Sinai entropy: logistic-like and generalized cosine maps at the chaos threshold. Phys. Lett. A 2001, 289, 51–58. [Google Scholar] [CrossRef]
- Tsallis, C.; Brigatti, E. Nonextensive statistical mechanics: A brief introduction. Continuum Mech. Therm. 2004, 16, 223–235. [Google Scholar] [CrossRef]
- Levnajić, Z.; Tadić, B. Self-organization in trees and motifs of two-dimensional chaotic maps with time delay. J. Stat. Mech. Theor. Exp. 2008, 2008, P03003. [Google Scholar] [CrossRef]
© 2013 by the authors; licensee MDPI, Basel, Switzerland. This article is an open access article distributed under the terms and conditions of the Creative Commons Attribution license (http://creativecommons.org/licenses/by/3.0/).
Share and Cite
Tadić, B.; Gligorijević, V.; Mitrović, M.; Šuvakov, M. Co-Evolutionary Mechanisms of Emotional Bursts in Online Social Dynamics and Networks. Entropy 2013, 15, 5084-5120. https://doi.org/10.3390/e15125084
Tadić B, Gligorijević V, Mitrović M, Šuvakov M. Co-Evolutionary Mechanisms of Emotional Bursts in Online Social Dynamics and Networks. Entropy. 2013; 15(12):5084-5120. https://doi.org/10.3390/e15125084
Chicago/Turabian StyleTadić, Bosiljka, Vladimir Gligorijević, Marija Mitrović, and Milovan Šuvakov. 2013. "Co-Evolutionary Mechanisms of Emotional Bursts in Online Social Dynamics and Networks" Entropy 15, no. 12: 5084-5120. https://doi.org/10.3390/e15125084
APA StyleTadić, B., Gligorijević, V., Mitrović, M., & Šuvakov, M. (2013). Co-Evolutionary Mechanisms of Emotional Bursts in Online Social Dynamics and Networks. Entropy, 15(12), 5084-5120. https://doi.org/10.3390/e15125084
