Pricing Game Models of Hybrid Channel Supply Chain: A Strategic Consumer Behavior Perspective
Abstract
1. Introduction
2. Literature Review
3. Model Description
3.1. Models and Assumptions
- (1)
- The mixed-channel supply chain consists of dual-channel manufacturers and dual-channel retailers. To make the model more general, manufacturers and retailers sell homogeneous products.
- (2)
- There are dominant enterprises in the supply chain, and the traditional sales model is that manufacturers control the sales of products and control the sales channels and prices of products. However, some large retailers gradually occupy the dominant position in the supply chain due to their unique advantage of being close to end consumers. Considering this fact, this article uses a retailer-led model for modeling and analysis.
- (3)
- There is a certain risk in the competition of mixed channels, and the target customers of both sides overlap to create competition; If one side of the supply chain is too competitive, it will destroy the market balance, and excessive competition will make the retail channel members lose their vitality and even withdraw from the supply chain in retaliation. To maintain the universality of the model, it is assumed that the profit of each channel is positive; otherwise, the products will not be sold through this channel. In addition, the goods are sold separately, so there are no bundled sales, and consumers will not make repeated purchases. Both manufacturers and retailers are risk-neutral, and they have no obvious preference for risks.
- (4)
- Considering that the difference in cost and market position between retailers in a competitive market may be much smaller than that between suppliers and retailers, and for the convenience of calculation, it is assumed that all retailers’ parameters are symmetrical; Although this limitation does not meet the actual situation, it is still possible to obtain representative conclusions with certain reference value through analysis.
3.2. Symbol Description
3.3. Establishment of the Basic Decision Model
4. Model Establishment and Solution
4.1. Strategic Consumer Utility Model
4.2. Retailer-Led Supply-Chain Model
4.2.1. Game Analysis of Stage
4.2.2. Game Analysis of Stage
5. Numerical Analysis and Result Discussion
5.1. The Impact of Strategic Consumer Ratio on Channel Price and Profit
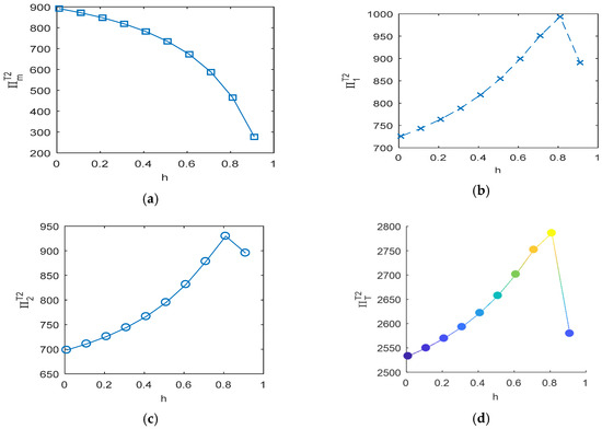
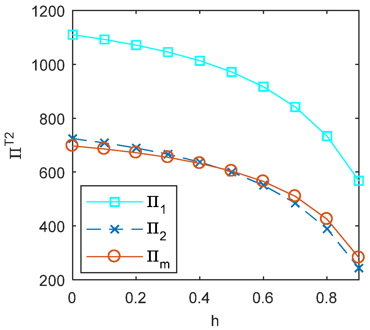
5.2. The Effect of Purchase-Restriction Coefficient on Supply-Chain Pricing and Profit
5.3. The Impact of Pre-Announced Discounts on Supply-Chain Pricing and Profits
5.4. The Influence of Combination Strategy on Supply-Chain Pricing and Profit
6. Conclusions
- Heterogeneous consumer behavior and utility theory impact consumer purchasing opportunities. Considering the pre-announced discount, the greater the difference between the two phases of pricing, the more strategic consumers tend to wait until the discount period to make a purchase, and the resulting intertemporal effect intensifies channel competition. However, this competition decreases the profit margin of businesses and supply chains and increases the surplus of consumers, which is not advantageous for all channel merchants and the entire supply chain.
- It is now indisputable that consumers pay close attention to historical discount information and potential future commodity prices. According to research, the proportion of strategic consumers is constant, and consumers refer to past or forthcoming reductions that have been announced. There is a minimum purchase-restriction coefficient value. If the purchase limit coefficient is less than or equal to this value, it is positively correlated with the overall profit of the retailer and the supply chain, and if it exceeds this value, it is negatively correlated. Therefore, a suitable purchase-restriction strategy contributes to increased profits for retailers and the supply chain.
- Considering the history and pre-announced discount information, there exists a Pareto region for the combination of the ratio purchase restriction factors of strategic consumers. Reasonable combinations within this region can result in higher profits for retailers and manufacturers.
Author Contributions
Funding
Institutional Review Board Statement
Informed Consent Statement
Data Availability Statement
Acknowledgments
Conflicts of Interest
References
- Gu, W.; Luan, X.; Song, Y.; Shang, J. Impact of loyalty program investment on firm performance: Seasonal products with strategic customers. Eur. J. Oper. Res. 2022, 299, 621–630. [Google Scholar] [CrossRef]
- Meng, Q.; Li, M.; Liu, W.; Li, Z.; Zhang, J. Pricing policies of dual-channel green supply chain: Considering government subsidies and consumers’ dual preferences. Sustain. Prod. Consum. 2021, 26, 1021–1030. [Google Scholar] [CrossRef]
- Zhang, G.; Li, G.; Shang, J. Optimizing mixed bundle pricing strategy: Advance selling and consumer regret. Omega 2023, 115, 102782. [Google Scholar] [CrossRef]
- Zhang, C.; Zheng, X. Customization strategies between online and offline retailers. Omega 2021, 100, 102230. [Google Scholar] [CrossRef]
- Wang, Z.; Ye, C.; Liu, X.; Ma, R.; Sun, Z.; Ruan, J. Optimal retail sales strategies for old and new products in monopoly and horizontal competition scenarios. J. Retail. Consum. Serv. 2023, 71, 103218. [Google Scholar] [CrossRef]
- Liu, Y.; Li, J.; Ren, W.; Forrest, J.Y.L. Differentiated products pricing with consumer network acceptance in a dual-channel supply chain. Electron. Commer. Res. Appl. 2020, 39, 100915. [Google Scholar] [CrossRef]
- Li, G.; Li, L.; Sun, J. Pricing and service effort strategy in a dual-channel supply chain with showrooming effect. Transp. Res. Part E Logist. Transp. Rev. 2019, 126, 32–48. [Google Scholar] [CrossRef]
- Sha, J.; Wang, A.; Lv, T.; Wu, W. Coordination of Advertising Free Riding in Hybrid Channel Supply Chain. Discret. Dyn. Nat. Soc. 2016, 2016, 7423043. [Google Scholar] [CrossRef]
- Cai, H.; Qing, S. Pricing strategies in a two-echelon supply chain with sales efforts and channel conflicts. IEEE Access 2020, 8, 83238–83247. [Google Scholar] [CrossRef]
- Liao, B.; Li, B.; Zeid, I. A Marketing Strategy in a Closed-Loop Supply Chain with Loss-Averse Consumers. Math. Probl. Eng. 2018, 2018, 2560153. [Google Scholar] [CrossRef]
- Chen, J.; Zhang, W.; Liu, Z. Joint pricing, services and quality decisions in a dual-channel supply chain. Rairo-Oper. Res. 2020, 54, 1041–1056. [Google Scholar] [CrossRef]
- Zhang, C.; Liu, Y.; Han, G. Two-stage pricing strategies of a dual-channel supply chain considering public green preference. Comput. Ind. Eng. 2021, 151, 106988. [Google Scholar] [CrossRef]
- Li, J.; Yi, L.; Shi, V.; Chen, X. Supplier encroachment strategy in the presence of retail strategic inventory: Centralization or decentralization? Omega 2021, 98, 102213. [Google Scholar] [CrossRef]
- Hassan, M.A.S.; Chen, M.; Lin, H.; Ahmed, M.H.; Khan, M.Z.; Chughtai, G.R. Optimization modeling for dynamic price based demand response in microgrids. J. Clean. Prod. 2019, 222, 231–241. [Google Scholar] [CrossRef]
- Pi, Z.; Fang, W.; Zhang, B. Service and pricing strategies with competition and cooperation in a dual-channel supply chain with demand disruption. Comput. Ind. Eng. 2019, 138, 106130. [Google Scholar] [CrossRef]
- Peng He, Yong He, Li Zhou, Channel strategies for dual-channel firms to counter strategic consumers. J. Retail. Consum. Serv. 2023, 70, 103180. [CrossRef]
- Wang, Y.; Hou, G. A duopoly game with heterogeneous green supply chains in optimal price and market stability with consumer green preference. J. Clean. Prod. 2020, 255, 120161. [Google Scholar] [CrossRef]
- Yang, G.; He, B.; Yuan, K. Optimal product rollover strategies for successive-generation products: The role of the trade-in program and product characteristics. Comput. Ind. Eng. 2023, 179, 109163. [Google Scholar] [CrossRef]
- Haiyun, C.; Zhixiong, H.; Yüksel, S.; Dinçer, H. Analysis of the innovation strategies for green supply chain management in the energy industry using the QFD-based hybrid interval valued intuitionistic fuzzy decision approach. Renew. Sustain. Energy Rev. 2021, 143, 110844. [Google Scholar] [CrossRef]
- Yuan, Q.; Shen, B. Renting fashion with strategic customers in the sharing economy. Int. J. Prod. Econ. 2019, 218, 185–195. [Google Scholar] [CrossRef]
- Liu, C.; Lee, C.K.; Leung, K.H. Pricing strategy in dual-channel supply chains with loss-averse consumers. Asia-Pac. J. Oper. Res. 2019, 36, 1950027. [Google Scholar] [CrossRef]
- Sun, H.; Gilbert, S.M. Retail price competition with product fit uncertainty and assortment selection. Prod. Oper. Manag. 2019, 28, 1658–1673. [Google Scholar] [CrossRef]
- Wang, J.; Jiang, H.; Yu, M. Pricing decisions in a dual-channel green supply chain with product customization. J. Clean. Prod. 2020, 247, 119101. [Google Scholar] [CrossRef]
- Lei, Q.; He, J.; Ma, C.; Jin, Z. The impact of consumer behavior on preannounced pricing for a dual-channel supply chain. Int. Trans. Oper. Res. 2020, 27, 2949–2975. [Google Scholar] [CrossRef]
- Nosoohi, I. Posted price and name-your-own-price in a product line design problem. J. Retail. Consum. Serv. 2022, 64, 102836. [Google Scholar] [CrossRef]
- Li, B.; Jiang, Y. Impacts of returns policy under supplier encroachment with risk-averse retailer. J. Retail. Consum. Serv. 2019, 47, 104–115. [Google Scholar] [CrossRef]
- Fan, T.; Xu, C.; Tao, F. Dynamic pricing and replenishment policy for fresh produce. Comput. Ind. Eng. 2020, 139, 106127. [Google Scholar] [CrossRef]
- Zhou, H.; Chen, K.; Wang, S. Two-period pricing and inventory decisions of perishable products with partial lost sales. Eur. J. Oper. Res. 2023, 310, 611–626. [Google Scholar] [CrossRef]
- Zhao, N.; Wang, Q.; Cao, P.; Wu, J. Dynamic pricing with reference price effect and price-matching policy in the presence of strategic consumers. J. Oper. Res. Soc. 2019, 70, 2069–2083. [Google Scholar] [CrossRef]
- Heydari, J.; Govindan, K.; Basiri, Z. Balancing price and green quality in presence of consumer environmental awareness: A green supply chain coordination approach. Int. J. Prod. Res. 2021, 59, 1957–1975. [Google Scholar] [CrossRef]
- Zhang, W.; He, Y.; Gou, Q.; Yang, W. Optimal advance selling strategy with information provision for omni-channel retailers. Ann. Oper. Res. 2021, 1–30. [Google Scholar] [CrossRef]
- Khouja, M.; Liu, X. A price adjustment policy for maximizing revenue and countering strategic consumer behavior. Int. J. Prod. Econ. 2021, 236, 108116. [Google Scholar] [CrossRef]
- Chen, J.; Zhao, Y. High price or low price? An experimental study on a markdown pricing policy. Eur. J. Oper. Res. 2020, 284, 240–254. [Google Scholar] [CrossRef]
- Li, C.; Chu, M.; Zhou, C.; Zhao, L. Two-period discount pricing strategies for an e-commerce platform with strategic consumers. Comput. Ind. Eng. 2020, 147, 106640. [Google Scholar] [CrossRef]
- Li, Y.; Wu, D.; Dolgui, A. Optimal trade credit coordination policy in dual-channel supply chain with consumer transfer. Int. J. Prod. Res. 2022, 60, 4641–4653. [Google Scholar] [CrossRef]















| Symbol | Symbol Description and Its Interpretation |
|---|---|
| Potential market demand | |
| Manufacturer online preference, retail online channel preference, , | |
| The proportion of strategic consumers corresponding to the channel, the subscripts 1, 2, and 3 represent direct sales, online, and offline channels, respectively | |
| represents the price sensitivity coefficient, represents the cross-price elasticity between channels | |
| Subscripts , 1, and 2, respectively, indicate the manufacturer’s direct sales channels, online retail, and offline retail | |
| indicates the normal sales period, indicates the discount period | |
| is the manufacturer’s production cost; represents the sales cost of different channels, generally default | |
| is the wholesale price in the online retail channel, and is the wholesale price in the offline retail channel | |
| is the manufacturer’s direct selling price in online channels, is the retail channel online selling prices, and is the retail channel offline selling price | |
| utility of commodity | |
| The range of , which is the probability of consumers obtaining goods when the purchase restriction is implemented | |
| Consumer utility | |
| , and are direct sales channel demand, retailer online demand, and offline demand | |
| is the manufacturer’s profit, is the retailer’s profit, and is the overall supply-chain profit |
| Type | Purchase Stage | Ranges |
|---|---|---|
| Short-sighted consumer | ||
| Strategic consumer | ||
Disclaimer/Publisher’s Note: The statements, opinions and data contained in all publications are solely those of the individual author(s) and contributor(s) and not of MDPI and/or the editor(s). MDPI and/or the editor(s) disclaim responsibility for any injury to people or property resulting from any ideas, methods, instructions or products referred to in the content. |
© 2023 by the authors. Licensee MDPI, Basel, Switzerland. This article is an open access article distributed under the terms and conditions of the Creative Commons Attribution (CC BY) license (https://creativecommons.org/licenses/by/4.0/).
Share and Cite
Zhang, X.; Li, Y.; Zhu, J.; Zhou, X. Pricing Game Models of Hybrid Channel Supply Chain: A Strategic Consumer Behavior Perspective. J. Theor. Appl. Electron. Commer. Res. 2023, 18, 1177-1195. https://doi.org/10.3390/jtaer18030060
Zhang X, Li Y, Zhu J, Zhou X. Pricing Game Models of Hybrid Channel Supply Chain: A Strategic Consumer Behavior Perspective. Journal of Theoretical and Applied Electronic Commerce Research. 2023; 18(3):1177-1195. https://doi.org/10.3390/jtaer18030060
Chicago/Turabian StyleZhang, Xuelong, Yufei Li, Jianhua Zhu, and Xuequan Zhou. 2023. "Pricing Game Models of Hybrid Channel Supply Chain: A Strategic Consumer Behavior Perspective" Journal of Theoretical and Applied Electronic Commerce Research 18, no. 3: 1177-1195. https://doi.org/10.3390/jtaer18030060
APA StyleZhang, X., Li, Y., Zhu, J., & Zhou, X. (2023). Pricing Game Models of Hybrid Channel Supply Chain: A Strategic Consumer Behavior Perspective. Journal of Theoretical and Applied Electronic Commerce Research, 18(3), 1177-1195. https://doi.org/10.3390/jtaer18030060

