Text Mining Based Approach for Customer Sentiment and Product Competitiveness Using Composite Online Review Data
Abstract
1. Introduction
2. Related Research
2.1. Composite Online Reviews and Sentiment Analysis
2.2. Customer Interest Mapping
2.3. Review-Based Product Competitiveness Analysis
3. Research Design
3.1. Data Collection and Pre-Processing
3.2. Time-Stage Processing
3.3. Calculation of Text Feature Weights
3.4. Calculation of Emotional Intensity
4. Empirical Analysis and Discussion
4.1. Text Analysis of Composite Review
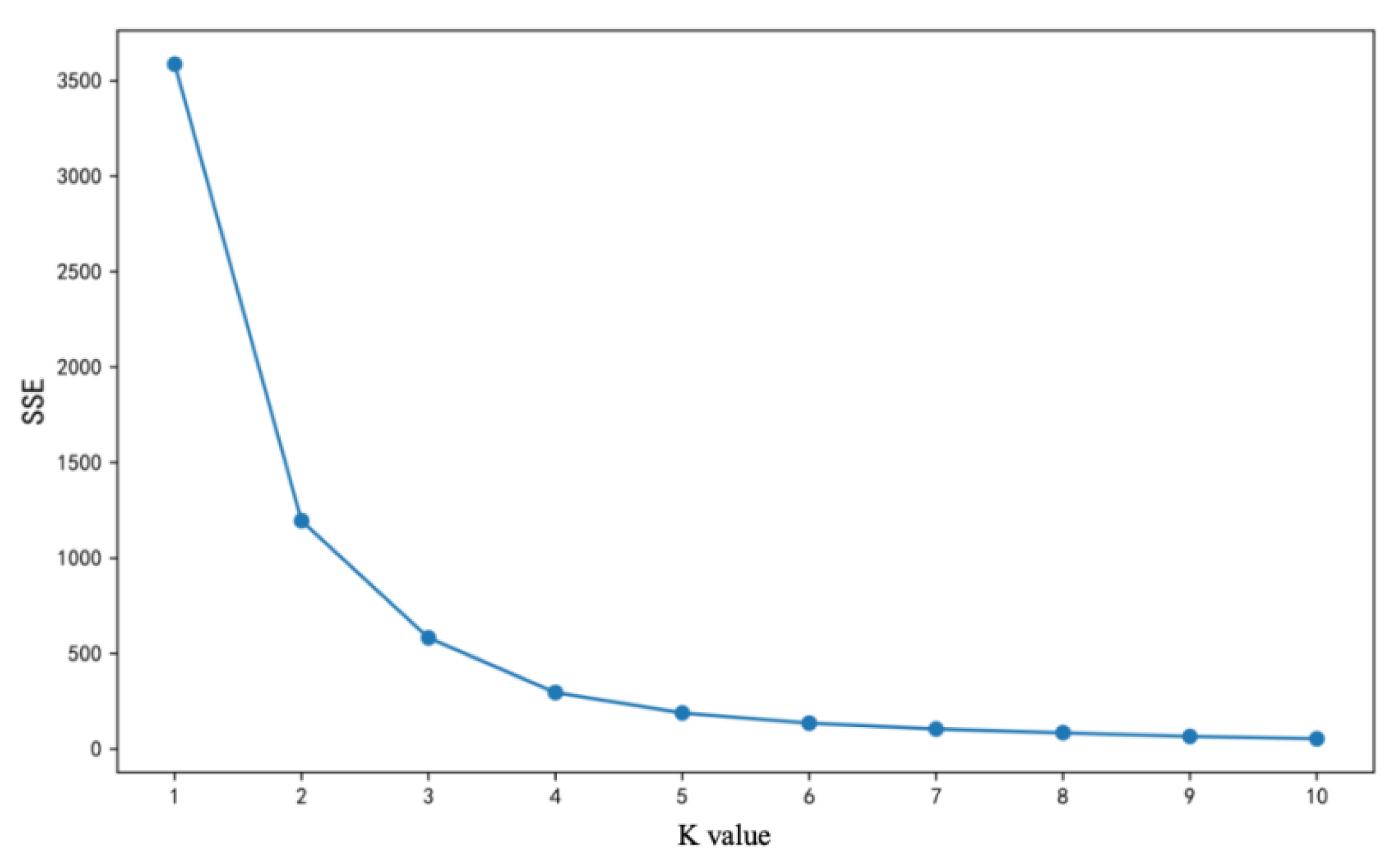
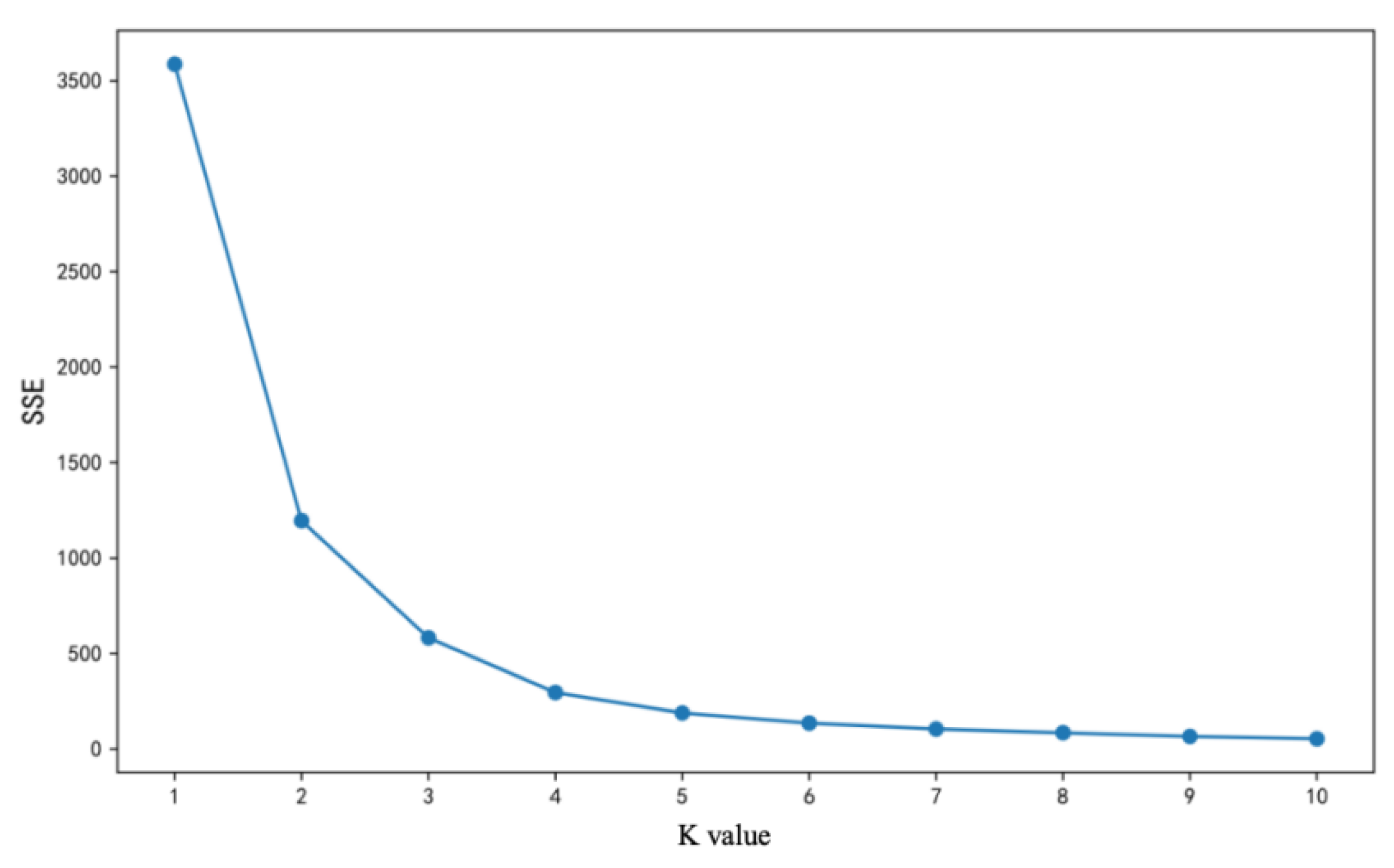
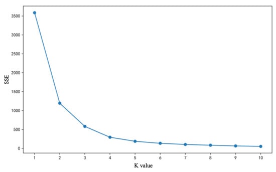
4.1.1. High-Frequency Word Extraction and Dimensioning
4.1.2. Segmentation of Review Slots
4.1.3. Textual Characterisation of Reviews
4.2. Product Competitiveness Analysis Based on Composite Reviews
4.3. Sentiment Analysis Based on Composite Reviews
5. Conclusions
Author Contributions
Funding
Institutional Review Board Statement
Informed Consent Statement
Data Availability Statement
Conflicts of Interest
References
- Hu, N.; Liu, L.; Zhang, J.J. Do online reviews affect product sales? The role of reviewer characteristics and temporal effects. Inf. Technol. Manag. 2008, 9, 201–214. [Google Scholar] [CrossRef]
 - Chen, Y.; Xie, J. Third-party product review and firm marketing strategy. Mark. Sci. 2005, 24, 218–240. [Google Scholar] [CrossRef]
 - Lin, Y.; Jen, L. The impact of consumer heterogeneity in the product life cycle on the diffusion patterns of user reviews and sales. J. Retail. Consum. Serv. 2024, 76, 103558. [Google Scholar]
 - Li, Y.; Wang, K.; Xu, F.; Fan, C. Management of trade-in modes by recycling platforms based on consumer heterogeneity. ransp. Res. Part E Logist. Transp. Rev. 2022, 162, 102721. [Google Scholar] [CrossRef]
 - Ho-Dac, N.N.; Carson, S.J.; Moore, W.L.; Ho-Dac, S.J.C.N.N.; Nam, H.; Kannan, P. The effects of positive and negative online customer reviews: Do brand strength and category maturity matter? J. Mark. 2013, 77, 37–53. [Google Scholar] [CrossRef]
 - Liu, Y.; Gan, W.X.; Zhang, Q. Decision-making mechanism of online retailer based on additional online comments of consumers. J. Retail. Consum. Serv. 2021, 59, 102389. [Google Scholar] [CrossRef]
 - Wang, S.; Ye, S.; Dong, Y.; Wang, H. Study on the Impact of Additional Comments on Consumers’ Purchase Decisions: Comparative Analysis Based on Hedonic and Practical Products. In Proceedings of the 2019 2nd International Conference on E-Business, Information Management and Computer Science, Kuala Lumpur, Malaysia, 12 August–12 October 2019; pp. 1–6. [Google Scholar]
 - Zhao, Y.; Wen, L.; Feng, X.; Li, R.; Lin, X. How managerial responses to online reviews affect customer satisfaction: An empirical study based on additional reviews. J. Retail. Consum. Serv. 2020, 57, 102205. [Google Scholar] [CrossRef]
 - Chen, C.; Zhang, D.; Zhang, F.; Zhang, F. The interaction effect of online composite reviews and time pressure on information persuasiveness: A heuristic-systematic perspective. Electron. Commer. Res. Appl. 2023, 59, 101269. [Google Scholar] [CrossRef]
 - Shi, W.; Gong, X.; Zhang, Q.; Wang, L. A comparative study on the first-time online reviews and appended online reviews. J. Manag. Sci. 2016, 29, 45–58. [Google Scholar]
 - Wang, C.; He, S.; Wang, K. Research on how additional review affects perceived usefulness of review. J. Manag. Sci. 2015, 28, 102–114. [Google Scholar]
 - Zhang, D.; Ma, J.; He, Z. The effect of emotional changes in composite reviews on consumers’ information adoption from a dual perspective. Ind. Manag. Data Syst. 2024, 124, 2205–2229. [Google Scholar] [CrossRef]
 - Zhou, H.; Li, S. The impact of online additional comments on consumers’ information adoption. Sociol. Mind 2017, 7, 60–71. [Google Scholar] [CrossRef]
 - Luo, Y.; Li, Y.; Ye, Q. Impacts of online additional reviews on the sales volume of cross-border pharmaceutical e-commerce platforms. J. Glob. Inf. Technol. Manag. 2022, 25, 83–101. [Google Scholar] [CrossRef]
 - Hossain, M.S.; Rahman, M.F. Customer sentiment analysis and prediction of insurance products’ reviews using machine learning approaches. FIIB Bus. Rev. 2023, 12, 386–402. [Google Scholar] [CrossRef]
 - Chang, V.; Liu, L.; Xu, Q.; Li, T.; Hsu, C.H. An improved model for sentiment analysis on luxury hotel review. Expert Syst. 2023, 40, e12580. [Google Scholar] [CrossRef]
 - Li, H.; Bruce, X.B.; Li, G.; Gao, H. Restaurant survival prediction using customer-generated content: An aspect-based sentiment analysis of online reviews. Tour. Manag. 2023, 96, 104707. [Google Scholar] [CrossRef]
 - Purnawirawan, N.; De Pelsmacker, P.; Dens, N. Balance and sequence in online reviews: How perceived usefulness affects attitudes and intentions. J. Interact. Mark. 2012, 26, 244–255. [Google Scholar] [CrossRef]
 - Gao, M.; Liu, K.; Wu, Z. Personalisation in web computing and informatics: Theories, techniques, applications, and future research. Inf. Syst. Front. 2010, 12, 607–629. [Google Scholar] [CrossRef]
 - Savci, P.; Das, B. Prediction of the customers’ interests using sentiment analysis in e-commerce data for comparison of Arabic, English, and Turkish languages. J. King Saud Univ. Comput. Inf. Sci. 2023, 35, 227–237. [Google Scholar] [CrossRef]
 - Wijaya, I.W.R. Development of conceptual model to increase customer interest using recommendation system in e-commerce. Procedia Comput. Sci. 2022, 197, 727–733. [Google Scholar] [CrossRef]
 - Liu, Z.; Chen, X.; Sun, M. Mining the interests of Chinese microbloggers via keyword extraction. Front. Comput. Sci. 2012, 6, 76–87. [Google Scholar] [CrossRef]
 - Cena, F.; Likavec, S.; Osborne, F. Propagating user interests in ontology-based user model. In AI*IA 2011: Artificial Intelligence Around Man and Beyond, Proceedings of the XIIth International Conference of the Italian Association for Artificial Intelligence, Palermo, Italy, 15–17 September 2011; Springer: Berlin/Heidelberg, Germany, 2011; pp. 299–311. [Google Scholar]
 - Kim, Y.; Shim, K. TWILITE: A recommendation system for Twitter using a probabilistic model based on latent Dirichlet allocation. Inf. Syst. 2014, 42, 59–77. [Google Scholar] [CrossRef]
 - Gen, L.; Jin, G.; Li, Y.; Sun, W.; Ma, S. Research on Personalized Recommendation of University Library Literature Resources Based on Improved Content-based Filtering Algorithm. Libr. Inf. Serv. 2018, 62, 112. [Google Scholar]
 - Shi, C.; Hu, B.; Zhao, W.X.; Philip, S.Y. Heterogeneous information network embedding for recommendation. IEEE Trans. Knowl. Data Eng. 2018, 31, 357–370. [Google Scholar] [CrossRef]
 - Zhang, P.; Zhang, Z.; Tian, T.; Wang, Y. Collaborative filtering recommendation algorithm integrating time windows and rating predictions. Appl. Intell. 2019, 49, 3146–3157. [Google Scholar] [CrossRef]
 - Karthik, R.V.; Ganapathy, S. A fuzzy recommendation system for predicting the customers interests using sentiment analysis and ontology in e-commerce. Appl. Soft Comput. 2021, 108, 107396. [Google Scholar] [CrossRef]
 - Carmel, Y.; Patt-Shamir, B. Comparison-based interactive collaborative filtering. In Structural Information and Communication Complexity, Proceedings of the 22nd International Colloquium, Montserrat, Spain, 14–16 July 2015; Springer: Montserrat, Spain, 2015; pp. 429–443. [Google Scholar]
 - Tang, S.; Gong, L.; Xie, J.; Liu, Y. A competitiveness evaluation method of product based on technology maturity and development trend. In Proceedings of the 2017 12th IEEE Conference on Industrial Electronics and Applications (ICIEA), Siem Reap, Cambodia, 18–20 June 2017; pp. 675–680. [Google Scholar]
 - Liu, Z.; Qin, C.X.; Zhang, Y.J. Mining product competitiveness by fusing multisource online information. Decis. Support Syst. 2021, 143, 113477. [Google Scholar] [CrossRef]
 - Xu, K.; Liao, S.S.; Li, J.; Song, Y. Mining comparative opinions from customer reviews for competitive intelligence. Decis. Support Syst. 2011, 50, 743–754. [Google Scholar] [CrossRef]
 - Wu, J.; Zhang, J.; Zhao, N. How to boost e-commerce for poverty alleviation? A perspective on competitiveness analysis using online reviews. Electron. Commer. Res. 2023, 1–32. [Google Scholar] [CrossRef]
 - Kim, Y.; Dwivedi, R.; Zhang, J.; Jeong, S.R. Competitive intelligence in social media Twitter: iPhone 6 vs. Galaxy S5. Online Inf. Rev. 2016, 40, 42–61. [Google Scholar] [CrossRef]
 - Lu, X.; Guo, C.; Liu, J. Study on Identification of Enterprise Product Level Competitor Based on Sentiment Analysis: Taking User Reviews for Data Resources. Libr. Inf. Serv. 2016, 60, 83–90. [Google Scholar]
 - Xu, X.; Wang, X.; Li, Y.; Haghighi, M. Business intelligence in online customer textual reviews: Understanding consumer perceptions and influential factors. Int. J. Inf. Manag. 2017, 37, 673–683. [Google Scholar] [CrossRef]
 - Syakur, M.A.; Khotimah, B.K.; Rochman, E.M.S.; Satoto, B.D. Integration k-means clustering method and elbow method for identification of the best customer profile cluster. In IOP Conference Series: Materials Science and Engineering; IOP Publishing: Surabaya, Indonesia, 2018; Volume 336, p. 012017. [Google Scholar]
 - Umargono, E.; Suseno, J.E.; Gunawan, S.V. K-means clustering optimization using the elbow method and early centroid determination based on mean and median formula. In The 2nd International Seminar on Science and Technology (ISSTEC 2019); Atlantis Press: Yogyakarta, Indonesia, 2020; pp. 121–129. [Google Scholar]
 - Nainggolan, R.; Perangin-angin, R.; Simarmata, E.; Tarigan, A.F. Improved the performance of the K-means cluster using the sum of squared error (SSE) optimized by using the Elbow method. In Journal of Physics: Conference Series; IOP Publishing: Medan, Indonesia, 2019; Volume 1361, p. 012015. [Google Scholar]
 - Lu, A.; Lin, W. An integrated analysis of topical and emotional evolution of microblog public opinions on public emergencies. Libr. Inf. Serv. 2017, 61, 120. [Google Scholar]
 - Xu, L.; Lin, H.; Pan, Y.; Ren, H.; Chen, J. Constructing the affective lexicon ontology. J. China Soc. Sci. Tech. Inf. 2008, 27, 180–185. [Google Scholar]
 





| Dictionary and Number | Meaning | Selected Words | Emotional Intensity Value | 
|---|---|---|---|
| Emotional lexicon (27,079) | Literal definition | Fresh, just right, fair-minded, truthful, tasty, tasty, like…… | |
| Negative word (125) | Opposite sentiment | No, bad, didn’t, never, nearly, no longer, never, well…… | |
| Adverb of degree (260)  | Strong | Most, extremely, extremely, excessively, exceptionally, too…… | |
| Slightly stronger | More, more and more, doubly, extra, very, quite, better…… | ||
| Comparisons | Comparatively, yet, not too, not much, simply, really, as much as possible…… | ||
| Marginally | Slightly, a little, somewhat, slightly, only…… | 
| Initial Reviews | Additional Reviews | ||||||||||
|---|---|---|---|---|---|---|---|---|---|---|---|
| Order | High-Frequency Word | Word Frequency | Order | High-Frequency Word | Word Frequency | Order | High-Frequency Word | Word Frequency | Order | High-Frequency Word | Word Frequency | 
| 1 | evaluation | 2625 | 26 | this time | 627 | 1 | tasty | 2040 | 26 | shopping | 403 | 
| 2 | Jingdong | 2437 | 27 | stuff | 596 | 2 | apple | 1647 | 27 | once | 401 | 
| 3 | customer | 2425 | 28 | moisture | 555 | 3 | Jingdong | 1592 | 28 | customer service | 381 | 
| 4 | content | 2357 | 29 | dissatisfied | 547 | 4 | very | 1465 | 29 | very sweet | 375 | 
| 5 | not filled | 2297 | 30 | size | 540 | 5 | nice | 1378 | 30 | favorable review | 374 | 
| 6 | nice | 2152 | 31 | grape | 522 | 6 | purchase | 1025 | 31 | Easy to use | 369 | 
| 7 | very | 2150 | 32 | not | 522 | 7 | fresh | 971 | 32 | deserve | 367 | 
| 8 | apple | 2067 | 33 | character | 511 | 8 | fruits | 888 | 33 | we | 366 | 
| 9 | tasty | 1807 | 34 | shopping | 496 | 9 | goods | 822 | 34 | speed | 361 | 
| 10 | fruits | 1623 | 35 | merchants | 488 | 10 | stuff | 816 | 35 | logistics | 358 | 
| 11 | fresh | 1593 | 36 | once | 477 | 11 | no | 812 | 36 | character | 353 | 
| 12 | package | 1490 | 37 | somewhat | 475 | 12 | really | 765 | 37 | receive | 350 | 
| 13 | no | 1260 | 38 | speed | 474 | 13 | taste | 730 | 38 | boxful | 338 | 
| 14 | purchase | 1115 | 39 | autumn moon | 471 | 14 | flavour | 646 | 39 | next time | 335 | 
| 15 | taste | 946 | 40 | fresh food | 444 | 15 | quality | 631 | 40 | merchants | 328 | 
| 16 | received | 895 | 41 | deserve | 443 | 16 | package | 628 | 41 | recommend | 326 | 
| 17 | banana | 854 | 42 | feel | 436 | 17 | like | 561 | 42 | express delivery | 324 | 
| 18 | flavour | 854 | 43 | very sweet | 433 | 18 | banana | 547 | 43 | autumn moon | 320 | 
| 19 | quality | 824 | 44 | function | 432 | 19 | price | 522 | 44 | few days | 310 | 
| 20 | express delivery | 819 | 45 | deliver | 432 | 20 | special | 494 | 45 | after | 306 | 
| 21 | like | 788 | 46 | comparisons | 421 | 21 | not | 489 | 46 | evaluation | 298 | 
| 22 | special | 745 | 47 | pears | 418 | 22 | this time | 456 | 47 | negative feedback | 293 | 
| 23 | really | 697 | 48 | dispatch | 410 | 23 | moisture | 451 | 48 | deliver goods | 292 | 
| 24 | price | 684 | 49 | self-operated | 394 | 24 | really | 443 | 49 | supermarket | 290 | 
| 25 | logistics | 682 | 50 | already | 383 | 25 | grape | 418 | 50 | dissatisfied | 289 | 
| Feature Dimension | Initial Reviews | Additional Reviews | 
|---|---|---|
| Quality | fresh, quality, stuff, moisture, character, autumn moon, fresh food, product, Korla, light meal, red Fuji, fruit, Xinjiang, spoilt fruit, Yantai, health, pulps, Luochuan, Aksu, premium, Hebei, variety, goods, ample, authentic, very full, rose, juice, fruit, full, sunshine | quality, fresh, moisture, premium, spoilt fruit, not spoilt fruit, light meal, ample, authentic, junk, red Fuji, Aksu, Yantai, autumn months, fresh, fruit, pulp, goods, baby, stuff | 
| Taste | yummy, texture, flavour, very sweet, tastes, sweetness, icing sugar, crunchy-sweet delicate, not sweet, tasty, unpalatable | yummy, texture, flavour, very sweet, crunchy-sweet, icing sugar, sweetness, tasty, sweet, delicate | 
| Appearance Packaging | packaging, a box, inside, net weight, many, single fruit, size, open, very large, found, looking, 2 kg, 10 kg, two boxes, two, even, completely, 100 g, intact, each, 120 g, three boxes, picture, obviously, several, see, intact, large fruit, half, bump, all, seemingly | a box, inside, obviously, net weight, packaging, seemingly, single fruit, size, large fruit, very large, found, looking, 2 kg, two boxes, 100 g, intact, 120 g, 10 kg, three boxes, picture, several, see, intact, half, completely, bump | 
| Logistics | received, expressage, logistics, speed, delivery, shipping, self-support, soon, expressage, delivery, days, delivered, today, time, super-fast, hours, home delivery | packaging, box, very large, two boxes, one pound, half, much, several, each, three boxes, picture, intact, appearance, inside, obviously, looking, see, many, great, size, open, basically, completely, terrible, intact | 
| Prices | price, event, supermarket, affordable, cheap, value for money, deals | price, affordable, cheap, value for money, deals, events, supermarkets | 
| Service | evaluation, customer service, problem, service, after-sales, merchant, attitude, timely, several, service attitude, review, brand, platform, mall | customer service, after-sales, merchant, problem, attitude, evaluation, review, service, 48 h, processing, shop to buy, service attitude, order, brand | 
| Evaluations | unfilled, good, like, satisfied, worth, feel, good, bad, feel, disappointment, everyone, assured, friends, convenient, children, trust, pleasant, almost, suitable, description, experience, protection, cost-effective | good review, negative review, satisfied, experience, bad, disappointment, five stars, unforgettable, thrilled, pleasant, regret, almost, best, not enough, good, family, trust, reassurance, genuine, like, child, really, quite | 
| Customer loyalty | buy, shopping, once, compare, first, many times, before, recommend, repurchase, later, will, finally, order, second time, don’t, continue, choose, hope, should, guarantee, before, last time | once, worth, next, recommend, later, first, repurchase, continue, recommend, come back, second, guarantee, often, definitely, as always, order, hope, everyone, many times, before, finally, compare, at first, purchase | 
| Feature Dimension | Review Type | Word Sum | Word Frequency Sum | Attention Degree | Actual Word Frequency | 
|---|---|---|---|---|---|
| Quality | Initial reviews | 79 | 9342 | 16.23 | 1812 | 
| Additional reviews | 57 | 6246 | 12.29 | 1343 | |
| Taste | Initial reviews * | 35 | 5848 | 9.51 | 1519 | 
| Additional reviews * | 34 | 5166 | 9.17 | 1395 | |
| Appearance Packaging | Initial reviews * | 91 | 8219 | 14.41 | 1223 | 
| Additional reviews | 66 | 4433 | 10.23 | 666 | |
| Logistics | Initial reviews * | 45 | 5908 | 9.32 | 1163 | 
| Additional reviews | 42 | 3368 | 6.78 | 558 | |
| Prices | Initial reviews | 20 | 2287 | 3.72 | 408 | 
| Additional reviews | 18 | 1536 | 2.92 | 278 | |
| Service | Initial reviews | 28 | 3025 | 4.63 | 523 | 
| Additional reviews | 36 | 2368 | 5.07 | 326 | |
| Evaluations | Initial reviews | 60 | 10,197 | 14.24 | 2308 | 
| Additional reviews * | 80 | 7349 | 14.68 | 1348 | |
| Customer loyalty | Initial reviews | 63 | 8883 | 12.96 | 1766 | 
| Additional reviews * | 83 | 6720 | 14.43 | 1177 | 
| Type of Review | The Same Day | Short-Term | Long-Term | 
|---|---|---|---|
| Initial reviews | Logistics, Customer loyalty (two feature dimensions)  | Quality, Appearance Packaging, Service (three feature dimensions)  | Taste, Prices, Evaluations (three feature dimensions)  | 
| Additional reviews | Logistics, Service, Evaluations (three feature dimensions)  | Taste, Appearance Packaging, Customer loyalty (three feature dimensions)  | Quality, Prices (two feature dimensions)  | 
| Feature Dimension | The Same Day | Short-Term | Long-Term | |||
|---|---|---|---|---|---|---|
| Initial  Reviews  | Additional Reviews | Initial  Reviews  | Additional Reviews | Initial  Reviews  | Additional  Reviews  | |
| Quality | (fresh, 0.6351) | (fresh, 0.6480) | (fresh, 0.6830) | (moisture,0.4988) | (fresh, 0.6330) | (goods, 1.0000) | 
| (quality, 0.3735) | (stuff, 0.5464) | (fresh food, 0.5205) | (stuff, 0.4571) | (moisture, 0.5656) | (stuff, 0.5000) | |
| (moisture, 0.3650) | (quality, 0.4516) | (moisture, 0.4828) | (fresh, 0.3726) | (quality, 0.4345) | (fresh, 0.4636) | |
| (stuff, 0.3399) | (moisture, 0.4094) | (quality, 0.3927) | (character, 0.2892) | (autumn moon, 0.4583) | (quality, 0.3910) | |
| (character, 0.2305) | (goods, 0.3629) | (character, 0.3265) | (stuff, 0.2796) | (character, 0.3101) | (moisture, 0.4010) | |
| Taste | (yummy, 0.5660) | (yummy, 0.8766) | (yummy, 0.7232) | (yummy, 1.0000) | (yummy, 0.9526) | (yummy, 0.8677) | 
| (texture, 0.3435) | (texture, 0.4157) | (flavour, 0.4578) | (texture, 0.4091) | (texture, 0.6704) | (flavour, 0.4811) | |
| (flavour, 0.3323) | (flavour, 0.3734) | (texture, 0.4590) | (flavour, 0.3183) | (flavour, 0.4943) | (texture, 0.4931) | |
| (very sweet, 0.2160) | (very sweet, 0.3071) | (sweetness, 0.2150) | (not sweet, 0.2399) | (tastes, 0.3060) | (unpalatable, 0.2455) | |
| (tastes, 0.1767) | (crunchy-sweet, 0.1823) | (very sweet, 0.2079) | (unpalatable, 0.2159) | (icing sugar, 0.3282) | (very sweet, 0.1464) | |
| Appearance Packaging | (inside, 0.1719) | (packaging, 0.4347) | (packaging, 0.6613) | (packaging, 0.4109) | (packaging, 0.5860) | (a box, 0.2892) | 
| (packaging, 0.5576) | (size, 0.2230) | (net weight, 0.3752) | (a box, 0.3072) | (size, 0.3781) | (inside, 0.2750) | |
| (size, 0.2338) | (many, 0.2086) | (single fruit, 0.3237) | (open, 0.2815) | (open, 0.2374) | (found, 0.2497) | |
| (a box, 0.2338) | (a box, 0.1835) | (size, 0.2806) | (inside, 0.2586) | (inside, 0.2280) | (many, 0.2348) | |
| (many, 0.1655) | (very large, 0.1629) | (100 g, 0.2595) | (several, 0.2228) | (10 kg, 0.2343) | (packaging, 0.2167) | |
| Logistics | (expressage, 0.4276) | (expressage, 0.3427) | (received, 0.5019) | (days, 0.2705) | (received, 0.4641) | (days, 0.2709) | 
| (received, 0.3604) | (logistics, 0.3327) | (expressage, 0.3892) | (today, 0.2663) | (logistics, 0.3727) | (speed, 0.2384) | |
| (logistics, 0.3107) | (speed, 0.3161) | (logistics, 0.3757) | (received, 0.2514) | (delivery, 0.2385) | (received, 0.2324) | |
| (speed, 0.2665) | (received, 0.2396) | (self-support, 0.3010) | (self-support, 0.1584) | (soon, 0.2280) | (dispatch, 0.1917) | |
| (delivery, 0.2395) | (soon, 0.2054) | (delivered, 0.2359) | (delivered, 0.1467) | (delivered, 0.2497) | (delivery, 0.1761) | |
| Prices | (price, 0.2923) | (price, 0.3712) | (event, 0.3308) | (price, 0.2324) (event, 0.1351) (cheap, 0.0764)  | (price, 0.4782) | (price, 0.3266) | 
| (supermarket, 0.2694) | (supermarket, 0.3359) | (price, 0.2648) | (event, 0.2542) | (value for money, 0.1682) | ||
| (event, 0.1924) | (affordable, 0.1919) | (cost-effective, 0.0907) | (cheap, 0.2466) | (cheap, 0.1323) | ||
| (affordable, 0.1396) | (event, 0.1647) | (value for money, 0.0876) | (affordable, 0.1840) | (event, 0.1101) | ||
| (cheap, 0.1309) | (cheap, 0.1518) | (cheap, 0.0876) | (value for money, 0.1508) | (deals, 0.1027) | ||
| Service | (store, 0.3100) | (evaluation, 0.2777) | (store, 0.2521) | (customer service, 0.2937) | (store, 0.1535) | (store, 0.3503) | 
| (customer service, 0.2333) | (customer service, 0.2847) | (problem, 0.1766) | (after-sales, 0.2711) | (attitude, 0.1471) | (customer service, 0.2276) | |
| (problem, 0.1782) | (after-sales, 0.2000) | (customer service, 0.1733) | (store, 0.2261) | (service, 0.1185) | (merchant, 0.1629) | |
| (after-sales, 0.1733) | (store, 0.1951) | (after-sales, 0.1502) | (merchant, 0.1804) | (timely, 0.0963) | (after-sales, 0.1359) | |
| (service, 0.1593) | (problem, 0.1806) | (several, 0.1003) | (problem, 0.1306) | (customer service, 0.0963) | (attitude, 0.1057) | |
| Evaluations | (good, 0.7425) | (good, 0.7318) | (unfilled, 0.9415) | (good, 0.6230) | (good, 0.8094) | (good, 0.6377) | 
| (unfilled, 0.6645) | (like, 0.4078) | (good, 0.7845) | (like, 0.2796) | (unfilled, 0.8113) | (serviceable, 0.3474) | |
| (like, 0.3431) | (everyone, 0.2887) | (like, 0.4051) | (bad, 0.2525) | (like, 0.4263) | (like, 0.2915) | |
| (this time, 0.3370) | (good, 0.2806) | (satisfied, 0.3320) | (good, 0.2611) | (feel, 0.3910) | (feel, 0.2978) | |
| (satisfied, 0.2882) | (abysmal, 0.2998) | (good, 0.2802) | (everyone, 0.2191) | (worth, 0.3053) | (so, 0.2875) | |
| Customer loyalty | (evaluations, 0.7541) | (buy, 0.5681) | (buy, 0.5387) | (buy, 0.5402) | (evaluations, 0.8234) | (buy, 0.5184) | 
| (buy, 0.4375) | (shopping, 0.3296) | (once, 0.3531) | (once, 0.3043) | (buy, 0.5781) | (this time, 0.4048) | |
| (shopping, 0.2471) | (once, 0.3224) | (shopping, 0.3535) | (next time, 0.2861) | (once, 0.2404) | (recommend, 0.3031) | |
| (once, 0.2336) | (this time, 0.2530) | (compare, 0.3142) | (later, 0.2579) | (compare, 0.2335) | (compare, 0.2278) | |
| (before, 0.2338) | (next time, 0.2199) | (first, 0.2573) | (hope, 0.2335) | (shopping, 0.2217) | (next time, 0.2018) | |
Disclaimer/Publisher’s Note: The statements, opinions and data contained in all publications are solely those of the individual author(s) and contributor(s) and not of MDPI and/or the editor(s). MDPI and/or the editor(s) disclaim responsibility for any injury to people or property resulting from any ideas, methods, instructions or products referred to in the content.  | 
© 2024 by the authors. Licensee MDPI, Basel, Switzerland. This article is an open access article distributed under the terms and conditions of the Creative Commons Attribution (CC BY) license (https://creativecommons.org/licenses/by/4.0/).
Share and Cite
Wen, Z.; Chen, Y.; Liu, H.; Liang, Z. Text Mining Based Approach for Customer Sentiment and Product Competitiveness Using Composite Online Review Data. J. Theor. Appl. Electron. Commer. Res. 2024, 19, 1776-1792. https://doi.org/10.3390/jtaer19030087
Wen Z, Chen Y, Liu H, Liang Z. Text Mining Based Approach for Customer Sentiment and Product Competitiveness Using Composite Online Review Data. Journal of Theoretical and Applied Electronic Commerce Research. 2024; 19(3):1776-1792. https://doi.org/10.3390/jtaer19030087
Chicago/Turabian StyleWen, Zhanming, Yanjun Chen, Hongwei Liu, and Zhouyang Liang. 2024. "Text Mining Based Approach for Customer Sentiment and Product Competitiveness Using Composite Online Review Data" Journal of Theoretical and Applied Electronic Commerce Research 19, no. 3: 1776-1792. https://doi.org/10.3390/jtaer19030087
APA StyleWen, Z., Chen, Y., Liu, H., & Liang, Z. (2024). Text Mining Based Approach for Customer Sentiment and Product Competitiveness Using Composite Online Review Data. Journal of Theoretical and Applied Electronic Commerce Research, 19(3), 1776-1792. https://doi.org/10.3390/jtaer19030087
        
