Abstract
Bulk logistics is an important part of the modern logistics system. The degree of digital transformation of bulk logistics has a significant gap compared with other logistics forms. Combined with the successful experience of digital transformation, value co-creation may become one of the key strategies to solve the problem of digital transformation of bulk logistics. This study formulates a four-party evolutionary game model to analyze the strategic choices and the stability of strategy combinations in value co-creation activities among bulk logistics enterprises and related entities and conducts numerical simulation analysis to explore the factors affecting the outcomes of the proposed game. The numerical results demonstrate that the bulk logistics enterprises and government departments are the key players in the game form that drive the success of value co-creation activities, and the additional costs required by various enterprises and the policies and financial support from government departments are key factors affecting strategic choices. Our findings can serve as a reference for bulk logistics enterprises.
1. Introduction
The digital economy presents different characteristics from the traditional economy in terms of key elements, leading technologies and infrastructure, which drives the digital transformation of the entire economy and society and promotes the transformation of traditional industries into innovation-driven industries [1]. As a basic and strategic industry in the national economy, the logistics industry is an important practice setting in the digital economy. The continuous development of information technology has greatly helped the logistics industry to achieve cost reductions, efficiency increases and service capacity improvements. Traditional logistics have begun to gradually change to intelligent logistics.
The substantial achievements in the field of smart logistics have laid a solid foundation for the digital transformation of logistics enterprises. In the process of digital transformation, logistics enterprises will pay more attention to customer needs to design logistics products and services and break the traditional business boundaries by building a smart logistics platform. This can promote its own integration with manufacturing, commerce, finance and other industries. In this way, the service object is gradually extended from a single customer to the whole supply chain.
From the perspective of the entire logistics industry, there is a significant disparity in the level of digital transformation across different logistics business forms. At present, the enterprises that have achieved remarkable results in digital transformation and possess ecological service capabilities mostly come from the express logistics sector. For instance, logistics enterprises in China, such as SF-Express and CaiNiao, have been able to leverage the power of digital transformation to reduce costs and increase efficiency. By interacting and collaborating with customers, they have completed the business chain and service model. On the one hand, these enterprises collect customers’ comments and suggestions on products and services by building a smart logistics platform. This can not only optimize logistics products and services but can also innovate products and services according to customer needs and enhance the competitive advantage and brand awareness of enterprises. On the other hand, customers can have their needs for products and services met by providing feedback or suggestions. This not only gives customers a sense of participation and satisfaction but also helps companies increase customer loyalty and purchasing intent [2,3].
The successful experience of express logistics in the digital transformation shows that the traditional path of relying on an enterprise’s own resources to obtain competitive advantage has gradually failed. Collaborative innovation with consumers is a new path to building competitive advantage. This path is a manifestation of value co-creation between enterprises and consumers. The concept of value co-creation was first proposed by scholars Prahalad and Ramaswamy (2000), stating that enterprises need to focus on consumer experience and that enterprises and consumers will jointly create value [4]. Vargo and Lusch refined the “value” in value co-creation as “use value” and supplemented the concept of value co-creation from the perspective of service-oriented logic [5]. They believe that consumers are not only the marketing objects of enterprises but also the co-creators of value and part of enterprise resources, which generates value in the process of consumption and the use of products and services [6].
Compared with express logistics, there is still a big gap in the digital transformation of bulk logistics, which is represented by bulk commodities. Although a small number of bulk logistics enterprises have gained some practical experience in digital transformation, the level of digital transformation for the vast majority of bulk logistics enterprises is still limited and at the initial stage. From the industry perspective [7,8], the pain points of digital transformation in bulk logistics are generally manifested in three aspects: a low level of informatization, low resource utilization and an incomplete service system. From the perspective of enterprises [7], there are three shortcomings in the digital transformation of bulk logistics enterprises: insufficient understanding of the significance of digital transformation, a lack of strategic objectives of digital transformation and a lack of understanding of the underlying logic of digital transformation.
As an important part of the modern logistics system, bulk logistics has the characteristics of a long business chain, more participants and higher information demand. It connects the manufacturing nodes of almost all traditional industries such as energy, steel, chemicals and materials and is highly related to various categories in the national economy [8]. This indicates that the operation of bulk logistics requires close cooperation with the multiple industries it connects. Therefore, it is necessary for bulk logistics to refer to the existing digital transformation experience in the field of express logistics and use value co-creation to break the current dilemma of weak competitiveness and insufficient service capacity.
It should be noted that compared with the service object of express logistics enterprises being mainly ordinary individual consumers, the service object of bulk logistics enterprises is mainly all kinds of enterprises in various connected industries. Therefore, the value co-creation achieved by bulk logistics enterprises should essentially be a form of value co-creation between enterprises rather than between enterprises and ordinary consumers. This kind of value co-creation between enterprises is a process of co-creating value in economic activities through the integration, complementarity and linkage of resources by two or more stakeholders [9].
Based on the characteristics of bulk logistics and the practical experience of digital transformation of express logistics, value co-creation is undoubtedly an advantageous strategy to achieve digital transformation. With this regard, this study will address the value co-creation behavior of bulk logistics enterprises under digital transformation from the perspective of behavioral decision based on evolutionary game theory. Additionally, this study will present strategies and management insights for how to achieve digital transformation through the value co-creation of bulk logistics enterprises.
2. Literature Review
The existing research can be summarized from the perspectives of macro development of the logistics industry under a digital economy, the digital transformation of logistics enterprises and value co-creation based on digital transformation.
2.1. Research on Macro Development of the Logistics Industry under a Digital Economy
This part of the relevant research focuses on the industrial development foundation and driving force and industrial coupling development and innovation. Karapetyants et al. (2017) proposed that the digital development of the logistics industry would promote the reduction of logistics factor costs and help countries build economic competitiveness [10]. Jiang et al. (2020) constructed the logistics industry upgrading index and explored the induction effect of the digital economy on the logistics industry upgrade [11]. Lu (2021) demonstrated that the development of the digital economy can significantly promote the improvement of logistics industry efficiency based on transaction costs [12]. By constructing a conceptual scenario model, Elena et al. (2020) proposed that the digital economy provides a new possibility for optimizing Russia’s transportation and logistics complex, and the new generation of information technology has a broad application prospect in the field of transportation and logistics [13]. Xu (2022) proposed that under the digital economy, the modern logistics industry is based on supply-side reform, and the trend of digital transformation of enterprises has become increasingly prominent [14]. Guo (2022) et al. concluded, through data analysis, that energy consumption and a lack of logistics professionals are major obstacles to the coupled and coordinated development of the logistics industry and digital economy [15]. Zhang et al. (2022) proposed, through an input–output model and social network analysis, that the integration degree of the core industry of the digital economy and the logistics industry will show an upward trend with time [16]. Guo (2022) proposed that the coupling coordination degree between the development of the digital economy and the logistics industry has stability, but the coupling effect of the complementary effect has not yet formed [17].
2.2. Research on Digital Transformation of Logistics Enterprises
The relevant studies in this subsection focus on the factors affecting transformation, transformation methods and strategies, etc. Liu et al. (2020) proposed that the logistics industry began to carry out digital transformation under the COVID-19 pandemic due to factors such as resource integration needs, contactless distribution needs and artificial intelligence replacing labor shortage [18]. Iman et al. (2020) put forward the concept of digitalization, which will effectively help logistics enterprises create more products and services, improve profitability, integrate operational processes and transfer information more efficiently [19]. Fernandez et al. (2020) proposed that logistics enterprises need to introduce organizational change strategies to ensure the effect of digital transformation [20]. Singhdong et al. (2021) proposed that logistics enterprises need to develop digital business strategies according to the capabilities of information systems, and digital transformation can provide logistics stakeholders with greater market opportunities [21]. Medennikov et al. (2021) proposed that the digital transformation of logistics enterprises should connect all relevant business participants with digital logistics platforms [22]. Chen et al. (2022) proposed that technical factors, organizational factors and environmental factors in the digital transformation of logistics enterprises can, respectively, lay the foundation, process and expectation of transformation and development [23]. Pan et al. (2022) proposed that the level of digital transformation of enterprises will increase with the improvement of the level of digital transformation of their spatial peers [24]. Nazet et al. (2022) proposed that blockchain technology can help logistics enterprises serve the digital supply chain and reduce the difficulty of supply and demand matching caused by changes in external factors [25]. Wang et al. (2022) proposed that the digital transformation of different logistics operation modes requires the use of different digital technologies to achieve the integration and collaborative innovation of business organizations [26]. Raza et al. (2023) discussed the main obstacles in the digital transformation of maritime logistics and proposed a feasible path [27]. Dossou et al. (2023) proposed a sustainable method for the digital transformation of small- and medium-sized logistics enterprises based on the combination of performance improvement with new technologies and organizational methods [28].
2.3. Research on Value Co-Creation from the Perspective of Digital Transformation
As one of the core production tools in the digital economy, an information platform has strong digital economic characteristics and is a new type of infrastructure that enterprises must build in the digital transformation. Blaschke et al. (2019) proposed that the information system supported by digital technology can realize resource exchange and the integration of participants in the distributed economy, thus forming the phenomenon of digital value co-creation networks (DVNs) [29]. Haki et al. (2019) proposed that the information system design based on value co-creation realized the paradigm shift from commodity-led (G-D) logic to service-led (S-D) logic [30]. Kautz et al. (2020) proposed that information system development itself is a process of value co-creation, and there are many different types of participants in the system development process [31].
The application of an intelligent logistics platform as an information platform in the logistics industry makes it a natural carrier for logistics enterprises to co-create value and realize digital transformation. Song et al. (2015) proposed that the smart logistics platform has general features such as providing services to bilateral users, complementary needs, cross-network externalities and exclusive features such as requiring offline entity support and regulatory supervision [32]. Gammelgaard et al. (2017) proposed that urban freight transportation can achieve value co-creation and behavioral correlation among stakeholders through information platforms [33]. Peng et al. (2020) proposed that value co-creation will be more conducive to cold chain logistics enterprises and related enterprises to give play to their own advantages and jointly develop the platform ecosystem to form a win–win mechanism [34]. Zhang et al. (2021) proposed that data empowerment based on an intelligent logistics platform can promote value co-creation between platform enterprises and users, and value co-creation is an important factor for platform enterprises to improve their service innovation ability [35]. Lin et al. (2021) proposed that value co-creation is one of the key sustainable factors for the innovation of logistics platforms in the field of logistics, and platform owners play a leading role in promoting value co-creation and multi-agent competition associated with platforms [36]. Cheng et al. (2022) proposed that factors such as network externalities, institution-based trust and multilateral mechanisms would affect the value co-creation ability of platforms and strengthen the network effects of enterprises in business activities [37]. Based on the business relationship and value co-creation between manufacturers and digital platforms, Michel et al. (2022) proposed a variety of digital transformation schemes related to crowdsourcing logistics [38]. Wei et al. (2022) proposed that the composition dimension of value co-creation of the logistics service ecosystem presents characteristics of multi-level unity and diversity at various levels, and the digital capability of logistics enterprises will dynamically and interactively evolve at different structural levels [39]. McIntyre et al. (2017) believe that leading enterprises in the platform ecosystem need to invest a lot of resources to attract related enterprises to join and provide convenience and incentive for rapid innovation [40].
2.4. The Application of Evolutionary Game Theory in Logistics and Value Co-Creation
At the current stage, evolutionary game theory has been applied to the study of the development of the logistics industry and value co-creation activities to some extent. However, no scholars have yet combined the two to explore the issues related to value co-creation in logistics enterprises through the theory of evolutionary games.
In the field of exploring the development of the logistics industry through evolutionary game theory, Yin et al. (2008) studied the game issues between market leaders and followers in terms of reverse logistics policies using evolutionary game theory [41]. Shi et al. (2009) used evolutionary game theory to study the competition and cooperation between functional logistics service providers and integrated logistics service providers in the logistics service supply chain [42]. Liu et al. (2012) analyzed the quality issues within the group of functional logistics service providers using evolutionary game theory [43]. Wang et al. (2014) used evolutionary game theory to analyze the issues of cooperation and competition between regional logistics nodes [44]. Gu et al. (2017) studied the low-carbon strategy between the government and highway logistics enterprises using evolutionary game theory [45]. Yang (2019) used evolutionary game theory to study the issues related to agricultural product logistics finance warehousing business among agricultural product production and processing enterprises, third-party logistics enterprises and financial institutions [46]. Luo et al. (2022) used evolutionary game theory to study the interactive mechanisms of emergency recycling logistics issues among the government, logistics enterprises and environmental protection non-governmental organizations (NGOs) [47]. Liu et al. (2022) used evolutionary game theory to study the ecological cooperation trends between logistics platforms and suppliers from the perspective of a business ecosystem [48]. Yang et al. (2023) used evolutionary game theory to study the knowledge-sharing strategy selection mechanism of logistics enterprises in the process of digital transformation from a dual perspective [49]. Zhang et al. (2024) used evolutionary game theory to discuss the dynamic process of the government, platforms and logistics enterprises participating in the selection of regional green logistics strategies [50].
In the exploration of value co-creation through evolutionary game theory, Zou et al. (2021) used evolutionary game theory to investigate the value co-creation behaviors between shared supply chain platforms and manufacturers [51]. Wu et al. (2022) used evolutionary game theory to explore the value co-creation behaviors between charging service operators and private charging pile owners in terms of investment costs and benefits [52]. Xu et al. (2023) used evolutionary game theory to explore the value co-creation behaviors and dynamic decision-making processes between core enterprises and non-core entities in the digital innovation ecosystem [53]. Gao et al. (2023) used evolutionary game theory to explore the collaborative mechanisms of value co-creation among core manufacturing enterprises, service enterprises and customers under the influence of differences in digitalization levels [54]. Dou et al. (2024) used evolutionary game theory to explore the value co-creation behaviors between heterogeneous subsidiaries and consumers within group enterprises [55].
2.5. Summary of Existing Research
The academic community has widely recognized that the digital economy has a positive impact on the development of the logistics industry. Simultaneously, some scholars have used quantitative analysis to conclude that the digital economy and the logistics industry have been preliminarily coupled in development. They have essentially determined that smart logistics platforms can serve as a carrier for logistics enterprises to co-create value in the context of digital transformation. The value co-creation generated by digital transformation will also have an impact on the organizational structure and member behavior. Additionally, evolutionary game theory has begun to be applied to the exploration of value co-creation issues in various fields. In the early stage of using evolutionary game to analyze related problems in the field of logistics, scholars mostly focused on logistics itself. Later, some scholars began to consider the research on the related problems between the logistics industry and the external subjects. However, according to the existing literature, there is a relative scarcity of studies on the digital transformation of bulk logistics, with most scholars only analyzing the necessity of digital transformation and the technologies required. There is a lack of in-depth and systematic research on the value co-creation behavior of bulk logistics enterprises in the process of digital transformation with other related enterprises or institutions.
Therefore, this paper takes bulk logistics enterprises as the main research object and comprehensively considers the business-related enterprises, service objects and government departments that have attracted much attention in the above literature. This study will use the evolutionary game model to analyze the value co-creation behavior of bulk logistics enterprises in the process of digital transformation and discuss the impact of other subjects’ behavioral decisions on value co-creation activities.
3. Materials and Methods
3.1. Analysis of the Relationship between Digital Transformation and Value Co-Creation
According to the existing literature, we have found a close connection between digital transformation and value co-creation. Therefore, it is necessary to first analyze the relationship between digital transformation and value co-creation. Clarifying this connection will help us understand why enterprises need to carry out value co-creation activities during the process of digital transformation, and it will also facilitate subsequent analysis of the behavioral strategies of bulk logistics enterprises and other related entities.
In the industrial economy era, if enterprises wanted to achieve excess profits, they had to innovate around the supply side to establish a comparative advantage, but to some extent, they neglected the value on the demand side [56]. As competition among enterprises intensifies in the digital economy, the potential for the supply side to create new value for enterprises has approached its limit, and the value on the demand side has begun to be fully reflected, leading to a shift in value creation from the supply side to the demand side [57]. In the digital economy, both the supply and demand sides hold equally important significance. The supply side no longer depends on itself to judge what products or services will be valuable to customers, but through the establishment of mutually beneficial cooperative relations with the demand side, it jointly contributes to the innovation of products and services. In addition, the digital platforms built by enterprises in the process of digital transformation have continuously reduced the connection distance and communication costs between the supply and demand sides, providing space for the supply and demand sides to create value together [58]. For example, China’s Meituan APP gathers different merchants from various industries such as catering, tourism, accommodation and transportation to provide users with the necessary life and entertainment services. It not only meets the requirements of demand-side users for one-stop services but also forms a supply-side service alliance with itself as the core.
According to the above analysis, we believe that the logic of value formation in the digital economy has undergone a fundamental change, and value co-creation has become an essential path for enterprises to achieve value reconstruction during the digital transformation process. This has made more and more enterprises realize that value is no longer generated through a one-way direct delivery but instead through active collaboration between the supply and demand sides to organize and co-create together. For this reason, we summarized the connection between digital transformation and value co-creation through Figure 1.
Figure 1.
The correlation logic between digital transformation and value co-creation.
As shown in Figure 1, the digital platform becomes the connection node between digital transformation and value co-creation. It not only serves as the infrastructure necessary for the digital transformation of enterprises but also lays a space for value co-creation. From an economic perspective, the digital platform constructs a two-sided market with strong network externalities for enterprises. The value of this market is influenced by users on both sides, who bring synergistic value to each other. Due to the existence of the critical mass and the network effect paradox [59], enterprises need certain competitive strategies and promotion measures to expand the scale of the network in order to make the network externalities of the two-sided market play a role. This will make the number of users of certain products or services in the market grow rapidly, showing a positive feedback effect. After the scale of the two-sided market network constructed by the digital platform breaks through the critical capacity, all the subjects in the market will form an economic consortium, and each subject will break the existing boundary and connect with each other to form a value chain. Different value chains interweave to form a closely related value network, where resources and information flow and circulate among various entities through the value network, achieving value co-creation among multiple entities.
3.2. Problem Description
Based on the analysis of Section 3.1, if bulk logistics enterprises want to achieve digital transformation through value co-creation activities, they need to build a smart logistics platform to establish connections with business-related enterprises and institutions. This forms an ecosystem network centered on the smart logistics platform as the basic condition for promoting value co-creation and adopts certain behavioral strategies to promote the expansion of the network nodes and scale enlargement. At the same time, the intelligent logistics platform is also an effective measure for bulk logistics enterprises to improve the pain points of digital transformation [7]. It can effectively improve the level of enterprise informatization, provide a medium for introducing external services and improving the service system and realize the aggregation and utilization of internal and external information resources.
We systematically sorted out the logical relationships between various entities in the bulk commodity supply chain and drew Figure 2. Bulk logistics enterprises can provide logistics services such as transportation, storage and packaging between any pair of upstream and downstream enterprises in the bulk commodity supply chain. After the bulk logistics enterprise builds the smart logistics platform, due to the limitations of its own business scope and technical level, it needs the assistance of other related enterprises such as financial institutions to provide integrated logistics, financial and information services through the platform for service objects. Therefore, bulk logistics enterprises need to strive for the recognition and support of other stakeholders in order to achieve the goal of jointly carrying out resource integration, service innovation and knowledge sharing with other business-related enterprises in value co-creation activities and, at the same time, need to take a series of measures to avoid losses due to speculative behavior. In addition, considering that government departments will carry out macro-control over the bulk industry and pay attention to and supervise the monopoly issues of digital platforms [60], bulk logistics enterprises also need to take into account the government’s attitude and guidance in the decision-making process.
Figure 2.
Multi-agent logical relationship from the perspective of bulk commodity supply chain.
Based on this, this study mainly explores the following three research questions:
Q1: What factors influence various stakeholders, including bulk logistics enterprises, to adopt proactive strategies when participating in value co-creation?
Q2: Considering the macro-control of the government department over value co-creation activities, what impact will the change in attitude of government departments have on value co-creation activities?
Q3: What is the final stable state between bulk logistics enterprises and related entities? What insights does this provide for bulk logistics enterprises to build service capabilities oriented to the entire bulk commodity supply chain through value co-creation?
3.3. Model Assumptions and Parameter Settings
Due to the current general low level of digital transformation in bulk logistics enterprises [7], the behavioral strategies they adopt are random and subject to change over time. After some bulk logistics enterprises achieve results in digital transformation, the remaining bulk logistics enterprises will choose their strategies based on existing experience. This indicates that the behavioral strategies of bulk logistics enterprises fully meet the characteristics required by evolutionary game theory for the research object of the game model, which includes the ability to change strategies over time, the coexistence of selection and mutation during the evolution process and a certain inertia in the formulation of behavioral strategies. In order to facilitate the construction of the model, combined with the actual role of various enterprises in the bulk supply chain, this study classifies financial institutions and other related enterprises as auxiliary enterprises and classifies upstream production enterprises, midstream processing enterprises and downstream sales enterprises as service objects.
Based on this, this paper constructs a four-party game model of value co-creation for bulk logistics enterprises under digital transformation and represents it through Figure 3.
Figure 3.
The logical relationship of the four parties in the value co-creation game model.
Based on the above description and in conjunction with the actual situation, to make the research more targeted, the following assumptions are proposed:
- Assumption 1: game players
In the game scenario, there are four main players: bulk logistics enterprises, supporting enterprises, service objects and government departments. All four players are risk-neutral, have information asymmetry with each other, and only act with bounded rationality. Each player has two strategic choices. The strategy space for bulk logistics enterprises is active promotion or passive promotion, for supporting enterprises is active cooperation or passive cooperation, for service objects is active participation or passive participation and for government departments is active support or limited support.
- Assumption 2: participation costs
When bulk logistics enterprises and supporting enterprises choose a passive strategy, they will incur basic operating costs. When service objects choose a passive strategy, they will pay for basic products or services. When the above three entities all choose active strategies, in addition to the basic costs, they will also incur certain additional costs. The additional costs are specifically manifested as the smart logistics platform construction costs paid by bulk logistics enterprises, the platform-related usage fees paid by supporting enterprises and the value-added service surcharges paid by service objects. Furthermore, when bulk logistics enterprises choose an active strategy, there will be certain negative losses due to the supporting enterprises choosing a passive strategy.
- Assumption 3: participation benefits
When bulk logistics enterprises and supporting enterprises choose a passive strategy, they will only receive basic operating income. When service objects choose a passive strategy, they will only receive the basic utility of products or services. When the above three entities all choose active strategies, in addition to receiving basic benefits, they will receive certain additional benefits or utility, and it will also bring additional economic benefits such as increased tax revenue to the region. When service objects choose an active strategy, and one of the bulk logistics enterprises and supporting enterprises chooses an active strategy while the other chooses a passive strategy, the party that chooses the active strategy will receive a small amount of additional benefits, service objects will receive a small amount of additional utility, and it will also bring a small amount of economic benefits to the region.
- Assumption 4: rewards and penalties
Supporting enterprises need to sign a cooperation agreement with bulk logistics enterprises in the process of participating in value co-creation. When supporting enterprises actively cooperate with bulk logistics enterprises, the latter will give rewards to the supporting enterprises. When one party of supporting enterprises and bulk logistics enterprises chooses an active strategy and the other chooses a passive strategy, the party that adopts the passive strategy must pay a penalty for breach of contract to the party that adopts the active strategy. When service objects adopt a passive strategy, they will not cause any loss to other entities nor will they receive any rewards or penalties.
- Assumption 5: government support
When the government chooses the active support strategy, it will give varying degrees of policy rewards to bulk logistics enterprises, supporting enterprises and service objects that choose active strategies. When the government chooses the limited support strategy, it will only give policy rewards to bulk logistics enterprises that choose active strategies.
Based on the above assumptions, the definition of related parameters in the game model is shown in Table 1.
Table 1.
Payment matrix of four-party evolutionary game with active government support.
3.4. Description of the Behavioral Strategies of the Four Parties
According to the four-party game model of value co-creation of bulk logistics enterprises under digital transformation established in Section 3.2, the four subjects involved are bulk logistics enterprises, supporting enterprises, service objects and government departments. In the value co-creation activities involving the four parties, each stakeholder may adopt two opposing behavioral strategies due to their different value acquisitions. The behavioral strategies of each class of game players are analyzed as follows:
- Behavioral strategy analysis of bulk logistics enterprises
In the process of the value co-creation evolutionary game, the behavioral strategy adopted by bulk logistics enterprises plays a guiding role in the formation of the whole value co-creation. Specifically, when the bulk logistics enterprises adopt the “proactive promotion” strategy, they will maximize their own resources and capabilities, as well as actively seek cooperation with supporting enterprises and support from government departments according to their own service pain points and defects and the actual needs of service objects, so as to fully carry out value co-creation activities. When bulk logistics enterprises adopt the strategy of “negative promotion”, it is usually due to the consideration of high input costs, self-speculation and other factors so as to reduce the investment in the resources they hold or the capabilities they have, and sometimes, they even intend to obtain speculative returns through the resources provided by supporting enterprises or the support provided by government departments so as to maximize their own interests.
- 2.
- Behavioral strategy analysis of supporting enterprises:
In the process of the value co-creation evolutionary game, the behavioral strategy adopted by the supporting enterprises plays a guaranteed role in the formation of the whole value co-creation. Specifically, when the supporting enterprise adopts the strategy of “active cooperation”, it will actively link with the bulk logistics enterprise and share resources, capabilities and other elements and, at the same time, optimize, restructure and cooperate with the bulk logistics enterprise in business and service and provide external services through unified output. When the supporting enterprise adopts the strategy of “negative cooperation”, it is usually due to the insufficient promotion of the bulk logistics enterprise as the core leader, which leads to excessive investment in its own cost, or the income obtained by participating in collaborative cooperation is almost the same as that obtained by operating alone. At this time, the supporting enterprises will not participate in the value co-creation activities because of the consideration of the cost of obtaining their own interests and the ability to bear risks.
- 3.
- Behavioral strategy analysis of service objects:
In the process of the value co-creation evolutionary game, the behavioral strategy adopted by the service object plays a solid role in the formation of the whole value co-creation. Specifically, when the service object adopts the strategy of “active participation”, it will take the initiative to pass its own ideas and knowledge to the bulk logistics enterprises and supporting enterprises providing services to meet its own needs because it wants to obtain products or services that better meet its own needs. When the service object adopts the strategy of “passive participation”, it will not take the initiative to pass its real needs to the bulk logistics enterprises and supporting enterprises. Due to the speculative psychology of the service objects, sometimes, it is difficult for the bulk logistics enterprises and supporting enterprises to obtain the real needs of the service objects even when they take measures such as employing questionnaire surveys or interviews with prizes, thus hindering the development of value co-creation activities.
- 4.
- Behavioral strategy analysis of government departments:
In the process of the value co-creation evolutionary game, the behavioral strategy adopted by the government department plays a supporting role in the formation of the whole value co-creation. Specifically, when the government adopts the strategy of “active support”, it will help the bulk logistics enterprises solve the various problems encountered in the process of leading value co-creation by issuing preferential policies and granting financial subsidies and, at the same time, improve the enthusiasm of supporting enterprises and service objects to join the value co-creation system by giving support or rewards. When government departments adopt the strategy of “limited support”, although they will issue certain policy documents to give guided support, they will only take limited or no substantive actions to help bulk logistics enterprises solve the problems encountered in the process of value co-creation or give corresponding financial support and will not actively encourage supporting enterprises and service objects to join the value co-creation system.
3.5. Value Co-Creation Evolutionary Game Payment Matrix
According to the logical relationship of the four parties in the four-party game model of value co-creation of bulk logistics enterprises under the digital transformation discussed in 3.2 and combined with the basic assumptions and parameter settings in 3.4, the four-party evolutionary game payment matrix of bulk logistics enterprises, supporting enterprises, service objects and government departments is constructed, as shown in Table 2 and Table 3, respectively. In the table, from top to bottom, the incomes of bulk logistics enterprises, supporting enterprises, service objects and government departments are shown.
Table 2.
Payment matrix of four-party evolutionary game with active government support.
Table 3.
Payment matrix of four-party evolutionary game with limited government support.
4. Analysis of Strategic Stability of Each Game Player
Based on the four-party evolutionary game payment matrix constructed in Section 3, this section will adopt the replication dynamic equation from evolutionary game theory to describe the changes among various entities in different strategies during the evolution process. By drawing the phase diagrams for each entity, it will analyze the behavioral trends of the groups of entities in specific environments, thereby identifying the key factors influencing the choice of active strategies by each entity.
4.1. Bulk Logistics Enterprises
The expected revenue of bulk logistics enterprises choosing the “active promotion” strategy is:
The expected revenue of bulk logistics enterprises choosing the “negative promotion” strategy is:
Therefore, the average revenue of bulk logistics enterprises is:
Then, the replication dynamic equation of bulk logistics enterprises is obtained as follows:
The first derivative function of the replication dynamic equation for bulk logistics enterprises is:
According to the stability theorem of differential equations, when a bulk logistics enterprise chooses the “active promotion” strategy or the “negative promotion” strategy and is in a stable state, the replication dynamic equation and the first derivative of the replication dynamic equation should be satisfied.
Proposition 1.
There exists . When , the stable strategy of bulk logistics enterprises is active promotion with value co-creation; when , the stable strategy of bulk logistics enterprises is negative promotion with value co-creation. When , the stability strategy adopted by the bulk logistics enterprise cannot be determined.
Proof of Proposition 1.
Let function be as follows:
Since , it shows that the function is a decreasing function. When , there exists a threshold, , as follows:
When , , and there exists any , which is a stable point, the stable strategy adopted by bulk logistics enterprise cannot be determined. When , it can be deduced from that there are zero points and , meaning that the bulk logistics enterprises adopting active promotion and negative promotion are both in stable states. When , , and , at this time, the bulk logistics enterprises choosing the “negative promotion” strategy are in a stable state. When , , and , the bulk logistics enterprises choosing the “active promotion” strategy are in a stable state. □
Proposition 1 shows that there is a positive correlation between the enthusiasm of mass logistics enterprises to carry out value co-creation activities and the enthusiasm of service objects to participate in value co-creation activities. When the degree of participation of the service object is not high, even if the bulk logistics enterprise actively promotes the value co-creation activity, it is difficult to obtain the expected income. When the participation of the service object gradually increases, the stable strategy of bulk logistics enterprises is to actively promote value co-creation activities. Combined with the theory of digital economics, it can be analyzed that bulk logistics enterprises can realize the connection and interaction with service objects by using the intelligent logistics platform, and the obtained threshold is the critical capacity of service objects to actively participate in value co-creation activities. When the critical capacity is broken, the value spillover generated by network externalities between bulk logistics enterprises and service objects will be transmitted to each other, thus achieving a positive feedback effect similar to mutual positive promotion.
According to Proposition 1, the phase diagram of strategy selection for promoting value co-creation activities of bulk logistics enterprises is shown in Figure 4. The volume of represents the probability that the bulk logistics enterprise chooses to negatively promote the value co-creation activity, while the volume of represents the probability that the bulk logistics enterprise chooses to actively promote the value co-creation activity.
Figure 4.
The phase diagram of bulk logistics enterprise value co-creation activity strategy selection.
Combining the changes in the phase diagram and Equation (7), it can be seen that in the process of participating in value co-creation, bulk logistics enterprises can achieve a rapid breakthrough in critical capacity by issuing rewards to auxiliary enterprises and service objects so as to improve the probability of these two types of subjects actively participating in value co-creation. However, it is also necessary to pay attention to optimizing and adjusting the reward strategy in time; otherwise, it will bring a cost burden to itself due to giving too many rewards, which will affect its participation in value co-creation activities. In addition, the policy rewards given by the government will be conducive to the advancement of value co-creation activities by bulk logistics enterprises.
4.2. Supporting Enterprises
The expected revenue of supporting enterprises choosing the “active cooperation” strategy is:
The expected revenue of supporting enterprises choosing the “negative cooperation” strategy is:
Therefore, the average revenue of supporting enterprises is:
Then, the replication dynamic equation of the supporting enterprise is obtained as follows:
The first derivative function of the replication dynamic equation for supporting enterprise is:
When the supporting enterprise chooses the “active cooperation” strategy or the “negative cooperation” strategy and is in a stable state, the replication dynamic equation and the first derivative of the replication dynamic equation should be satisfied.
Proposition 2.
There exists . When , the stable strategy of the supporting enterprise is active cooperation with value co-creation activities; When , the stable strategy of the supporting enterprise is negative cooperation with value co-creation. When , the stable strategy adopted by the supporting enterprise cannot be determined.
Proof of Proposition 2.
Let function be as follows:
Since , it shows that the function is a decreasing function. When , there exists a threshold, , as follows:
When , , and there exists any is a stable point, the stable strategy adopted by the supporting enterprise cannot be determined. When , it can be deduced from that there are zero points and , meaning that the supporting enterprise adopting “positive cooperation” and “negative cooperation” are both in stable states. When , , and , at this time, the supporting enterprises choosing the “negative cooperation” strategy are in a stable state. When , , and , the supporting enterprises choosing the “positive cooperation” strategy are in a stable state. □
Proposition 2 shows that the enthusiasm of supporting enterprises to participate in value co-creation activities is positively correlated with the support of government departments to the leading value co-creation activities of bulk logistics enterprises. When the support of government departments is limited, due to the lack of policy guidance and support, the risks brought by the market and the instability of the cooperative relationship will increase when the supporting enterprises participate in the value co-creation activities led by the bulk logistics enterprises, which will limit their enthusiasm to cooperate with the value co-creation activities. When the government departments gradually increase the support for the leading value co-creation activities of bulk logistics enterprises, the stable strategy of supporting enterprises is to actively cooperate with the value co-creation activities. When the “visible hand” of the government intervenes in the market, the economic entities in the market will basically follow the relevant policy guidance and make strategic adjustments in accordance with the changes in the market wind direction to obtain greater market returns. Therefore, when government departments actively support mass logistics enterprises to carry out value co-creation activities, supporting enterprises will actively respond and cooperate with the development of value co-creation activities.
According to Proposition 2, the phase diagram of supporting enterprises to promote the strategy selection of value co-creation activities is shown in Figure 5. The volume of represents the probability of supporting the enterprise to choose the active cooperative value co-creation activity, while the volume of represents the probability of supporting the enterprise to choose the negative cooperative value co-creation activity.
Figure 5.
The phase diagram of supporting enterprise value co-creation activity strategy selection.
Incorporating the phase diagram variations and Equation (14), it is evident that when supporting enterprises actively participate in value co-creation, they can reap greater benefits by investing more resources, which is conducive to their continuous self-driven cooperation in value co-creation activities. Moreover, the presence of penalty clauses for breach of contract in the cooperation agreements signed between supporting enterprises and bulk logistics enterprises will influence the strategic choices of supporting enterprises in participating in value co-creation.
4.3. Service Objects
The expected revenue of the service object choosing the “active participation” strategy is:
The expected revenue of the service object choosing the “passive participation” strategy is:
Therefore, the average revenue of the service object is:
Then, the replication dynamic equation of the service object is obtained as follows:
The first derivative function of the replication dynamic equation for the service object is:
When the service object chooses the “active participation” strategy or the “passive participation” strategy and is in a stable state, the replication dynamic equation and the first derivative of the replication dynamic equation should be satisfied.
Proposition 3.
There exists . When , the stable strategy of the service object is active participation with value co-creation. When , the stable strategy of the service object is passive participation with value co-creation. When , the stability strategy adopted by the service object cannot be determined.
Proof of Proposition 3.
Let function be as follows:
Since , it is shown that the function is an increasing function. When , there exists a threshold, , as follows:
When , , and there exists any which is a stable point, the stable strategy adopted by the service object cannot be determined. When , it can be deduced from that there are zero points and , meaning that the service object adopting “active participation” and “passive participation” are both in stable states. When , , and , at this time, the service object choosing the “passive participation” strategy is in a stable state. When , , and , the service object choosing the “active participation” strategy is in a stable state. □
Proposition 3 indicates that the enthusiasm of the service object in participating in value co-creation activities is positively correlated with the extent of the bulk logistics enterprise’s leading promotion in the value co-creation obtained. When the bulk logistics enterprise’s promotion of the value co-creation activities it leads is insufficient, the service object will not take the initiative to participate in the value co-creation activities and will be more inclined to accept existing products or services. However, as the bulk logistics enterprise gradually increases its promotion of the value co-creation activities it leads, the stable strategy of the service object is to actively participate in value co-creation activities. Combining theories related to digital economics, it can be concluded that when the bulk logistics enterprise takes the initiative to promote value co-creation activities, it will shift its business logic from product dominance to service dominance. The service object will also occupy a core position in the marketing strategy of the bulk logistics enterprise and can directly communicate and interact with the bulk logistics enterprise through a smart logistics platform. This allows the service object to have more needs met and to transfer the value generated by each other through the smart logistics platform, thereby greatly enhancing the enthusiasm of the service object to participate in value co-creation activities and forming a positive mutual promotion relationship with the bulk logistics enterprise.
According to Proposition 3, the phase diagram of strategy selection of value co-creation activities promoted by service objects is shown in Figure 6. The volume of represents the probability that the service object chooses to actively participate in the value co-creation activity, while the volume of represents the probability that the service object chooses to passively participate in the value co-creation activity.
Figure 6.
The phase diagram of service object value co-creation activity strategy selection.
Incorporating the changes in the phase diagram and Equation (21), it can be seen that when the service object participates in value co-creation, if it can pay additional costs to the bulk logistics enterprises, the service object will eventually participate in value co-creation activities through its own initiative. The corresponding real-world market scenario is as follows: In addition to providing the most basic products or services, bulk logistics enterprises will also collaborate with supporting enterprises to offer other value-added products or services. If service objects choose to purchase not only the basic products or services but also the value-added products or services, this will encourage bulk logistics enterprises to continuously meet any demands that the service objects have for the products or services. Although service objects incur higher costs, they will gain more utility from the products or services as their needs are continuously satisfied.
4.4. Government Departments
The expected revenue of the government departments choosing the “active support” strategy is:
The expected revenue of the government departments choosing the “limited support” strategy is:
Therefore, the average revenue of the government departments is:
Then, the replication dynamic equation of the government departments is obtained as follows:
The first derivative function of the replication dynamic equation for the service object is:
When the government departments choose the “active support” strategy or the “limited support” strategy and is in a stable state, the replication dynamic equation and the first derivative of the replication dynamic equation should be satisfied.
Proposition 4.
There exists . When , the stable strategy of the government departments is active support with value co-creation. When , the stable strategy of the government departments is limited support with value co-creation. When , the stability strategy adopted by the government departments cannot be determined.
Proof of Proposition 4.
Let function be as follows:
Since , it is shown that the function is an increasing function. When there exists a threshold, , as follows:
When , , and there exists any which is a stable point, the stable strategy adopted by the government departments cannot be determined. When , it can be deduced from that there are zero points and , meaning that the government departments adopting “active participation” and “passive participation” are both in stable states. When , , and , at this time, the government departments choosing the “limited support” strategy are in a stable state. When , , and , the government departments choosing the “active support” strategy are in a stable state. □
Proposition 4 shows that there is a negative correlation between government departments’ support for value co-creation activities and bulk logistics enterprises’ promotion of leading value co-creation activities. When the bulk logistics enterprises negatively promote the value co-creation activities, the government departments will choose to actively support the development of value co-creation for the development of the whole industry and macroeconomy so as to mobilize the enthusiasm of the bulk logistics enterprises to promote the leading value co-creation activities.
When bulk logistics enterprises actively promote value co-creation activities, the stable strategy of government departments is limited support for value co-creation activities. Combined with the theory of digital economics, it can be analyzed that bulk logistics enterprises, as the leading core of value co-creation activities, have basically mastered the operation rules of the market in which they are located. At this time, the government departments do not need to intervene too much in the market. Excessive intervention will affect the enthusiasm of bulk logistics enterprises and supporting enterprises to carry out value co-creation activities in coordination. In this regard, government departments will gradually reduce or even cancel support for value co-creation so that resources will be invested in the development of other industries.
According to Proposition 4, the phase diagram of government departments supporting the strategy selection of value co-creation activities is shown in Figure 7. The volume of represents the probability that government departments choose to actively support value co-creation activities, and the volume of represents the probability that government departments choose to limit their support of value co-creation activities.
Figure 7.
The phase diagram of government supporting value co-creation activity strategy selection.
Combined with the phase diagram change and Equation (28), when government departments participate in value co-creation, they can mobilize the enthusiasm of these two types of subjects to participate in value co-creation by giving policy incentives to supporting enterprises and service objects so as to help bulk logistics enterprises promote the development of value co-creation activities faster. However, in this process, policy incentives also need to be adjusted in a timely manner. If the policy rewards received by supporting enterprises and service objects are too high, the investment in resource elements for value co-creation will be reduced due to speculative psychology, which will affect the enthusiasm of bulk logistics enterprises to participate in value co-creation and will also affect the cooperation between these three types of entities, resulting in the obstruction of value co-creation activities.
4.5. Discussion
This section draws the following findings: First, combined with the analysis of Propositions 1–3, additional cost input is one of the factors that affects the choice of active strategies of bulk logistics enterprises, supporting enterprises and service objects to participate in value co-creation. Secondly, based on the analysis of Proposition 2, the penalty for breach of contract stipulated in the cooperation agreement signed by bulk logistics enterprises and supporting enterprises will affect the choice of strategy. Finally, combined with the analysis of Proposition 1 and Proposition 4, the policy incentives given by the government will increase the enthusiasm of the three other entities to participate in value co-creation, but the support given by government departments may change with the strategic choices of other subjects.
In summary, it can be concluded that the additional costs paid by bulk logistics enterprises, supporting enterprises and service objects, the contract penalty cost between bulk logistics enterprises and supporting enterprises and the policy incentives given by government departments are the key factors affecting the strategic choice of all entities. From this, the answers to Question 1 and Question 2 posed in Section 3.2 are obtained. However, how the above three key factors affect the strategy selection of each subject will be explored in depth through numerical simulation in Section 6.
5. Stability Analysis of Strategy Combination
According to the analysis in Section 4, this study discusses the stability of each entity’s behavioral strategy in the evolutionary game model of value co-creation under the digital transformation of bulk logistics enterprises. The application of new-generation information technology has reduced the degree of information asymmetry among various entities; thus, the choice of behavioral strategies by each entity is significantly influenced by the others. Therefore, according to the replication dynamic equation of the four-game players, such as bulk logistics enterprises, supporting enterprises, service objects and government departments, analyzed in Section 4, the four-game replication dynamic system of the value co-creation evolutionary game of bulk logistics enterprises under the digital transformation and under the joint construction is as follows:
According to the replication dynamic system mentioned above, the possible balanced combinations of strategies are calculated by constructing the Jacobian matrix. Ritzberger’s research shows that the stable solution of multiple populations in an evolutionary game must be a strict Nash equilibrium, and the strict Nash equilibrium must be a pure strategy [61]. Therefore, in the game replication dynamic system constructed in this study, there are 16 possible strategy equilibrium combinations.
In accordance with the first Lyapunov theorem, by substituting the equilibrium points into the Jacobian matrix sequentially, if all the eigenvalues of the Jacobian matrix are less than zero, it signifies that the dynamic system can progressively achieve asymptotic stability. Consequently, when the eigenvalues of the Jacobian matrix corresponding to a certain equilibrium point are all less than zero, it can be regarded that under the combined strategy represented by this equilibrium point, the four-party game replication dynamic system reaches a stable state. The following analysis will separately consider the scenarios where the government department adopts the “active support” strategy and the “limited support” strategy to examine the stability of the four-party game replication dynamic system in order to explore the equilibrium states of this system.
5.1. Analysis of Strategy Combination Stability under Active Government Support
When the government opts for an active support strategy, the corresponding eight sets of equilibrium points are sequentially substituted into the Jacobian matrix, and the results are shown in Table 4.
Table 4.
Stability analysis of four-party evolutionary game with active government support.
From Table 4, it can be inferred that when the government adopts an active support strategy, there are no stable equilibrium points that belong to pure strategies under this scenario. The sign characteristics of the equilibrium point in the four-party game replication dynamic system indicate that regardless of whether the supporting enterprise’s cooperation strategy is stable, the stable strategies for the bulk logistics enterprise and the service object are to actively promote and actively participate, respectively. The stability of the government’s strategy depends on the size of the policy rewards given by the government to the bulk logistics enterprise and the rewards given by the bulk logistics enterprise to the supporting enterprises and service objects. In the case of the equilibrium point , the supporting enterprise’s cooperation strategy is unstable, which is consistent with the conclusion of Proposition 4 in Section 4.4. When the government provides more policy rewards to supporting enterprises and service objects, the supporting enterprises will make decisions based on the principle of maximizing their own interests and develop speculative psychology. This leads to a reduction in their participation in value co-creation activities and the intensity of resource element input, mainly aiming to earn speculative profits to achieve the maximization of their own interests.
This can be a revelation: Government department needs to play the role of environmental supporters. In the early stages of value co-creation activities led by bulk logistics enterprises, they can build a favorable business environment by providing policy rewards to the three other entities. This enables bulk logistics enterprises to maintain leadership and advancement in value co-creation activities over the long term while also taking into account the enthusiasm of supporting enterprises in cooperating with value co-creation activities and the enthusiasm of service objects in participating in these activities. When bulk logistics enterprises can form a positive collaboration with supporting enterprises and service objects to jointly promote value co-creation activities, governments can gradually phase out policy rewards for the three entities and shift to market regulation of value co-creation activities to ensure the healthy development of the industry.
5.2. Analysis of Strategy Combination Stability under Limited Government Support
When the government opts for a limited support strategy, the corresponding eight sets of equilibrium points are sequentially substituted into the Jacobian matrix. The eigenvalues of the resulting Jacobian matrices and the stability analysis are presented in Table 5.
Table 5.
Stability analysis of four-party evolutionary game with limited government support.
As can be seen from Table 5, there are two possible stable equilibrium points when the government chooses the “limited support” strategy.
Since conditions ① and ② cannot be met simultaneously, the equilibrium points and cannot occur at the same time. Condition ① implies that when the bulk logistics enterprise actively promotes value co-creation activities, the total additional cost is much greater than the additional revenue obtained . Condition ② implies that when the bulk logistics enterprise actively advances value co-creation activities, the total additional cost is less than the additional revenue obtained .
The equilibrium point does not align with the results of the replication dynamics analyses in Section 4.1 and Section 4.4. In the actual market environment, the rewards and that the bulk logistics enterprise provides to supporting enterprises and service objects in promoting value co-creation activities depend on the profitability level of the bulk logistics enterprise itself, and they will not provide excessive rewards to avoid causing their own cost losses. The cost invested by the bulk logistics enterprise mainly comes from the construction of new infrastructure such as smart logistics platforms, and the funds and resources they are required to pay for are usually high. Therefore, once the bulk logistics enterprise chooses to build new infrastructure like smart logistics platforms, it will inevitably choose an active strategy to avoid wasting the high investment and affecting normal business operations. Based on this, if the bulk logistics enterprise adopts a passive strategy, the supporting enterprises and service objects will certainly not choose to adopt an active strategy, so this equilibrium point does not conform to the actual business logic.
The equilibrium point represents a strategy combination that is consistent with the results of the replication dynamics analysis in Section 4. At this point, because the bulk logistics enterprise chooses to actively promote the development of value co-creation activities, the supporting enterprises and service objects also choose to adopt active strategies towards value co-creation activities. The bulk logistics enterprise can gradually achieve digital transformation at the ecosystem level according to its own expectations by carrying out value co-creation activities. The supporting enterprises and service objects will also maximize their own interests by benefiting from the ecosystem network constructed by the bulk logistics enterprise. Since the three other main entities can collaborate effectively and efficiently and can use market resource elements to actively drive the development of the industrial economy, the government department can also gradually reduce the support for value co-creation, thereby being able to transfer more resources to the economic development of other industries.
5.3. Discussion
This section further supplements the answer to Question 2 and provides the answer to Question 3. Based on the analysis of the two possible stable equilibrium points, is the rational evolutionary stable strategy combination in the evolutionary game model of value co-creation by bulk logistics enterprises under digital transformation. The combination of evolutionary stable strategies shows that in value co-creation activities, bulk logistics enterprises, supporting enterprises and service objects are the three core value creation subjects. Government departments will gradually reduce their support as the value co-creation activities of enterprises reach a certain level and may even adopt an exit strategy to continuously decrease their support for value co-creation activities.
In addition, combined with the analyses of Section 4 and Section 5, it can be concluded that the bulk logistics enterprises are the core leaders of leading value co-creation activities, the supporting enterprises are the collaborators who cooperate with the bulk logistics enterprises to carry out value co-creation activities, the service objects are the demand gatherers who accept the services of bulk logistics enterprises and supporting enterprises in value co-creation activities, and the government departments are the environmental supporters to ensure the smooth development of value co-creation activities.
6. Simulation Analysis
To demonstrate the impacts of key elements in the replication dynamic system on the evolution process and outcomes of the multi-party game, we conduct a numerical analysis of the evolution trajectories of each game party using Matlab R2021a. Since we are familiar with the Chinese bulk commodity market and can obtain relevant first-hand data, we choose the JN Port and Shipping Development Group in China as a case study for research.
6.1. Verifying the Rationality of the Case Subject
This study utilizes numerical simulation to determine if the case subject is consistent with the proposed four-party evolutionary game model, ensuring that the subsequent strategies and recommendations are scientifically valid and rational.
Numerical simulation should be conducted under the premise of meeting the conditions ② proposed in Section 5.2, based on the actual operating data of the JN Port and Shipping Development Group and its partner enterprises, as well as relevant data from policy documents where the enterprises are located. After anonymization, the parameters are assigned as follows: , , , , , , , , , , , , , , , , .
Based on the parameters set above, considering all four parties as risk neutral, the probability that the JN Port and Shipping Development Group, as the leader in value co-creation, adopts an active strategy should be greater than the probability that the supporting enterprises and service objects adopt active strategies. The government department, as an environmental supporter, should initially adopt an active strategy. Therefore, the initial strategies for the four parties are set as , and the resulting evolutionary image is shown in Figure 8.
Figure 8.
The evolution process of the four-party subject strategy in the initial state.
The government department adopts an active strategy at the initial stage of value co-creation activities to provide a favorable development environment for the JN Port and Shipping Development Group. As the probability of the JN Port and Shipping Development Group and the supporting enterprises adopting active strategies gradually approaches 1, the probability of the government department adopting active strategies will begin to show a downward trend. This decrease will be accompanied by an increase in the probability of service objects adopting an active participation strategy. When the probability of service objects adopting active strategies gradually approaches 1, the probability of the government department adopting active strategies will gradually approach 0.
The evolution process mentioned above is consistent with the behavioral strategy analysis results in Section 4.4 and also aligns with the stable state analysis of the value co-creation four-party evolutionary system in Section 5.2, reaching a stable equilibrium state of , which proves the rationality of the choice of application example. At the same time, this evolution process shows that when the three other parties can form a good cooperative relationship and rely on market mechanisms to jointly carry out value co-creation activities, the government department no longer needs to intervene in the market and provide environmental support. The next section will analyze several key factors that influence value co-creation activities.
6.2. Analysis of the Impact of Government Support on Strategy
Government departments play a crucial role in assisting bulk logistics enterprises in carrying out value co-creation activities and achieving their development goals, which is specifically manifested in the introduction of favorable policies and financial support. Favorable policies can greatly help enterprises achieve their development goals more quickly, while financial support can help reduce the operational costs to a certain extent.
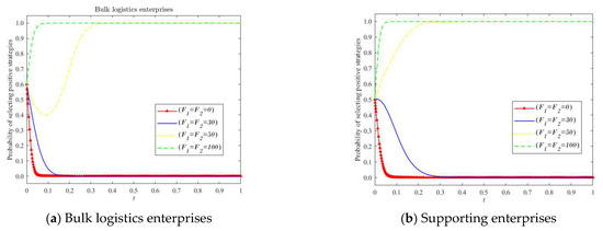
First, an analysis of the different states of government policy support for value co-creation activities is conducted. In conjunction with the game model, indicates that the government department adopts a strategy with limited support, suggests that the government department’s support strategy is intermediate between active and limited strategies, and signifies that the government department adopts an actively supportive strategy. Based on this, simulations of the evolution process for the JN Port and Shipping Development Group, supporting enterprises and service objects under varying degrees of support are carried out, as illustrated in Figure 9.
Figure 9.
The evolution of strategies under different levels of support from government departments: (a) limited support; (b) general support; (c) active support.
When the government department is in a state of limited or average support, the final stable strategy for the three other parties is not unique. When the government department is actively supportive, the three other parties will eventually evolve towards the state of . This evolution indicates that when the government department’s support is insufficient, and if the JN Port and Shipping Development Group also adopts a more passive strategy, the supporting enterprises and service objects will gradually lose their enthusiasm for participating in value co-creation activities, leading to the ultimate failure of the value co-creation activities. When the government department actively provides support, all parties will actively cooperate within the economic environment constructed by the government department to jointly promote the development of value co-creation activities.
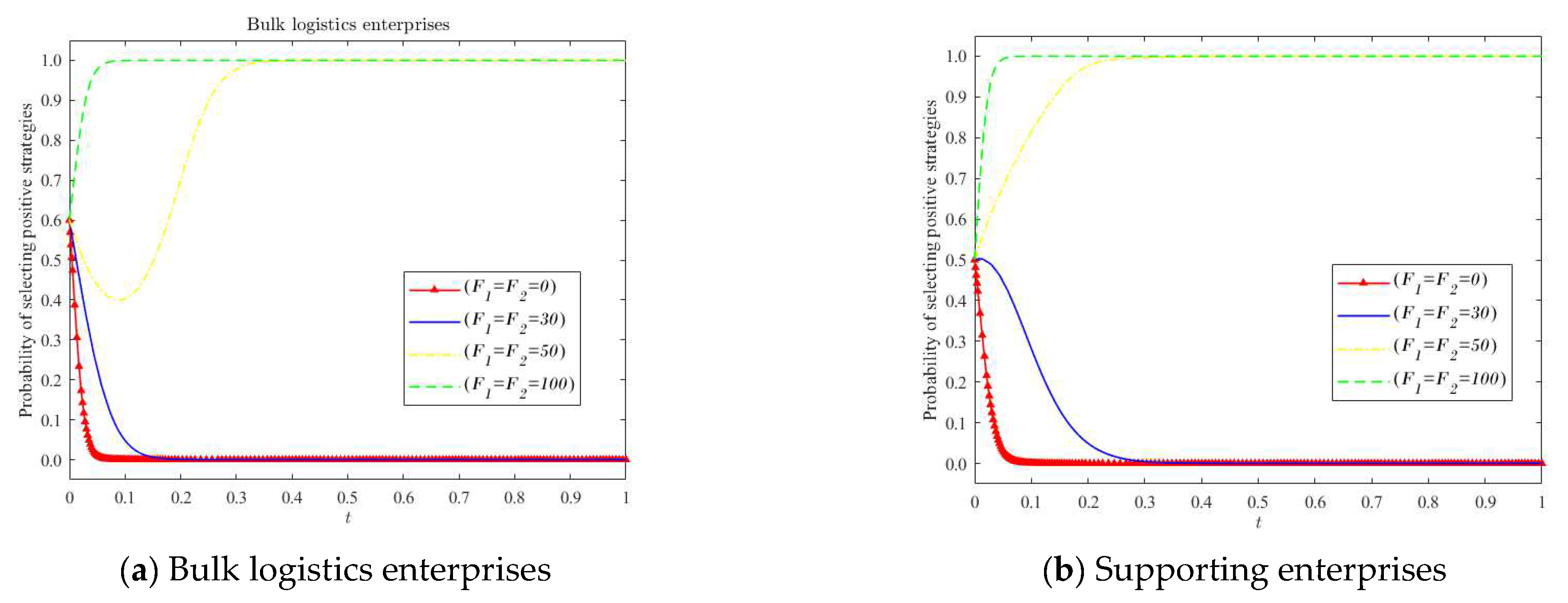
Next, an analysis of the financial support provided by the government department is conducted. Financial support can specifically be reflected through various ways such as tax relief, financing support, environmental optimization and one-time rewards. In the context of digital transformation, due to the substantial financial and human resource costs involved in building new infrastructure such as smart logistics platforms, direct financial support from the government department will be more helpful in reducing the cost input of the JN Port and Shipping Development Group, allowing the enterprise to allocate more resources to other aspects of development. Based on this, an analysis of the evolution of the JN Port and Shipping Development Group under different levels of policy rewards is conducted, as shown in Figure 10.
Figure 10.
The strategy evolution process of the JN Group under different forms of financial support.
Figure 10 shows that financial support from the government department significantly promotes the progress of the JN Port and Shipping Development Group in actively advancing value co-creation activities. When the government department is unable to provide financial support, there will be significant fluctuations in the enterprise’s strategic choices. At this time, since the enterprise has not received any financial support, it implies the need to invest additional costs to ensure the normal conduct of value co-creation activities. This is a huge test for the actual operation of the enterprise, making it necessary for the enterprise to make more cautious decisions on whether to lead the value co-creation activities. As the financial support that the government department can provide increases, it is evident that the evolution of the JN Port and Shipping Development Group towards actively promoting value co-creation activities accelerates.
From this, an insight can be drawn that in the early stages of bulk logistics enterprises leading the development of value co-creation activities to form an integrated bulk supply chain service capability, government departments can, in line with actual conditions, appropriately provide certain financial support to bulk logistics enterprises and even offer supporting enterprises and service objects certain policy rewards to more rapidly construct a market economic environment that is suitable for bulk logistics enterprises to carry out value co-creation activities, helping bulk logistics enterprises to accelerate the formation of an integrated bulk supply chain service capability.
6.3. The Impact of Additional Cost Investment on Strategy Evolution
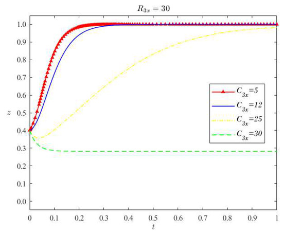
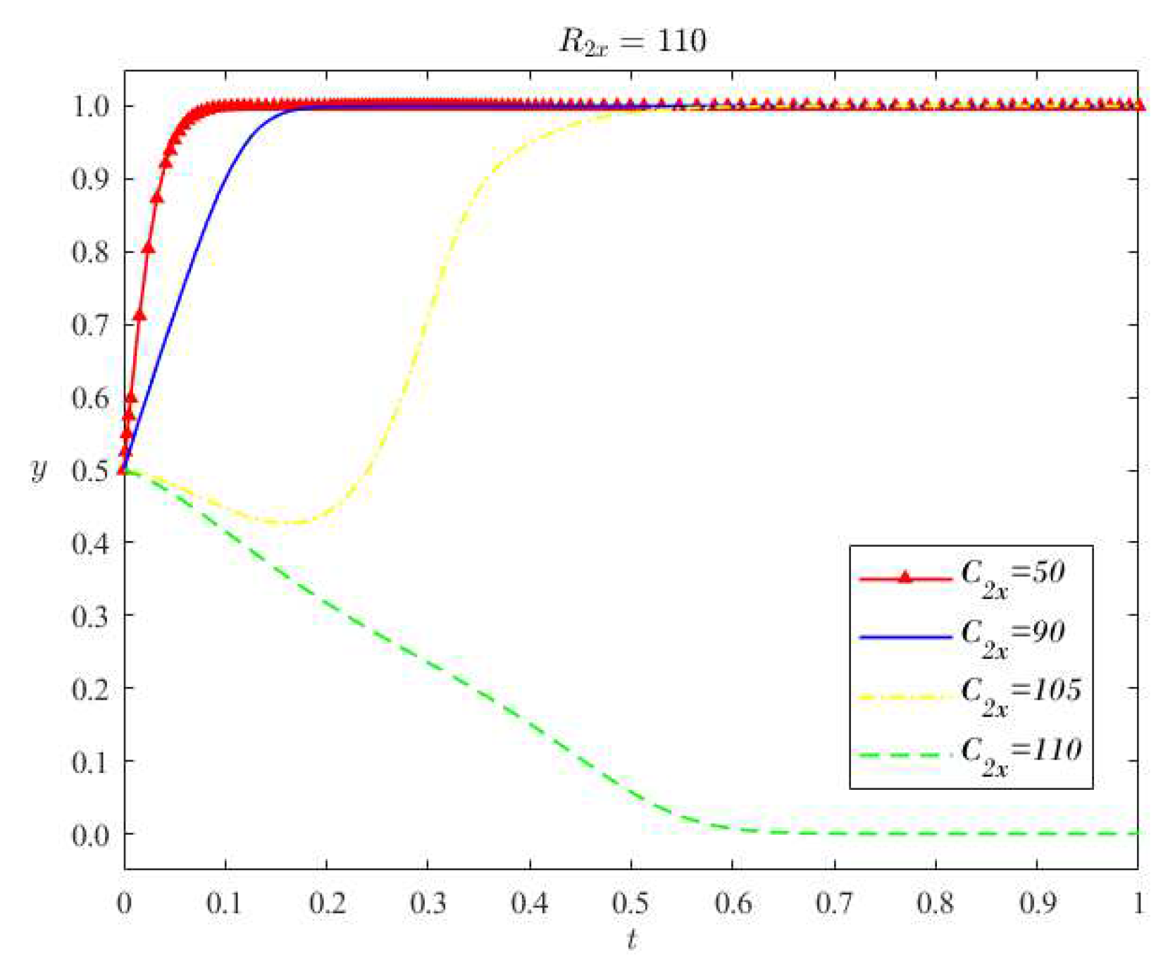
For traditional industries such as logistics, the additional costs required during the digital transformation process mainly come from the construction of information platforms and supporting infrastructure, as well as various financial and human resources needed for subsequent platform usage and upgrades. The following section will analyze the additional costs that the three parties other than the government department need to invest.
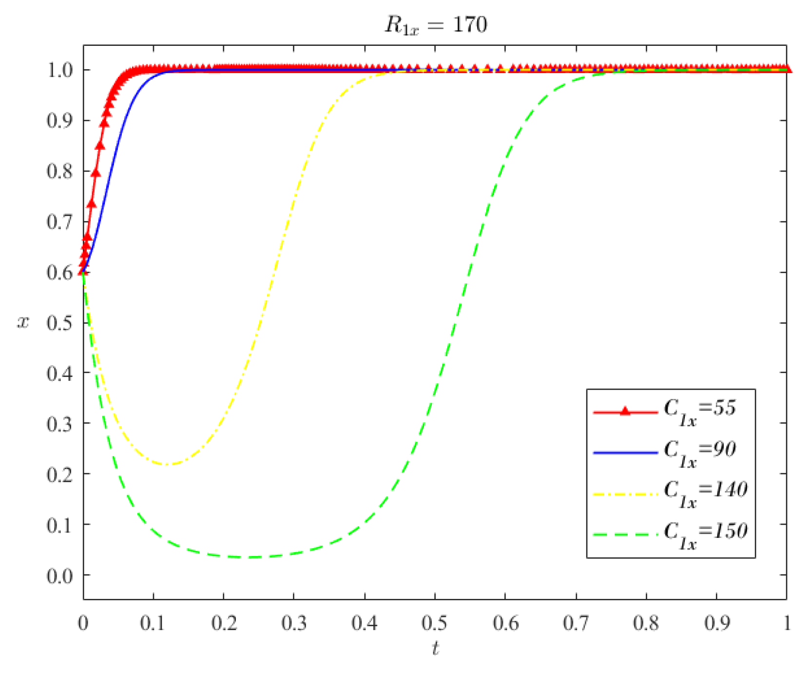
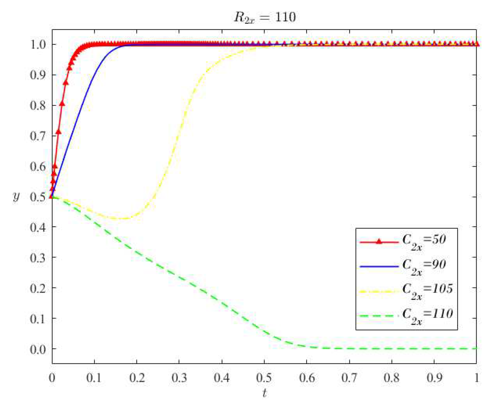
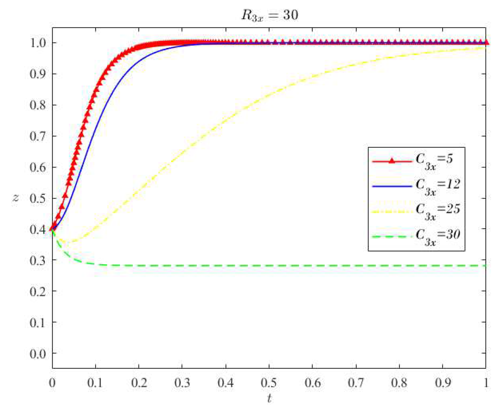
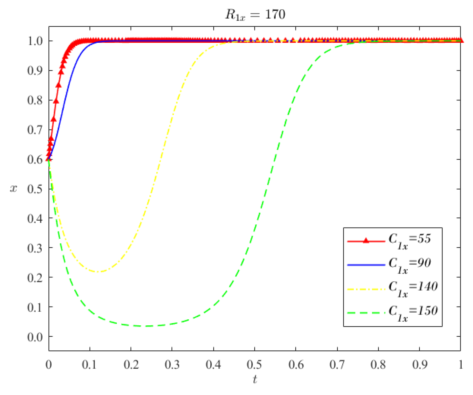
- JN Port and Shipping Development Group
As the core leader of the value co-creation activities, the JN Port and Shipping Development Group’s additional costs mainly stem from the resources invested in building smart logistics platforms and other new types of infrastructure to meet the needs of all parties. Based on this, taking and taking values of 55, 90, 140 and 150, the evolution of the JN Port and Shipping Development Group’s strategy choice is depicted in Figure 11.
Figure 11.
The evolution process of the JN Group’s strategy under different additional cost inputs.
Figure 11 shows that different levels of additional cost investment have a significant impact on the strategic stability of the JN Port and Shipping Development Group. When the additional costs are much lower than the additional benefits, the company’s enthusiasm for actively promoting value co-creation activities will rapidly increase. As the additional costs invested continue to rise, the company’s enthusiasm for actively promoting value co-creation activities will noticeably slow down, especially when the difference between the two is small, and the company may even experience strategic fluctuations and adopt a passive strategy for a certain period. However, since the government department, as an environmental supporter, always adopts an actively supportive strategy from the beginning, the bulk logistics enterprise will ultimately choose to actively promote the development of value co-creation activities under the guidance of the government department.
- 2.
- Supporting enterprises
As a collaborative partner in value co-creation activities, the additional costs for the supporting enterprises mainly come from the usage fees paid during the process of using new types of infrastructure such as smart logistics platforms. Based on this, taking and taking values of 50, 90, 105 and 110, the evolution of the strategy choices for the supporting enterprises is depicted in Figure 12.
Figure 12.
Evolution process of supporting enterprise’s strategy under different additional cost inputs.
Figure 12 shows that different levels of additional cost investment have a significant impact on the strategic stability of supporting enterprises. When additional costs are much lower than additional benefits, the enthusiasm of enterprises to actively cooperate in value co-creation activities will rapidly increase. As the additional costs invested continue to rise, the enthusiasm of enterprises to actively participate in value co-creation activities will gradually slow down. When the difference between the additional costs and additional benefits is small, the enterprises will experience strategic fluctuations, but they will eventually evolve to actively participate in the strategy. When the additional costs are equal to additional benefits, the enthusiasm of enterprises to participate in value co-creation activities will gradually decrease over time. If the enterprise cannot obtain additional benefits that are higher than the additional costs during this stage, then the enterprise will ultimately choose to passively cooperate in value co-creation activities.
- 3.
- Service objects
As the demand aggregators in value co-creation activities, the incurred additional costs for the service objects mainly come from the fees paid for choosing to receive additional value-added products or services. Based on this, taking and taking values of 5, 12, 25 and 30, the evolution of the strategy choices for service objects is depicted in Figure 13.
Figure 13.
The evolution process of the service object’s strategy under different additional cost inputs.
Figure 13 shows that the investment in different additional costs also has a significant impact on the strategic stability of service objects. When the additional costs are much lower than the additional benefits, the service objects will actively participate in value co-creation, and their enthusiasm will significantly increase in the short term. As the required additional costs continue to rise, the enthusiasm of service objects to participate in value co-creation activities will gradually slow down. Especially when the difference between the additional costs and additional benefits is small, the service objects will go through a longer period before evolving to a stable state of active participation. When the additional costs required by service objects are the same as the expected additional income, the enthusiasm of service objects to participate in value co-creation activities will slowly decline. Although it will not evolve to a stable state of passive participation, it will maintain attention to value co-creation activities with a lower level of enthusiasm.
- 4.
- Evolutionary results analysis
Smart logistics platforms and other new types of infrastructure are characterized by high R&D costs, high added value, and cumulative utility. The number of service functions that smart logistics platforms and other new types of infrastructure possess is the direct cause affecting the level of investment costs. Therefore, bulk logistics enterprises need to fully consider the gap between the additional costs they invest and the expected additional benefits they obtain to avoid excessive investments that affect the company’s own operational development. Based on this, bulk logistics enterprises should thoroughly study the characteristics of the bulk industries they serve, coordinate with the development of business, formulate a scientifically reasonable construction cycle and gradually carry out and improve the construction of smart logistics platforms and other new types of infrastructure.
Bulk logistics enterprises, as providers of smart logistics platforms and other new types of infrastructure in value co-creation activities, usually charge supporting enterprises and service objects a certain service fee. Therefore, when setting the service fee standards, bulk logistics enterprises should fully investigate the cost of the daily operations of supporting enterprises to avoid a negative shift in strategic choices due to excessively high fees. At the same time, bulk logistics enterprises should maintain attention to the enthusiasm of service objects in participating in value co-creation. This not only determines whether bulk logistics enterprises can lead supporting enterprises to provide more matched and efficient services to service objects and obtain additional benefits but also determines when bulk logistics enterprises should initiate the upgrade and iteration of smart logistics platforms and other new types of infrastructure.
6.4. The Impact of Contractual Penalties on Strategy Evolution
In the process of participating in value co-creation, bulk logistics enterprises need to consider the possibility of supporting enterprises adopting passive strategies to earn speculative profits in order to avoid the loss of benefits to themselves. At the same time, the supporting enterprises also need to evaluate the bulk logistics enterprises before joining the value co-creation activities so as to avoid falling into risk themselves. In this case, enterprises usually adopt the method of signing agreement terms to clarify the obligations and responsibilities that each party needs to undertake and to restrict the behavior of withdrawing from cooperation. Based on this, when (,) take (0,0), (30,30), (50,50) and (100,100), respectively, the evolutionary images of the strategy choices between the JN Port and Shipping Development Group and supporting enterprises are shown in Figure 14.
Figure 14.
The evolution of enterprise strategy under different contractual penalties.
Figure 14 shows that setting a certain punishment mechanism in the enterprise cooperation agreement will be conducive to the JN Port and Shipping Development Group and the supporting enterprises to cooperate and jointly promote the development of value co-creation activities so as to form an integrated bulk supply chain service capacity faster. When the level of punishment agreed on in the cooperation agreement is small, the above two entities may still adopt negative strategies because of speculation. As the level of punishment agreed on in the cooperation agreement gradually increases, the punishment mechanism will be effective, prompting the above two subjects to adopt active strategies to participate in value co-creation.
7. Conclusions and Managerial Insights
7.1. Main Conclusions
Under the background of digital transformation of bulk logistics enterprises, this paper considered the real market situation composed of four parties including bulk logistics enterprises and studied the key factors affecting the strategy selection of the four parties and the evolutionary stability strategy by constructing a four-party evolutionary game model.
First of all, this paper used the replication dynamic equation to analyze the four subjects and concluded that the main factors that affect the bulk logistics enterprises, supporting enterprises and service objects to take active strategies to participate in value co-creation were the additional costs paid. At the same time, the punishment agreed on in the contract signed by the bulk logistics enterprises and the supporting enterprises is also another factor affecting the adoption of positive strategies. Furthermore, the support of government departments for value co-creation would change with the strategic choices of the three other subjects. Secondly, based on the replication dynamic equations, this paper solved the final evolutionary stability strategy of the four-party subject, which clarifies the status and role of the four-party subject in the process of cooperative value co-creation, and found that the government departments would gradually reduce or even cancel the support for value co-creation activities when the three other subjects could cooperate well to carry out value co-creation independently.
Compared with previous studies, this paper has the following contributions:
- This paper has expanded the application of evolutionary game theory in value co-creation theory to some extent. In previous studies, scholars tended to simplify the scenarios and select two or three entities for research. Based on the actual market situation as far as possible, this paper takes into account other relevant subjects that affect the behavior decision of bulk logistics enterprises, selects four subjects to carry out research and realizes the expansion from a three-party game to four-party game.
- This paper has filled the gap in the application of evolutionary game theory and value co-creation in the field of bulk logistics to some extent. In previous studies, scholars were mostly based on the entire logistics industry or express logistics fields, with few focusing on the field of bulk logistics. This paper applies evolutionary game theory to the analysis of related issues of value co-creation of bulk logistics enterprises, which makes up for the lack of research in the field of bulk logistics.
- This paper has innovated the application of value co-creation theory in the digital economy to some extent. By using digital economics theory, it clarifies the logical relationship between digital transformation and value co-creation and analyzes the fundamental motivation for enterprises to undergo digital transformation from a theoretical perspective, which is to adapt to the changes in the value generation logic of the digital economy.
7.2. Managerial Insights
- Based on the main conclusions drawn, this paper puts forward the following management insights for bulk logistics enterprises:
- (1) Value co-creation, as one of the means for bulk logistics enterprises to achieve digital transformation, can help these enterprises better understand customer needs, improve supply chain efficiency and service quality, reduce operational costs, acquire various data, technology and knowledge resources, achieve win–win and joint development with stakeholders and promote their transformation into integrated service providers in the bulk commodity supply chain. However, bulk logistics enterprises need to continuously pay attention to the three factors affecting the decision-making changes of the four parties in order to adjust corporate strategies in time, maintain stable cooperative relationships with other entities, ensure the smooth progress of value co-creation activities and achieve the goal of accumulating digital transformation development resources through value co-creation.
- (2) Bulk logistics enterprises need to fully recognize that smart logistics platforms and other new types of infrastructure are the core tools for ensuring the smooth progress of value co-creation activities, achieving service expansion and building competitive advantages. They are also the main sources of additional costs that bulk logistics companies incur in value co-creation activities. Given the high-cost characteristics of smart logistics platforms, bulk logistics enterprises need to scientifically formulate construction and iteration upgrade plans for smart logistics platforms and other new types of infrastructure to ensure reasonable investment in resources such as data, knowledge and technology. In addition, bulk logistics enterprises should understand the profitability of supporting enterprises and the additional payment willingness of service objects through market research and other means in order to scientifically formulate service fee collection models and avoid unreasonable pricing affecting the willingness of other entities to participate in value co-creation activities.
- (3) In the process of carrying out value co-creation activities, bulk logistics enterprises need to combine the development of the industry and accurately grasp policy orientations to rely on the government to create an environment suitable for the development of value co-creation activities. Bulk logistics have characteristics such as long business chains and long transportation distances, which means that bulk logistics enterprises need to frequently engage in cross-domain, cross-industry and cross-regional cooperation. Therefore, they need sufficient policy support from government departments in terms of policy and funding to ensure the smooth progress of value co-creation activities. At the same time, given that government departments will gradually reduce their support in the later stage of value co-creation activities, it is necessary for bulk logistics enterprises to actively seek other special support from the government based on their own capabilities and advantages. This can not only ensure the stability of the environment for value co-creation activities but also enhance the recognition and confidence of supporting enterprises and service objects in value co-creation activities.
Author Contributions
Conceptualization, Y.Y. and M.S.; Formal analysis, Y.Y.; Funding acquisition, M.S.; Investigation, Y.Y. and M.S.; Methodology, Y.Y. and Y.G.; Software, Y.Y.; Validation, Y.Y. and K.Y.; Writing—original draft, Y.Y.; Writing—review and editing, Y.Y. and Y.G. All authors have read and agreed to the published version of the manuscript.
Funding
This work was supported by the Fundamental Research Funds for the Central Universities (No. 2023JBMC044 and No. 2024JBZX023).
Institutional Review Board Statement
Not applicable.
Informed Consent Statement
Informed consent was obtained from all subjects involved in the study.
Data Availability Statement
Data are unavailable due to the company’s privacy policy restrictions. The research has already provided the range of values for variables based on the company data in Section 6.1.
Conflicts of Interest
The authors declare no conflicts of interest.
References
- Wang, S.N.; Cheng, J.S. Techno-economic paradigm of digital economy. Shanghai Econ. Res. 2019, 12, 80–94. [Google Scholar]
- Cook, S. The contribution revolution. Harv. Bus. Rev. 2008, 86, 60–69. [Google Scholar]
- Ashkanasy, N.M. The Future of Competition: Co-Creating Unique Value with Customers. J. Compet. Stud. 2004, 12, 155–157. [Google Scholar]
- Prahalad, C.K.; Ramaswamy, V. Co-opting customer competence. Harv. Bus. Rev. 2000, 78, 79–90. [Google Scholar]
- Vargo, S.L.; Lusch, R.F. Evolving to a New Dominant Logic for Marketing. J. Mark. 2004, 68, 1–17. [Google Scholar] [CrossRef]
- Vargo, S.L.; Lusch, R.F. From repeat patronage to value co-creation in service ecosystem: A transcending conceptualization of relationship. J. Bus. Mark. Manag. 2010, 4, 169–179. [Google Scholar] [CrossRef]
- Cui, Z. Digitalization Reshaping the New Industrial Ecology. Available online: http://www.chinawuliu.com.cn/lhhzq/202212/20/595141.shtml (accessed on 7 July 2024).
- Liang, H.Y. How Big is the Bulk Logistics Market? China Storage Transp. 2023, 10, 25. [Google Scholar]
- Wang, J.; Lu, Y.J. Research on the Issue of Value Co-creation in the Supply Chain: A Literature Review. J. UESTC (Soc. Sci. Ed.) 2018, 20, 31–36. [Google Scholar]
- Karapetyants, I.; Kostuhin, Y.; Tolstkh, T. Transformation of logistical processes in digital economy. In Proceedings of the 30th International Business Information Management Association Conference, Madrid, Spain, 8–9 November 2017. [Google Scholar]
- Jiang, S.L.; Zhang, Z. Development of digital economy and industrial upgrading of logistics industry: An examination based on innovation mechanism. Commer. Econ. Res. 2020, 22, 84–87. [Google Scholar]
- Lu, Y.H. The impact of the development of digital economy on the improvement of logistics efficiency: An analysis based on transaction costs. Commer. Econ. Res. 2021, 16, 99–103. [Google Scholar]
- Popkova, E.G.; Sergi, B.S. A Digital Economy to Develop Policy Related to Transport and Logistics. Predictive Lessons from Russia. Land Use Policy 2020, 99, 105083. [Google Scholar] [CrossRef]
- Xu, J. Research on high-quality development of modern logistics under the background of digital economy. Commer. Econ. Res. 2022, 8, 115–117. [Google Scholar]
- Guo, Y.X.; Ding, H.P. Coupled and Coordinated Development of the Data-Driven Logistics Industry and Digital Economy: A Case Study of Anhui Province. Process 2022, 10, 2036. [Google Scholar] [CrossRef]
- Zhang, W.; Liu, H.; Yao, Y.; Fan, Z. A study measuring the degree of integration between the digital economy and logistics industry in China. PLoS ONE 2022, 17, e0274006. [Google Scholar] [CrossRef] [PubMed]
- Guo, J.Y. Analysis of the coupling relationship between the development of digital economy, logistics transportation and retail industry. Commer. Econ. Res. 2022, 14, 42–45. [Google Scholar]
- Liu, H.; Islam, S.M.; Liu, X. Strategy-oriented digital transformation of logistics enterprises: The roles of artificial intelligence and blockchain. In Proceedings of the CITISIA 2020-IEEE Conference on Innovative Technologies in Intelligent Systems and Industrial Applications Conference Proceedings, Sydney, Australia, 25–27 November 2020. [Google Scholar]
- Yusadi, F.I.; Saputra, R.; Saribanon, E. Impact and Sustainability of Digital Transformation in Pelni Logistics. In Proceedings of the 1st International Conference on Industrial Revolution 4.0 and Its Application in Science, Technology, Engineering, Education, and Mathematics, ICSTEEM 2019 and 3rd Global Research on Sustainable Transport and Logistics, Jakarta, Indonesia, 29–30 March 2019. [Google Scholar]
- Marín, F.; Antonio, M. Strategies and Organizational Changes for the Logistics Sustainability of Military Aircraft: Towards the Digital Transformation of In-Service Support. In Proceedings of the Multidisciplinary International Conference of Re-Search Applied to Defense and Security, Quito, Ecuador, 13–15 May 2020. [Google Scholar]
- Singhdong, P.; Suthiwartharueput, K.; Pornchaiwiseskul, P. Factors Influencing Digital Transformation of Logistics Service Pro-viders: A Case Study in Thailand. J. Asian Financ. Econ. Bus. 2021, 8, 241–251. [Google Scholar]
- Medennikov, V.; Raikov, A. Optimizing of Product Logistics Digital Transformation with Mathematical Modeling. In Proceedings of the 13th Multi-Conference on Control Problems, Saint Petersburg, Russia, 6–8 October 2020. [Google Scholar]
- Chen, Y.J.; Liu, X.J. Research on the mechanism of digital transformation of business process of bulk logistics enterprises under the normalization of epidemic prevention. Commer. Econ. Res. 2022, 2, 118–121. [Google Scholar]
- Pan, X.Z.; Xu, G.X.; Zhu, N.N. Spatial Peer Effect of Enterprises’ Digital Transformation: Empirical Evidence from Spatial Auto-regressive Models. Sustainability 2022, 14, 12576. [Google Scholar] [CrossRef]
- Franz, N.; Michał, K. Blockchain Technology Perception in Supporting the Digital Transformation of Supply Chain Management: A Preliminary Study. In Proceedings of the 14th PLAIS EuroSymposium on Digital Transformation, Sopot, Poland, 15 December 2022. [Google Scholar]
- Wang, C.; Luo, W.; Baffoe, B.O.K. Understanding the Evolution Law of E-Commerce Logistics Driven by Digitalization. Lect. Notes Data Eng. Commun. Technol. 2022, 136, 133–139. [Google Scholar]
- Raza, Z.; Woxenius, J.; Vural, C.A.; Lind, M. Digital transformation of maritime logistics: Exploring trends in the liner shipping segment. Comput. Ind. 2023, 145, 103811. [Google Scholar] [CrossRef]
- Dossou, P.-E.; Dondji, N.; Daheur, Z. Development of an Intelligent System for Supporting the Sustainable Digital Transformation of the SME Supply Chain. In Proceedings of the 31st International Conference on Flexible Automation and Intelligent Manufacturing, Detroit, MI, USA, 19–23 June 2022. [Google Scholar]
- Blaschke, M.; Riss, U.; Haki, K.; Aier, S. Design principles for digital value co-creation networks: A service-dominant logic perspective. Electron. Mark. 2019, 29, 443–472. [Google Scholar] [CrossRef]
- Haki, K.; Blaschke, M.; Aier, S. A Value Co-creation Perspective on Information Systems Analysis and Design. Bus. Inf. Syst. Eng. 2019, 61, 487–502. [Google Scholar] [CrossRef]
- Kautz, K.; Bjerknes, G. Information systems development as value co-creation. Commun. Assoc. Inf. Syst. 2020, 47, 37. [Google Scholar] [CrossRef]
- Song, J.J.; Liu, W. Analysis of logistics platform operation mechanism from the perspective of two-sided market theory—Taking highway freight platform as an example. Circ. Econ. China 2015, 29, 28–33. [Google Scholar]
- Gammelgaard, B.; Andersen, C.B.G.; Figueroa, M. Improving urban freight governance and stakeholder management: A social systems approach combined with relationship platforms and value co-creation. Res. Transp. Bus. Manag. 2017, 24, 17–25. [Google Scholar] [CrossRef]
- Peng, B.; Wang, Y.; Zahid, S.; Wei, G.; Elahi, E. Platform ecological circle for cold chain logistics enterprises: The value co-creation analysis. Ind. Manag. Data Syst. 2020, 120, 675–691. [Google Scholar] [CrossRef]
- Zhang, Y.H.; Hu, M.D. Research on the Relationship between Data Empowerment and Service Innovation Capability of Logistics Platform Enterprise. Math. Probl. Eng. 2021, 2021, 9974585. [Google Scholar] [CrossRef]
- Lin, Y.; Chen, A.; Yin, Y.; Li, Q.; Zhu, Q.; Luo, J. A framework for sustainable management of the platform service supply chain: An empirical study of the logistics sector in China. Int. J. Prod. Econ. 2021, 235, 108112. [Google Scholar] [CrossRef]
- Cheng, J.H.; Yu, C.K.; Chien, F.C. Enhancing effects of value co-creation in social commerce: Insights from network externalities, institution-based trust and resource-based perspectives. Behav. Inf. Technol. 2022, 41, 1755–1768. [Google Scholar] [CrossRef]
- Michel, S.; Bootz, J.; Bessouat, J. Possible futures of crowd logistics for manufacturers: Results of a strategic foresight study. J. Bus. Ind. Mark. 2023, 38, 2019–2029. [Google Scholar] [CrossRef]
- Wei, R.; Liu, C.H.; Zhang, Y. Study on value co-creation and digital capability of logistics service ecosystem: A case study based on Cainiao Network. China Soft Sci. 2022, 3, 154–163. [Google Scholar]
- McIntyre, D.P.; Srinivasan, A. Networks, platforms, and strategy: Emerging views and next steps. Strateg. Manag. J. 2017, 38, 141–160. [Google Scholar] [CrossRef]
- Yin, X.Z.; Tian, X.W. An Evolutionary Model between Leaders and Followers on the Reverse Logistics Policy. In Proceedings of the 5th International Conference on Innovation and Management, Maastricht, The Netherlands, 10–11 December 2008. [Google Scholar]
- Shi, X.H.; Hu, J.L. Evolutionary Game Analysis on Co-competition Mechanism of Logistics Service Supply Chain. In Proceedings of the 8th Wuhan International Conference on E-Business, Wuhan, China, 30–31 May 2009. [Google Scholar]
- Liu, C.M.; Xun, S.M. Asymmetric Evolutionary Game among Functional Logistics Service Providers. In Proceedings of the 19th Annual International Conference on Management Science and Engineering (ICMSE), Dallas, TX, USA, 20–22 September 2012. [Google Scholar]
- Wang, D.Z.; Lang, M.X.; Sun, Y. Evolutionary Game Analysis of Co-opetition Relationship between Regional Logistics Nodes. J. Appl. Res. Technol. 2014, 12, 251–260. [Google Scholar] [CrossRef][Green Version]
- Gu, L.Q.; Xi, L.L.; Wen, S.L. Exploration on the low-carbon strategy based on the evolutionary game between the government and highway logistics enterprises. Agro Food Ind. Hi-Tech 2017, 28, 1796–1800. [Google Scholar]
- Yang, B. Analysis on profit model of multi-information products logistics using evolutionary game algorithm. Concurr. Comput. Pract. Exp. 2019, 31, 9. [Google Scholar] [CrossRef]
- Luo, Y.M.; Zhang, Y.K.; Yang, L. How to Promote Logistics Enterprises to Participate in Reverse Emergency Logistics: A Tripartite Evolutionary Game Analysis. Sustainability 2022, 14, 12132. [Google Scholar] [CrossRef]
- Liu, W.H.; Long, S.S.; Wei, S. Smart logistics ecological cooperation with data sharing and platform empowerment: An examination with evolutionary game model. Int. J. Prod. Res. 2022, 60, 4295–4315. [Google Scholar] [CrossRef]
- Yang, X.; Pan, L.X.; Song, A.F. Research on the strategy of knowledge sharing among logistics enterprises under the goal of digital transformation. Heliyon 2023, 9, 4. [Google Scholar] [CrossRef]
- Zhang, G.S.; Wang, X.; Wang, Y.L.; Xu, J.Q. A tripartite evolutionary game for the regional green logistics: The roles of government subsidy and platform’s cost-sharing. Kybernetes 2024, 53, 216–237. [Google Scholar] [CrossRef]
- Zou, X.H.; Chen, J.L.; Gao, S.P. Network effect in shared supply chain platform value co-creation behavior in evolutionary game. J. Intell. Fuzzy Syst. 2021, 41, 4713–4724. [Google Scholar] [CrossRef]
- Wu, W.J.; Deng, L.; Tao, Y.; Wang, X. Research on Evolutionary Game of Value Co-Creation Behavior of Shared Private Charging Piles of Electric Vehicles. Discret. Dyn. Nat. Soc. 2022, 2022, 9884962. [Google Scholar] [CrossRef]
- Xu, Y.Y.; Sun, H.; Lyu, X.C. Analysis of decision-making for value co-creation in digital innovation systems: An evolutionary game model of complex networks. Manag. Decis. Econ. 2023, 44, 2869–2884. [Google Scholar] [CrossRef]
- Gao, J.; Zhang, W.F.; Guan, T.; Feng, Q.H. Evolutionary game study on multi-agent collaboration of digital transformation in ser-vice-oriented manufacturing value chain. Electron. Commer. Res. 2023, 23, 2217–2238. [Google Scholar] [CrossRef]
- Dou, R.L.; Nan, G.F.; Wei, Z.Q.; Hsu, C.Y. Value co-creation in group enterprises: An evolutionary game theory-based analysis. Int. J. Prod. Res. 2024, 62, 6186–6210. [Google Scholar] [CrossRef]
- Zhang, B.J.; Bo, X.F.; Chen, J. Value generation logic of digital platform ecosystem. Sci. Technol. Prog. Countermeas. 2022, 11, 1–9. [Google Scholar]
- Ivanov, M. Niche market or mass market. Econ. Lett. 2009, 105, 217–220. [Google Scholar] [CrossRef]
- Jin, J.; Ma, L.; Ye, X. Digital transformation strategies for existed firms: From the perspectives of data ownership and key value propositions. Asian J. Technol. Innov. 2019, 28, 77–93. [Google Scholar] [CrossRef]
- Lu, Y.S.; Bao, K.H.; Liu, J.L. Can Multihoming of Digital Platform Users Promote Innovation? J. Cent. Univ. Financ. Econ. 2022, 5, 84–98. [Google Scholar]
- Feld, H. The Case for the Digital Platform Act: Market Structure and Regulation of Digital Platforms; Roosevelt Institute: New York, NY, USA, 2019; pp. 1–216. [Google Scholar]
- Ritzberger, K.; Weibull, J. Evolutionary selection in norma-form games. Econom. J. Econom. Soc. 1995, 63, 1371–1399. [Google Scholar]
Disclaimer/Publisher’s Note: The statements, opinions and data contained in all publications are solely those of the individual author(s) and contributor(s) and not of MDPI and/or the editor(s). MDPI and/or the editor(s) disclaim responsibility for any injury to people or property resulting from any ideas, methods, instructions or products referred to in the content. |
© 2024 by the authors. Licensee MDPI, Basel, Switzerland. This article is an open access article distributed under the terms and conditions of the Creative Commons Attribution (CC BY) license (https://creativecommons.org/licenses/by/4.0/).













