Next Article in Journal
Modeling Time’s Arrow
Previous Article in Journal
Application of Solution NMR Spectroscopy to Study Protein Dynamics
 
 
Font Type:
Arial Georgia Verdana
Font Size:
Aa Aa Aa
Line Spacing:
Column Width:
Background:
Article

Thermodynamic Modelling of an Ejector with Compressible Flow by a One-Dimensional Approach

by
Yveline Marnier Antonio
,
Christelle Périlhon
,
Georges Descombes
* and
Claude Chacoux
Laboratoire de génie des procédés pour l’environnement, l’énergie et la santé, LGP2ES-EA21, Cnam, case 2D3P20, 292 rue Saint Martin, 75141 Paris cedex 03, France
*
Author to whom correspondence should be addressed.
Deceased
Entropy 2012, 14(4), 599-613; https://doi.org/10.3390/e14040599
Submission received: 10 January 2012 / Revised: 9 March 2012 / Accepted: 12 March 2012 / Published: 23 March 2012

Abstract

:
The purpose of this study is the dimensioning of the cylindrical mixing chamber of a compressible fluid ejector used in particular in sugar refineries for degraded vapor re-compression at the calandria exit, during the evaporation phase. The method used, known as the “integral” or “thermodynamic model”, is based on the model of the one-dimensional isentropic flow of perfect gases with the addition of a model of losses. Characteristic curves and envelope curves are plotted. The latter are an interesting tool from which the characteristic dimensions of the ejector can be rapidly obtained for preliminary dimensioning (for an initial contact with a customer for example). These ejectors, which were specifically designed for the process rather than selected from a catalog of standard devices, will promote energy saving.

1. Introduction

A jet ejector is a device which uses the kinetic energy of a driving fluid, injected under pressure by a convergent or convergent-divergent nozzle into a zone of lower pressure, to suck in and entrain a secondary fluid with low pressure (of a comparable or different nature) and to compress the mixed flow thus obtained to the desired intermediate pressure [1].
Some specialized companies produce tailor-made devices for the food processing industry (distillation plants, sugar refineries), for the desalination of sea water, and for oil. Manufacturers have more or less detailed catalogs of standard devices. In addition to basic theoretical methods, they possess the requisite know-how and experience to obtain the desired performance.
In this study, we present a method to define the ejectors so as to enhance their adaptation to the process concerned and thus to achieve increased energy saving. The application considered here is the sugar refinery process. We will focus more particularly on compressible fluid ejectors with a cylindrical mixing chamber and we will present their dimensioning by the method known as the integral method.

2. Brief Literature Survey

The literature on ejectors is extensive. Eames [2], for example, proposed a new formulation of the equation of momentum applied to the modeling of a supersonic jet ejector pump. Eames [3] also conducted an experimental and analytical study of a steam ejector refrigeration machine. Fan et al. [4] proposed a compressible fluid CFD model of a jet in an ejector pump. Rogdakis and Alexis [5] carried out a 1D analytical study to characterize the performance of an ejector system used for air conditioning, and in a complementary study [6] they investigated an ejector design using a two-phase mixture NH3-H2O based on the theory of Keenan et al.
A major contribution was made by Gilbert and Hill [7] in their 2D characterization of a variable geometry jet exhaust in terms of pressure and flow velocity distribution. Deberne et al. [8] proposed a numerical description of a 1D steam injector comprising a supersonic layer in the jet. Sobieski [9] developed a CFD analysis based on the compressible fluid description of a 2D air flow, but noted that the simulation results were not fully validated by experimental results (due to the lack of appropriate models of turbulence and mixing in the code used).
Finally, the thesis by Watanawanavet [10] mainly concerns a CFD analysis of energy conversion efficiency in an ejector as a function of its geometry. However, the literature remains sparse for the application considered in this article. This broad study is therefore devoted to sugar refineries and based on a craft approach validated by several hundred cases.

3. Context

The integral method used in this study is based on the model of a one-dimensional isentropic flow of perfect gases. It considers the characteristics of the driving and induced fluids at the mixing chamber inlet and the characteristics of the mixture at the mixing chamber exit, while including initial assumptions [11,12].
When ordering an ejector, the customer specifies the total pressures P1 of the motive fluid and P2 of the induced fluid, the associated total temperatures T1, T2, the entrainment ratio q2/q1 (driving flow/induced flow) or the total outlet pressure Pr3 (Figure 1). The designer defines the Mach number M2 of the induced flow to obtain the best performance.
For certain applications, the customer requires a given outlet pressure Pr3, in which case the designer calculates the entrainment ratio q2/q1 or vice versa. In this study, we have imposed the entrainment ratio q2/q1.
We will therefore have to calculate the outlet pressure Pr3 to which a model of pressure loss F3 (related to the design and scale of the device considered) will be attributed by the designer based on his experience.
The calculation of Pr3 will then enable the dimensions of the mixing chamber to be determined by calculating its section S3 as well as the other dimensions of the ejector, which are beyond the scope of this study. The calculated section S3 of the mixing chamber is a function of the ejector operating conditions, in particular of P1, T1, P2, T2, but also of q1, q2 and Pr3.
Figure 1. Diagram of the studied ejector specifying the notations at the various points.
Figure 1. Diagram of the studied ejector specifying the notations at the various points.
Entropy 14 00599 g001
As a concrete example, Figure 2 shows a tailor-made steam-ejector designed for the sugar refinery in Wanze (Belgium) with the following characteristics.
Figure 2. Example of a tailor-made ejector.
Figure 2. Example of a tailor-made ejector.
Entropy 14 00599 g002
Driving stream
Total pressure: P1 = 3.5 MPa
Total temperature: T1 = 663 K (390°C)
Driving flow: q1 = 7.5 kg/s (27 ton/hour)
Induced stream
Total pressure: P2 = 0.24 MPa
Induced flow: q2 = 36.1 kg/s (130 ton/hour)
Entrainment ratio (driving flow/induced flow): q2/q1 = 4.814
Mix
Total outlet pressure: Pr3 = 0.27 MPa (absolutes)
These devices are thus adapted to the specific conditions of each company. In sugar refineries, the ejectors are used during the evaporation stage (Figure 3) to increase the pressure level of the vapor mists produced at the exit of the calandrias, thus reducing the energy requirement. It is static compression.
Figure 3. General diagram of an evaporator with use of an ejector.
Figure 3. General diagram of an evaporator with use of an ejector.
Entropy 14 00599 g003

2. Theoretical Thermodynamic Model

The integral calculation method is based on the laws of dynalpy conservation (I = pS + qV) in the mixing chamber, of mass and energy conservation between the streams inlet and the mixed flow outlet.
The mixture is assumed to be complete on the outlet side of the mixing chamber and a total pressure loss corresponding to that of the mixing chamber and the diffuser is taken into account. This leads to a model of pressure loss (F3) which is dependent on the design and scale of the device considered. This method, which involves implementing Fanno and Rayleigh curves [13], is the most direct but requires experience with various devices to determine the pressure loss model F3.

2.1. Basic Equations Used

The basic equations used to determine the computation formulae are presented on Figure 4 and are detailed hereafter. They are valid in compressible and incompressible fluids.
Figure 4. Basic equations used.
Figure 4. Basic equations used.
Entropy 14 00599 g004
Subscripts 1 and 2 are used respectively for the driving and the induced fluids in the mixing chamber inlet, and subscript 3 for the mixture on the outlet side of the mixing chamber. Total quantities are in capital letters and static quantities in lower case.

2.1.1. Continuity Equation:

q3 = q1 + q2
with q = ρSV

2.1.2. Momentum Equation (or dynalpy conservation):

p1S1 + q1V1 + p2S2 + q2V2 = p3S3 + q3V3 = I

2.1.3. Energy Equation

q1H1 +q2H2 = q3H3
The fluids are now assumed to be perfect gases:
q 1 c p 1 T 1 + q 2 c p 2 T 2 = q 3 c p 3 T 3
q 1 ( c p 1 t 1 + V 1 2 2 ) + q 2 ( c p 2 t 2 + V 2 2 2 ) = q 3 ( c p 3 t 3 + V 3 2 2 )

2.2. Calculation Assumptions

The fluids behave as perfect gases. However the driving can take place only for viscous fluids. The flow is one-dimensional and isentropic to initialize the calculation. It is then supplemented by a model of pressure loss based on experience. The model of pressure loss is deduced from the following relation where Pt3 is the total pressure at the mixing chamber exit. Pr3 is the total pressure at the diffuser exit:
P r 3 = P t 3 F 3 ( P t 3 p 3 )
At the mixing chamber inlet, the static pressures p1 and p2 are equal. The mixture is complete at the mixing chamber outlet [2].
From the parameters fixed by the customer, i.e., pressure, flow and temperature, P1, q1, T1, for the driving fluid and P2, q2, T2, for the induced fluid, as well as a loss ratio F3 fixed by the designer (constant value for a given ejector), we established computation formulae so as to obtain the following parameters in this order:
t2, p2, V2, ρ2, S2 for the induced fluid
T1, ρ1, V1, S1 for the driving fluid
S3, T3, V3, T3, ρ3, Pt3, Pr3 for the mixture.
All these formulae were computed then a validation of the computed code was conducted using the steam ejector described below.

2.3. Validation of the Computer Code

Measurements were carried out on a 12 ton/hour driving flow device, commissioned in the marketing year 2005/2006 (sugar refinery in Roye, France). This device had been defined for the following operating conditions (Table 1):
Table 1. Operating conditions defined for a 12 ton/hour device.
Table 1. Operating conditions defined for a 12 ton/hour device.
P1 (MPa)T1 (K)P2 (MPa)T2 (K)q2/q1
4.16730.27402.53.62
Based on the long-standing experience of the designer and co-author (C. Chacoux), F3 was imposed [see Equation (6)] and the Mach number chosen for the induced fluid was M2 = 0.75 (the choice of this value is reconsidered below).

2.3.1. Results of Calculations (Table 2)

Table 2. Results of calculation.
Table 2. Results of calculation.
Pr3 (MPa)T3 (K)H1 (kJ/kg)H2 (kJ/kg)H3 (kJ/kg)S3 (cm2)
0.34454.83 1542 7192 809322

2.3.2. Results of Measurements

The total outlet pressure Pr3 finally obtained was 0.32 MPa for 0.34 calculated, the observed entrainment ratio q2/q1 being slightly different from that proposed (Table 3).
Table 3. Results of measurements for S3 = 322 cm2.
Table 3. Results of measurements for S3 = 322 cm2.
P1 (MPa)T1 (K)P2 (MPa)T2 (K)q2/q1
4.5675.50.2544013.58
Pr3 (MPa)T3 (K)H1 (kJ/kg)H2 (kJ/kg)H3 (kJ/kg)
0.31/0.32454.53 2132 7172 825
Calculation predicted a backpressure of Pr3 − P2 = 0.34 − 0.267 = 0.073 MPa, whereas experimentation gave Pr3 − P2 = 0.32 − 0.254 = 0.066 MPa. This slight difference can be explained by the fact that P2 is a little different in the two cases (2.67 MPa calculated, 2.54 MPa measured, i.e., a discrepancy of 0.5%). Similarly, the driving pressure was 4.5 MPa instead of 4.1 previously considered during the design process, resulting in a drop in the driving rate. All these results are coherent and satisfactory.

3. Use of the Ejector in Conditions Different from the Nominal Point

The ejector is determined for a nominal operating point. However, the process conditions may change, in which case the user must be able to determine new values of the parameters (for instance the new driving flow for the same induced flow).
For this purpose, characteristic curves may be of assistance. If the range of operation is too wide, several ejectors must be considered in order to operate with optimum efficiency. To achieve this, an extension of the computed code is possible by imposing the ratio of the mixing chamber section to the throat section of the driving flow nozzle S3/Scol as the reference criterion.
For Scol fixed, depending on the S3 section—called the origin section herein—The induced flow q2 is adjusted (for various values of the Mach number M2) until S 3  calcul S 3  origin is obtained.
Using the various values of the induced flow q2, the various values of the outlet pressure Pr3 are calculated and the backpressure (Pr3 − P2) is plotted against the driving rate q2/q1, the driving flow q1 and the induced flow total pressure P2 being fixed.

3.1. Plotting a Characteristic Curve

Figure 5 plots the characteristic curve of a given geometry (S3/Scol) related to the primary and secondary characteristics of the above steam ejector (q1 fixed).
Figure 5. Characteristic curve of the ejector (q1 fixed).
Figure 5. Characteristic curve of the ejector (q1 fixed).
Entropy 14 00599 g005
Note that the bent part of the curve on the right of the graph is not a true representation because of the transonic effects in this zone. With such a curve, if the discharge pressure imposed by the process changes, the user will be able to determine the new driving flow q1 required for the same induced flow q2.
In addition, as mentioned above, for each point on this curve there is a corresponding Mach number M2. The efficiency calculation at each point shows that the Mach number is maximum at the minimum point of the curve (see Section 4.1).

3.2. Plotting Several Characteristic Curves

The farther from the nominal (or design point or point of greatest efficiency) the point is, the more the ejector efficiency drops. Thus it is not interesting to widen the operating range too much. It is preferable to consider another ejector when the conditions Pr3 − P2 or q2/q1 differ considerably. If the installation undergoes strong variations, several ejectors can be laid out in parallel, gauged for suitable flow ranges. A series of characteristic curves is thus constructed.

4. Envelope Curves: Geometry Definition for Optimum Efficiency

To quickly obtain the initial elements of a dimensioning for the first contact with a customer, it is advisable to know the envelope curves of a family of devices. Given a geometry S3/Scol and the driving, induced and outlet pressure and temperature conditions, these curves can then be used to define the most efficient geometry of the device(s).

4.1. Definition of an Envelope Curve

The envelope curve is a curve (C) defined by a whole set of curves (Ci), such that each curve is tangent in at least one point of (C) and that in any point of (C), a curve (Ci) tangent with (C) exists. In fact in our study, curves (Ci) are the characteristic curves.
The points of tangency of the envelope curves with the characteristic curves are the points of the characteristic curves located at the level of the minimum point. These points are the optimal operating points of the ejectors, i.e., where the total efficiency is maximum.
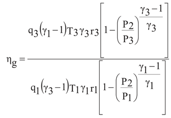
The total effectiveness of an ejector results in the total efficiency which can be defined by the ratio between the compression energy recovered on total flow and the energy spent on the driving flow expansion in the nozzle. Its expression is:
Entropy 14 00599 i001

Optimum Example of Operating Point on the Characteristic Curves

From the X-coordinates q2/q1, we calculated the ordinates Pr3 − P2 of certain points around the minimum point of the characteristic curve presented on Figure 5. We also calculated the corresponding total efficiency ηg for each point and drew up Table 4.
Table 4. Ejector global efficiency.
Table 4. Ejector global efficiency.
q2/q1M2Pr3 − P2 (Pa)ηg (%)
2.7150.4376 66234.41
2.9880.4974 19835.62
3.2390.5571 73836.58
3.8750.7966 31338.72
3.9490.8566 06944.22
3.9740.8866 08639.15
3.9910.9166 16239.25
4.0000.9466 32539.21
It can be seen that this minimum point is the point of the coordinates q2/q1 = 3.949 and Pr3 − P2 = 66 069 Pa which corresponds to the best performance ηg = 0.4422.
The calculation of the following points corresponding to higher driving rates is no longer valid because of the transonic effects not taken into account by this calculation: the losses in the diffuser can no longer be regarded as constant.
Figure 6 shows an expanded view of the characteristic curve plotted on Figure 5. The minimum point of the characteristic curve is indicated by an arrow.
Figure 6. Expanded view of the characteristic curve, showing the point of maximum efficiency (q1 and S3 fixed).
Figure 6. Expanded view of the characteristic curve, showing the point of maximum efficiency (q1 and S3 fixed).
Entropy 14 00599 g006
From the whole set of these optimum operating points (from each curve on Figure 7) the envelope curve valid for a single value of the total driving pressure P1 and total driving temperature T1 can be plotted.
Figure 7. Characteristic curves of ejectors of various sections (q1 fixed).
Figure 7. Characteristic curves of ejectors of various sections (q1 fixed).
Entropy 14 00599 g007
When the values of P1 and T1 are modified, the other parameters P2, T2 and q1 remaining unchanged, a new envelope curve is obtained (Figure 8).
Figure 8. Envelope curves for various values of P1 and T1 (q1 fixed).
Figure 8. Envelope curves for various values of P1 and T1 (q1 fixed).
Entropy 14 00599 g008

4.2. Validation of the Envelope Curve

The previous example (Section 2.3) of an ejector defined for the following conditions is again taken (Table 5).
Table 5. Operating conditions defined for a 12 ton/hour device.
Table 5. Operating conditions defined for a 12 ton/hour device.
P1 (MPa)T1 (K)P2 (MPa)T2 (K)q2/q1
4.16730.267402.53.62
The matching envelope curve is the curve of characteristics P1 = 4.1 MPa and T1 = 673K (400 °C). For q2/q1 = 3.62 the following values can be read off the graph: Pr3 − P2 = 73 600 Pa, P2 = 0.267 MPa, which gives Pr3 = 0.3406 MPa. This point can be seen on Figure 9.
Figure 9. Envelope curves (q1 fixed).
Figure 9. Envelope curves (q1 fixed).
Entropy 14 00599 g009
We recap below the results of measurements (Table 6).
Table 6. Results of measurement for a 12 ton/hour device.
Table 6. Results of measurement for a 12 ton/hour device.
P1 (MPa)T1 (K)P2 (MPa)T2 (K)P3 (MPa)
4.5675.50.2544010.32
In light of these results, it can be considered that the use of the envelope curve during an initial customer contact provides a very good idea of the device to be dimensioned. These envelope curves depend, however, on many parameters. For other values of total pressure and temperature of the induced fluid P2 and T2, as well as the driving fluid flow q1, it will therefore be necessary to have new envelope curves. Likewise, it will be necessary to interpolate between these curves for values of P1 and T1 that are different from those plotted.
The situation is greatly improved by using reduced co-ordinates which allows the aggregation of these various curves into a single one (but always given P2, T2 and q1) as shown on the following example of Figure 10:
Entropy 14 00599 i002
Figure 10. Condensed envelope curve (for T2, P2, q1 fixed).
Figure 10. Condensed envelope curve (for T2, P2, q1 fixed).
Entropy 14 00599 g010

5. Conclusions

This paper has presented:
  • A study of the dimensioning of compressible fluid ejectors with a cylindrical mixing chamber, used, amongst other applications, in sugar refineries during the evaporation stage. The computed code, worked out thanks to the integral method, was validated on more than three hundred steam ejectors with a discrepancy between calculation and measurements of less than 5%.
  • The thermodynamic model used is based on the model of the one-dimensional isentropic flow of perfect gases with the addition of a model of losses. It helps to make appropriate technological choices when designing new installations or during the rehabilitation of existing ones, by favouring energy economy.
  • This method could be exploited for the dimensioning of compressible fluid ejectors with a conical mixing chamber. The study would however be more complex because the driving of secondary flow in this type of mixing chamber is supersonic.

Nomenclature

Symbols

Cp
Specific heat at constant pressure, J/(kg.K)
F3
Pressure loss coefficient in the diffuser
H
Total enthalpy, J
I
Impulse or dynalpy, J
P
Total pressure, Pa
Pt3
Total pressure at mixing chamber exit, Pa
Pr3
Total outlet pressure in diffusor exit, Pa
p
Static pressure, Pa
q
Mass flow, kg/s
r
Mayer constant, J/(kg.K)
Scol
Throat section of driving flow nozzle, m2
S1
Inlet mixing chamber section of driving flow, m2
S2
Inlet mixing chamber section of induced flow, m2
S3
Section of the cylindrical mixing chamber, m2
T
Total air temperature, K
t
Static temperature, K
V
Mean velocity of the various flows, m/s

Subscripts

1
primary driving flow at the exit of the driving nozzle, mixing chamber inlet
2
secondary induced flow at the mixing chamber inlet
3
mixed flows at the mixing chamber outlet

Greek Letters

ρ
Density, kg/m3
γ
Fluid cP/cv ratio

Acknowledgements

In memory of our colleague and co-author, Claude Chacoux.

References

  1. Paulon, J. Ejecteurs (in French). Techniques de l’ingénieur. 1993, p. B4250. Available online: http://www.techniques-ingenieur.fr (accessed on 19 March 2012).
  2. Eames, I.W. A new prescription for the design of supersonic jet-pumps: The constant rate momentum change method. Appl. Therm. Eng. 2002, 22, 121–131. [Google Scholar] [CrossRef]
  3. Eames, I.W.; Aphornratana, S.; Haider, H. A theoretical and experimental study of a small-scale steam jet refrigerator. Int. J. Refrig. 1995, 18, 378–386. [Google Scholar] [CrossRef]
  4. Fan, J.; Eves, J.; Thompson, H.M.; Toropov, V.V.; Kapur, N.; Copley, D.; Mincher, A. Computational fluid dynamic analysis and design optimisation of jet pumps. Comput. Fluid. 2001, 46, 212–217. [Google Scholar] [CrossRef]
  5. Rogdakis, E.D.; Alexis, G.K. Design and parametric investigation of an ejector in an air-conditioning system. Appl. Therm. Eng. 2000, 20, 213–226. [Google Scholar] [CrossRef]
  6. Rogdakis, E.D.; Alexis, G.K. Investigation of ejector design at optimum operating condition. Energ. Convers. Manag. 2000, 41, 1841–1849. [Google Scholar] [CrossRef]
  7. Gilbert, G.B.; Hill, P.G. Analysis and testing of two-dimensional slot nozzle ejectors with variablearea mixing sections; NASA contractor report CR-2251; NASA: Washington, DC, USA, May 1973.
  8. Deberne, N.; Leone, J.F.; Duque, A.; Lallemand, A. A model for calculation of steam injector performance. Int. J. Multiphas. Flow. 1999, 25, 841–855. [Google Scholar] [CrossRef]
  9. Sobieski, W. Performance of an air-air ejector: An attempt at numerical modelling. Task Quarterly 2003, 7, 449–457. [Google Scholar]
  10. Watanawanavet, S. Optimization of a high-efficiency jet ejector by computational fluid dynamics software. Master Thesis, Texas A&M University, College Station, TX, USA, May 2005. [Google Scholar]
  11. Chacoux, C. Définition et fonctionnement des stato-surpresseurs et des stato-compresseurs; BERTIN: Paris, France, 1980. [Google Scholar]
  12. Marnier, Y. Dimensionnement d’un mélangeur à jet en écoulement compressible monodimensionnel. Master Thesis, Cnam, Paris, France, 2006. [Google Scholar]
  13. Hansen, A. Fluid Mechanics; WILEY: New York, NY, USA, 1967. [Google Scholar]

Share and Cite

MDPI and ACS Style

Antonio, Y.M.; Périlhon, C.; Descombes, G.; Chacoux, C. Thermodynamic Modelling of an Ejector with Compressible Flow by a One-Dimensional Approach. Entropy 2012, 14, 599-613. https://doi.org/10.3390/e14040599

AMA Style

Antonio YM, Périlhon C, Descombes G, Chacoux C. Thermodynamic Modelling of an Ejector with Compressible Flow by a One-Dimensional Approach. Entropy. 2012; 14(4):599-613. https://doi.org/10.3390/e14040599

Chicago/Turabian Style

Antonio, Yveline Marnier, Christelle Périlhon, Georges Descombes, and Claude Chacoux. 2012. "Thermodynamic Modelling of an Ejector with Compressible Flow by a One-Dimensional Approach" Entropy 14, no. 4: 599-613. https://doi.org/10.3390/e14040599

APA Style

Antonio, Y. M., Périlhon, C., Descombes, G., & Chacoux, C. (2012). Thermodynamic Modelling of an Ejector with Compressible Flow by a One-Dimensional Approach. Entropy, 14(4), 599-613. https://doi.org/10.3390/e14040599

Article Metrics

Back to TopTop