Next Article in Journal
Order-Picking Efficiency in E-Commerce Warehouses: A Literature Review
Previous Article in Journal
Strategic Business Mode Choices for E-Commerce Platforms under Brand Competition
 
 
Font Type:
Arial Georgia Verdana
Font Size:
Aa Aa Aa
Line Spacing:
Column Width:
Background:
Article

Human Services or Non-Human Services? How Online Retailers Make Service Decisions

School of Management, Harbin Institute of Technology, Harbin 150001, China
*
Author to whom correspondence should be addressed.
J. Theor. Appl. Electron. Commer. Res. 2022, 17(4), 1791-1811; https://doi.org/10.3390/jtaer17040090
Submission received: 24 October 2022 / Revised: 25 November 2022 / Accepted: 30 November 2022 / Published: 7 December 2022
(This article belongs to the Section e-Commerce Analytics)

Abstract

With the development of Internet technology, online shopping has become increasingly popular. Owing to the improvement of living standards, the quality of e-service has become one of the important criteria for online shopping, with online shopping consultation being one of the key services. At the same time, the emergence of new technologies such as Artificial Intelligent (AI) has allowed online retailers to increase the availability of non-human online shopping consultation services. Therefore, this paper investigates the service decision problem between human and non-human online shopping consultation services for online retailers in the online duopoly market. By constructing a Hotelling improvement model and applying it in a new way, considering consumer preferences for human services, this paper explores the impact of the optimal service level of human online shopping consultation services and consumers’ sensitivity to the service level of human services on online retailers’ pricing, service decisions, etc. Our research results show that consumers’ sensitivity to the service level of human online shopping consultation services has an impact on the demand and profit of online retailers. In addition, human online shopping consultation services are not always beneficial to the profitability. Furthermore, when two online retailers compete, the utility of the non-human online retailer’s service to consumers can influence the service decisions of the other online retailer.

1. Introduction

With the continuous advancement of Internet technology and new technologies such as big data and AI, the online retail industry has achieved rapid development, making online shopping increasingly popular worldwide [1]. Consumers can shop online not only through desktop computers at Amazon, Taobao, etc., but also through mobile phone applications [2]. At the same time, consumers are increasingly paying attention to the service and shopping experience during the shopping process, while also paying attention to the price and quality of the products. The service level will have an impact on the commodity demand [3], and the service is gradually becoming an important factor affecting consumers’ purchasing decisions [4,5]. In an increasingly competitive marketplace, retailers need to make decisions not only about price and quality, but also about services. The services offered by online retailers include product purchase services, consulting services, return and exchange services and logistics services, among which online shopping consultation services are an important part of consumers’ shopping experiences and their communication with online retailers.
When consumers make an online purchase, they make a selection from numerous merchants and products and learn about the products through information such as pictures, text descriptions and videos of the products provided by the online retailer [6]. However, there is uncertainty about the merchandise as the consumer cannot experience the product or service before paying for it [7]. Therefore, the consumer will consider the product before making the final purchase decision, or they may experience some shopping-related problems that need to be solved before placing an order [8]. As a result, online retailers have taken steps to better address consumers’ shopping concerns, and they are increasingly using online shopping consultation services in the form of online chats. For example, online retailers on Taobao have added AI technology to their live chat service to provide non-human online shopping advice, while online retailers such as Amazon have added a ‘Customer questions & answers’ section (see Figure 1), both of which are non-human services. In addition, some consumers may hope that retailers can provide more direct and accurate human online shopping consultation services (also known as human services) to solve their shopping problems.
Compared to non-human online shopping consultation services that utilize a chatbot or other technologies, the main advantage of human online shopping consultation services is that they can better and more flexibly solve consumers’ personal shopping-related problems. As a human service is a form of real-time communication between a real person and a consumer, it offers greater flexibility and autonomy and can compensate for the limited resolution and information mismatch that exist in non-human services, thus increasing the likelihood of consumers purchasing products. However, the provision of human online shopping consultation services can create additional costs for online retailers and may be more costly than non-human services. In addition, human online shopping consultation services can be counterproductive. When the human service does not solve the problem well for the consumer or requires the consumer to wait too long, the provision of this human service can lead to consumer dissatisfaction and thus reduce the likelihood of the consumer purchasing the product. At the same time, as living standards and consumption levels increase, there is a preference for human services rather than non-human services. Motivated by the above discussion and the emerging phenomenon of online retailing, our research seeks to address the following interrelated questions: (1) How does the service level of human online shopping consultation services affect consumers’ final purchase decisions? (2) What are the impacts of consumers’ preferences for human services on online retailers’ service decisions? (3) How does the online retailer adjust its service level in the human online shopping consultation service? and (4) How should online retailers make decisions about human services versus non-human services such as AI?
In order to theoretically answer the above research questions, we adopt the classical Hotelling model [9] from competitive market research and provide a new application and relevance to the model by incorporating the characteristics of the online shopping consultation services of online retailers. The purpose of this paper is to investigate the service decision choices of online retailers between human online shopping consultation services and non-manual online shopping consultation services, considering consumers’ preferences for human services. In particular, in an online duopoly market consisting of two online retailers, we consider consumers’ preferences for human services and construct a duopoly Hotelling competition game model. We study two online retailers that adopt non-human services (NN), one online retailer adopting non-human services and another adopting human services (NH) as two separate modes, and we set up stylized analytical models. We first obtain the equilibrium results under the two modes, and we then carry out sensitivity analysis and comparative analysis on the profits of the online retailers, product prices, market demand and human service levels. Finally, some conclusions and insights are drawn that are useful for online retailers’ online shopping consultation service decisions.
By analyzing the online retailer’s decisions regarding human services and non-human services, we find that the decision to provide human services can make the online retailer more competitive in the competitive market when the consumer has a preference for human services. For online retailers that adopt human services there is indeed an optimal level of human service that maximizes their profits. On the one hand, the provision of human online shopping consultation services can attract consumers and increase the demand for products among online retailers when consumers have a preference for human services. On the other hand, the provision of human online shopping consultation services also imposes a corresponding cost on the online retailer. Consumers’ sensitivity to human services can have an impact on the service level of human services provided by online retailers, and the service level of human services can also have an impact on the service decisions of online retailers. In addition, the provision of services, whether human or non-human, affects the pricing of products provided by online retailers. The provision of human services causes online retailers to obtain greater demand, but also increases the costs of online retailing, causing online retailers to raise the price of the products. There are also some interesting counter-intuitive findings obtained from our research. When online retailers make human and non-human service strategy choices, consumers’ sensitivity to the service level of human services and the service level of human services affect the online retailer’s service strategy choice. At the same time, the utility of one online retailer’s non-human service by consumers can have an impact on another online retailer’s service decision. When the utility brought to consumers by the non-human online retailer is greater than a certain value, the other online retailer adopts the human service. When the utility brought to consumers by this non-human online retailer is less than the specified value, it is better for the other online retailer to adopt the non-human service.
The rest of the paper is organized as follows. In Section 2, we review the literature related to this paper. In Section 3, we describe the research question, the relevant settings of the model and the variables. In Section 4, we obtain the decision models under mode NN and mode NH and present the equilibrium results of the models. In Section 5, we analyze the performance of online retailers in a single mode, the comparison of two different modes and the decision problem of human and non-human services among online retailers. In Section 6, we provide our conclusions and contributions. Meanwhile, Appendix A contains relevant proofs in the text.

2. Literature Review

This paper is related to three research streams: duopoly competition, online retailer, and human services.

2.1. Duopoly Competition

Duopoly competition has been widely examined in the literature. Moorthy [10] used the model to study product quality and price competition between two duopoly firms and stated that the equilibrium product strategy (EPS) of the firms is the result of two opposing forces, one bringing the firms closer together and the other separating them. Singh et al. [11] studied the impact of customer loyalty programs on corporate profitability and market competitiveness in the Hotelling two-sided market. On the basis of the behavior-based discrimination price model (BBPD), Lin et al. [12] introduced consumers’ concerns about privacy and studied the price quality decision of the platform in bilateral competition. Narayanan et al. [13] showed that the intensity of competition between two retailers would have an impact on the manufacturer’s choice of contract. Armstrong [14] analyzed the competition relationship in the two-sided market and pointed out that the determinants of the equilibrium price include the size of cross-group externalities, the number of agents joining the platform and the method of charging. Banerjee and Bandyopadhyay [15] expanded on the cross-sectional impact of advertising on price in marketing research, where consumer inertia is an important factor driving market outcomes in bilateral firms’ advertising price competition. Wan et al. [16] studied the optimal MTP strategy and pricing decision of two competitive enterprises based on the Hotelling model, considering the geographical location and selection behavior of consumers.

2.2. Online Retailer

Compared with traditional retail, online retail only has a short development history of more than 20 years. However, given the importance of online retailing and its far-reaching impact on everyday life, the relevant research has been continuously enriched. At present, the research on online retailers mainly includes pricing decisions, service decisions and online reviews. In terms of pricing decisions, Elmachtoub and Hamilton [17] studied the opaque goods sold by many online retailers and revealed under which circumstances opaque sales would be better than discriminatory pricing. Jiang and Guo [18] suggested that when making pricing decisions, enterprises should carefully evaluate the market conditions, such as how the real product valuation matches consumers’ opinions, whether their products attract the mass market or a segment market, and how consumers attach importance to products. Zhang et al. [19] considered the comparison of the optimal decisions of online retailers in centralized and decentralized decision-making systems in a supply chain composed of online retailers and transporters, and the online retailers were more inclined to set lower prices in the decentralized decision-making system. Zhang et al. [20] empirically studied the impact on the promotional strategy of offering price discounts for the goods purchased by consumers on the long-term and short-term behavior of consumers on the online retail platform. In terms of service decisions, relevant studies have focused on online retailers’ return and exchange, logistics services, etc. Chen et al. [21] pointed out that between online retailers’ online sales channels and traditional channels, the demand faced by each channel depends on the service level of the channel and consumers’ evaluations of the products and shopping experience. Luo et al. [22] studied the importance of product uncertainty and retailer visibility in customers’ online purchase decisions, and they found that high product uncertainty and low retailer visibility have negative effects on customer satisfaction, while service quality could mitigate the negative effects of low retailer visibility and high product uncertainty in online markets. Hu et al. [23] suggested that logistics services affect online shoppers’ satisfaction, and they studied the internal mechanism of customized logistics services affecting online shoppers’ satisfaction and the relationship between them, affected by product types, through the application of expectation theory. Taylor [24] studied the influence of the delay sensitivity and agency independence of the on-demand service platform on the optimal single service price and wage of the platform. In terms of online reviews, Mudambi and Schuff [25] developed a customer review usefulness model to investigate why customer reviews were helpful to consumers in making purchase decisions, showing that the review depth and product type affected the perceived usefulness of reviews through an analysis of 1587 reviews for six products from Amazon.com. Yang and Dong [26] noted that the question of how to stimulate consumers to provide online customer reviews has become a key issue for online retailers, examining optimal rebate strategies and product pricing strategies for online retailers in a two-period setting. Lei et al. [27] introduced consumer preferences to reveal the relative impact of average ratings on top ratings, and they found a swing effect of individual reviews. By constructing a two-stage theoretical model, Liu et al. [28] examined the influence of initial and additional reviews on the alternative pricing and decision-making behavior of online retailers under different circumstances.

2.3. Human Services

With the rapid development of Internet technology, online marketing channels have become a common tool with which enterprises provide services to customers [29]. Shunko et al. [30] pointed out that humans are not machines and studied the behavioral impact of queue design on service time using empirical methods, considering the visibility of the queue structure and queue length. Huang et al. [31] argued that it was very important to understand the development and collaboration patterns between human services. Through research, they revealed two main differences between network services and human services: the provision and coordination capabilities of human services are not static but are constantly growing, the collaboration of human services is more flexible, and some skill collaboration patterns emerge through the service coordination of consumers. Fan et al. [29] focused on the human online consultation services provided by doctors in the online medical field, and they mainly studied the influence of the online consultation service on the offline appointments of doctors. Sun et al. [8] noted through an empirical study that a live chat service has a positive impact on merchandise sales conversion rates and that the extent of this positive impact is related to seller and product characteristics. Tran et al. [32] argued that consumers evaluate the service quality, regarding both services provided by humans and those not provided by humans; Tran went on to examine differences in consumer sentiment towards chatbots in the retail industry, and the impact of chatbots on consumer sentiments and expectations of interactions with services related to online human agents. McLean et al. [33] showed that the perceived usefulness of a live chat assistant with a live person increases consumers’ willingness to buy. Tan et al. [34] investigated the impact of human real-time chat services on consumer purchase decisions in e-commerce and contributed to a conceptual framework of online trust through an empirical analysis using data from Alibaba.

3. The Model

3.1. Model Setups

In this section, we build on the classic Hotelling model and apply it in a new way, combining the logic of its construction with the research questions of this paper. The development of e-commerce has allowed consumers to shop in new ways via computers, mobile phones and other innovative methods. Instead of using the traditional walking method when choosing a retailer from which to purchase a product, consumers can simply find the appropriate online retailer and product and complete their purchase online. In the online duopoly linear market consisting of consumers and two online retailers, the online retailers r 1 and r 2 are located at the left endpoint 0 and right endpoint 1, respectively, and the consumers are evenly distributed on the line interval of [ 0 , 1 ] , as shown in Figure 2. The two online retailers at the two ends of the market sell homogeneous products at prices p 1 and p 2 for online retailers r 1 and r 2 , respectively, while the purchase costs of the products for the two online retailers are not considered. The distance between consumer x and the two online retailers is the consumer’s online choice search cost (i.e., the cost of finding the corresponding online retailer); the closer to the online retailer, the less time the consumer spends searching for this retailer. Moreover, consumers can purchase a unit from online retailers r 1 and r 2 , where t is the unit time cost and t > 0 . The initial utility of each consumer is V and is sufficiently large. U 1 is the consumer’s utility when purchasing the goods from online retailer r 1 , and U 2 is the consumer’s utility when purchasing the goods from online retailer r 2 .
The two online retailers sell products to consumers and also provide some online shopping consultation services for consumers in the process of purchasing products. Meanwhile, the online retailer r 1 provides the set non-human online shopping consultation service (referred to as the non-human service), while the online retailer r 2 can make a choice between the non-human and human online shopping consultation service (referred to as the human service). The non-human online shopping consultation service provides answers to some common consumer questions, and it is simple and fast. However, it suffers from unclear answers and possible mismatch between answers and consumers’ shopping questions. On the consumer side, the utility obtained by consumers from the non-human services provided by online retailers r 1 and r 2 is v 1 and v 2 , respectively, and both are greater than 0. Alternatively, online retailer r 2 can choose to provide a human online shopping consultation service—that is, to communicate with the consumer and answer their questions in real time through customer service agents. In addition, the service level of the human online shopping consultation service provided by online retailer r 2 is e ( e > 0 ). When e is larger, it means that the service level of the human online shopping consultation service provided by online retailer r 2 is higher, and it provides assistance to solve the related shopping problems of consumers. When e is smaller, it means that the service level of the human online shopping consultation service provided by online retailer r 2 is lower and provides consumers with less assistance. Therefore, the service level e of the human service provided by online retailer r 2 also reflects the utility that the consumer obtains from this human service. The higher the level of human service e , the greater the utility perceived by the consumer. Furthermore, the service level sensitivity of consumers to the human service provided by online retailer r 2 is β and β > 0 , which also reflects the degree of consumer preference for the human service. Compared with non-human services, when human services perform one-to-many consulting services, there will be problems such as delayed replies. As a result, consumers incur waiting costs w for human services provided by online retailer r 2 . The structure of the whole supply chain is shown in Figure 3. When online retailer r 2 provides a human online shopping consultation service, the service cost is 1 2 k e 2 , where k is the human service cost coefficient and k > 0 . In addition, we assume in this paper that β 2 < 4 k t .

3.2. Notations Description

The variables involved in this paper and their definitions are shown in Table 1.

4. Discussion

In this market, online retailers r 1 and r 2 compete with each other. Online retailer r 1 adopts a non-human service, while online retailer r 2 adopts two different service strategies, either a human or non-human service. Therefore, in this paper, we consider the NN and NH modes for analysis. In addition, * as a superscript represents the optimal result, the superscripts NN and NH denote the two different modes, and the subscript i ( i = 1 , 2 ) represents the online retailer r i . Moreover, the game model and equilibrium results are presented in this section.

4.1. Mode NN: Online Retailers r 1 and r 2 Are Both Non-Human Services

In mode NN, consumers x buy a product from online retailer r 1 , and the utility that they obtain is U 1 = V p 1 t x + v 1 . Consumers x buy a product from online retailer r 2 , and the utility that they obtain is U 2 = V p 2 t ( 1 x ) + v 2 . By making the two utilities equal, we obtain the indifferent point x ˜ = p 2 p 1 + v 1 v 2 + t 2 t . Consumers located in [ 0 , x ˜ ) will purchase a product from the online retailer r 1 , while consumers located in ( x ˜ , 1 ] will purchase a product from the online retailer r 2 . Both online retailers have non-empty market shares if, and only if, x ˜ [ 0 , 1 ] ] . Therefore, the demands for the two retailers are:
D 1 = x ˜ = p 2 p 1 + v 1 v 2 + t 2 t
D 2 = 1 x ˜ = p 1 p 2 + v 2 v 1 + t 2 t
Thus, the profits of online retailers r 1 and r 2 are:
π 1 = p 1 ( p 2 p 1 + v 1 v 2 + t 2 t )
π 2 = p 2 ( p 1 p 2 + v 2 v 1 + t 2 t )

4.2. Mode NH: Online Retailer r 1 Is a Non-Human Service, Online Retailer r 2 Is a Human Service

In mode NH, consumers x buy a product from online retailer r 1 , and the utility that they obtain is U 1 = V p 1 t x + v 1 . Consumers x buy a product from online retailer r 2 , and the utility that they obtain is U 2 = V p 2 t ( 1 x ) + β e w . Similarly, the indifferent point x ¯ = p 2 p 1 ( β e w ) + v 1 + t 2 t is obtained by equating the two utilities. Consumers located in [ 0 , x ¯ ) will purchase a product from the online retailer r 1 , while consumers located in ( x ¯ , 1 ] will purchase a product from the online retailer r 2 . Both online retailers have non-empty market shares if and only if x ¯ [ 0 , 1 ] . Therefore, the demands for online retailers r 1 and r 2 are:
D 1 = x ¯ = p 2 p 1 ( β e w ) + v 1 + t 2 t
D 2 = 1 x ¯ = p 1 p 2 + ( β e w ) + t v 1 2 t
Thus, the profits of online retailers r 1 and r 2 are:
π 1 = p 1 ( p 2 p 1 β e + w + v 1 + t 2 t )
π 2 = p 2 ( p 1 p 2 + β e w v 1 + t 2 t ) 1 2 k e 2

4.3. Equilibrium Results

The corresponding equilibrium results for online retailers r 1 and r 2 are obtained based on the underlying models for the two modes above. The equilibrium results for the two different modes are shown in Table 2. Meanwhile, in this paper, 0 D 1 , D 2 1 , so we assume that the relevant parameters considered should satisfy the following conditions: 3 t v 1 v 2 3 t , w + v 1 3 t and β 2 k ( 3 t + w + v 1 ) .
Proof see Appendix A.
Corollary 1.
In mode NN, π 1 N N v 1 > 0 , π 1 N N v 2 < 0 , π 2 N N v 1 < 0 , π 2 N N v 2 > 0 .
Corollary 1 shows that, in mode NN, the optimal profit of online retailer r 1 increases as the utility v 1 that consumers obtain from the non-human services that they provide increases, and it decreases as the utility v 2 that consumers obtain from the non-human services provided by online retailer r 2 increases. The optimal profit of online retailer r 2 increases as the utility v 2 that consumers obtain from the non-human services that they provide increases, and it decreases as the utility v 1 that consumers obtain from the non-human services provided by online retailer r 1 increases. This illustrates how the utility to consumers of the non-human online shopping consultation service provided by an online retailer can have an impact on their own profits and the profits of other online retailers. The provision of such non-human shopping consultation services can increase the online retailer’s market competitiveness. In the online shopping process, the better the experience of the non-human online shopping consultation service provided by online retailer r 2 to consumers, the more consumers will be inclined to purchase its product, so as to obtain more profits. However, this will also have a negative impact on online retailer r 1 and lead to a decrease in its profit. In addition, the same is true when online retailer r 1 offers non-human online shopping consultation services.
Corollary 2.
The sensitivity of p i N H and D i N H ( i = 1 , 2 ) to parameters β and k for online retailers is:
( i ) p 1 N H k > 0 ,     D 1 N H k > 0 ;   p 1 N H β < 0 ,     D 1 N H β < 0 ;
( ii ) p 2 N H k < 0 ,     D 2 N H k < 0 ;     p 2 N H β > 0 ,     D 2 N H β > 0
Proof of Corollary 2 see Appendix A.
Corollary 2 shows that in mode NH, the optimal price and demand of the online retailer r 1 increase as the cost coefficient k increases, and the optimal price and market share of the online retailer r 2 decrease as the cost coefficient k increases. When the service level is fixed, the cost coefficient k of online retailer r 2 decreases, and the cost of providing human online shopping consultation services will decrease. Online retailer r 2 is more willing to increase the provision of such services, so as to attract more consumers and increase its market demand. At the same time, after obtaining a greater market demand through human services, online retailer r 2 will tend to increase the price of its products and thus gain higher profits. In the case of online retailer r 1 , which is inferior to online retailer r 2 in terms of service, the increase in demand from online retailer r 2 leads to a decrease in demand from online retailer r 1 , which in turn will resort to lower prices to maintain its market position and a certain market share.
The optimal price and demand of online retailer r 1 decrease with the increase in human service level sensitivity β , while the optimal price and demand of online retailer r 2 increase with the increase in human service level sensitivity β . The higher the sensitivity β of consumers’ human service level, the more sensitive consumers are to the human service, and they are more inclined to choose the online retailer r 2 . As a result, online retailer r 2 gains a higher market share and maximizes its profits by increasing the price of its products. In this scenario, due to the decrease in the market share of online retailer r 1 , online retailer r 1 will still maintain a certain competitiveness in the market by lowering the price of its product.
Proposition 1.
We obtain π 2 N H v 1 < 0 ,     π 2 N H w < 0 . When 0 < β < 2 k t , we can know π 2 N H β > 0 ; when 2 k t < β < 2 k t , we can know π 2 N H β < 0 .
Proof of Proposition 1 see Appendix A.
Proposition 1 shows that in mode NH, the optimal profit of online retailer r 2 decreases as the consumer waiting cost w increases, and it decreases as the utility v 1 obtained by the consumer from the non-human services of online retailer r 1 increases. This shows that both the consumer waiting cost w and the utility v 1 obtained by the consumer from the online retailer r 1 have an impact on the profit of online retailer r 2 . Either an increase in consumer waiting cost w , an increase in utility v 1 , or both, will have a negative impact on online retailer r 2 , causing consumers to choose to buy products from online retailer r 1 , thus reducing the demand and profits for online retailer r 2 . On the one hand, this is because an increase in consumer waiting cost w can lead to a poorer experience for consumers using human services. On the other hand, it is because the greater utility v 1 gained by consumers from the non-human services of online retailer r 1 will lead to a greater demand for online retailer v 1 . In other words, online retailer r 1 is able to solve consumers’ shopping problems by providing non-human services such as a Q&A column and AI online shopping consultation.
Meanwhile, when β ( 0 , 2 k t ) , the optimal profit of online retailer r 2 increases as the consumer’s human service level sensitivity β increases, and when β [ 2 k t , 2 k t ) , the optimal profit of online retailer r 2 decreases as the consumer’s human service level sensitivity β increases. If online retailer r 2 provides human online shopping consultation services and the service level of this service is certain, the profit of online retailer r 2 increases when the consumer’s human service level sensitivity β is in the smaller interval, and a larger value for the consumer’s human service level sensitivity β indicates the consumer’s preference for human services. In addition, when the consumer’s human service level sensitivity β is in the larger interval, the consumer’s preference for human services is in a higher range. When the service level is fixed, the human service level provided by online retailer r 2 is less able to match the consumer’s sensitivity β . Therefore, in the larger interval of β , the more the human service level sensitivity β increases, the more difficult it is for the online retailer r 2 to match the consumer’s service sensitivity β , and the more the provision of this human service will lead to consumer dissatisfaction, which in turn will lead to a reduced demand and lower profits for the online retailer r 2 .

5. Analysis of Service Strategy Selection

5.1. Comparative Analysis of Two Online Retailers in Mode NN

Proposition 2.
In mode NN, when 0 < Δ v 3 t , we have p 2 N N > p 1 N N , D 2 N N > D 1 N N and π 2 N N > π 1 N N ; when 3 t Δ v < 0 , we have p 2 N N < p 1 N N , D 2 N N < D 1 N N and π 2 N N < π 1 N N . Here, Δ v = v 2 v 1 .
In mode NN, the condition 0 < Δ v 3 t ensures that consumers obtain more utility from online retailer r 2 than from online retailer r 1 , and the difference in utility between the two is less than 3 t . This suggests that online retailer r 2 provides a better non-human online shopping consultation service and a better service experience for consumers than online retailer r 1 . Therefore, online retailer r 2 can attract more consumers and gain a larger market share through the non-human service that it provides. In the case of attracting more consumers through this non-human service, online retailer r 2 can increase the price of its products and thus earn greater profits.
The condition 3 t Δ v < 0 ensures that the utility obtained from online retailer r 1 is greater than that obtained from online retailer r 2 , and the difference in utility between the two is greater than 3 t . This shows that compared with online retailer r 2 , online retailer r 1 provides a better non-human online shopping consultation service and provides a better service experience to consumers. Therefore, online retailer r 1 can attract more consumers and gain a larger market share through the non-human services that it provides. In such a scenario, online retailer r 1 can increase the price of its products and thus earn greater profits.
Figure 4 illustrates the effect of the difference in utility of non-human services Δ v between two online retailers, where t = 0.6 . Among them, Figure 4a reflects the price changes of the two online retailers, Figure 4b reflects the demand changes of the two online retailers, and Figure 4c reflects the profit changes of the two online retailers. It can be seen from the graphs that the point at which the relationship between the magnitude of the price, demand and profit of online retailers r 1 and r 2 is altered is always Δ v = 0 . In a situation where both online retailers compete by adopting non-human services, the utility obtained by consumers from the non-human online shopping consultation services provided by online retailers will have an impact on the price, demand and profit of online retailers. When the non-human online shopping consultation service provided by an online retailer brings more utility to consumers than that of another online retailer, the higher utility will attract more consumers and increase the online retailer’s market share, allowing it to take advantage of the service to increase its prices and thus profits.

5.2. Comparative Analysis of Two Online Retailers in Mode NH

Proposition 3.
In mode NH, the magnitude relationship between p 2 N H and p 1 N H is the same as that between D 2 N H and D 1 N H for different cases of w + v 1 , as shown inTable 3.
Proof of Proposition 3 see Appendix A.
Table 3. Comparison of price and demand for two online retailers in mode NH.
Table 3. Comparison of price and demand for two online retailers in mode NH.
w + v 1 β Relationship between p 2   and   p 1 Relationship between D 2   and   D 1
0 < w + v 1 < t ( 0 , 2 k ( w + v 1 ) ] p 2 N H p 1 N H D 2 N H D 1 N H
( 2 k ( w + v 1 ) , k ( 3 t + w + v 1 ) ] p 2 N H > p 1 N H D 2 N H > D 1 N H
t < w + v 1 < 2 t ( 0 , 2 k ( w + v 1 ) ] p 2 N H p 1 N H D 2 N H D 1 N H
( 2 k ( w + v 1 ) , 2 k t ] p 2 N H > p 1 N H D 2 N H > D 1 N H
2 t < w + v 1 < 3 t ( 0 , 2 k ( w + v 1 ) ] p 2 N H p 1 N H D 2 N H D 1 N H
Proof see Appendix A.
For online retailer r 2 , changes in waiting cost w and utility v 1 will have an impact on it. An increase in waiting cost w , utility v 1 , or both, will have a negative impact on online retailer r 2 . In Proposition 3, w + v 1 is divided into three different intervals of low, medium and high, namely ( 0 , t ) , ( t , 2 t ) and ( 2 t , 3 t ) . Proposition 3 shows that in two different scenarios, 0 < w + v 1 < t and t < w + v 1 < 2 t , consumer sensitivity to the human service level of online retailers r 2 is divided into two intervals. When β is in the smaller interval, both the price and demand of online retailer r 2 are smaller than the price and demand of online retailer r 1 ; when β is in the larger interval, both the price and demand of online retailer r 2 are larger than the price and demand of online retailer r 1 . In the scenario where 2 t < w + v 1 < 3 t and β takes values in the range ( 0 , 2 k ( w + v 1 ) ] , the price and demand of online retailer r 2 are both smaller than the price and demand of online retailer r 1 . In the scenario where w + v 1 is in a high interval, a higher waiting cost w will cause consumers to be dissatisfied with the human service of online retailer r 2 , and higher utility v 1 will cause consumers to have a better shopping experience with online retailer r 1 , which will lead to a reduction in demand for online retailer r 2 . Therefore, in the case of adopting human services, online retailer r 2 will remain competitive in the market by reducing its prices.
When t = 0.6 , k = 2 and w + v 1 = { 0.2 , 0.8 , 1.4 } , Figure 5a,b shows how the price and demand of the two online retailers change with consumers’ human service sensitivity β , respectively. In both graphs in Figure 5, the price and demand of online retailer r 1 decrease with the increase in the consumer’s human service sensitivity β , while the price and demand of online retailer r 2 increase with the increase in the consumer’s human service sensitivity β . As w + v 1 increases, the price and demand of online retailer r 1 increases and the price and demand of online retailer r 2 decreases. Thus, the trend in price and demand for online retailer r 1 is the same as the trend in w and v 1 , and the trend in price and demand for online retailer r 2 is the opposite of the trend in w and v 1 . In addition, when both w + v 1 and β are large, the price and demand of online retailers r 1 and r 2 change more slowly; when w + v 1 and β are small, the price and demand of online retailers r 1 and r 2 change more steeply. When consumers are sensitive to human services, lower waiting costs indicate that online retailer r 2 is more timely and efficient in resolving consumer-related shopping enquiries, and the lower perceived utility obtained by consumers at online retailer r 1 indicates a poorer non-human service experience for online retailer r 1 , both of which together indicate a higher level of service for online retailer r 2 . For online retailer r 2 , a higher level of human service can attract more consumers and increase its market share, as well as increasing the price of its products, thus allowing it to earn higher profits.

5.3. Sensitivity Analysis of the Service Level e of Human Service

Proposition 4.
When the online retailer r 2 provides human online shopping consultation services, we can know e w < 0 , e v 1 < 0 , e β > 0 .
Proof of Proposition 4 see Appendix A.
Proposition 4 shows that the human service level of online retailer r 2 decreases as the consumer’s waiting cost w and the utility v 1 obtained by the consumer at online retailer r 1 increase. Moreover, the level of human service at online retailer r 2 increases as the consumer’s sensitivity β to the service level of human service at online retailer r 2 increases. The increase in consumers’ waiting costs indicates that consumers incur more costs, such as waiting time, when they participate in a shopping consultation at online retailer r 2 , and that the human online shopping consultation service provided by online retailer r 2 does not address consumers’ relevant shopping enquiries well, thus indicating that the service level of the human service is decreasing. At the same time, the increase in the utility v 1 obtained by consumers at online retailer r 1 indicates that the non-human online shopping consultation service provided by online retailer r 1 has resulted in higher utility for consumers. Compared with the service provided by online retailer r 1 , the service level of human service provided by online retailer r 2 is relatively low. Furthermore, when the sensitivity β of consumers to this human online shopping consultation service is increased, online retailers can improve their service level, which can improve the shopping experience of consumers and create a greater demand.
The three graphs in Figure 6 illustrate how the service level of the human online shopping consultation service for online retailer r 2 varies with the waiting cost w , consumer human service sensitivity β and the utility v 1 obtained by consumers at online retailer r 1 . In this case, the parameters are set as follows: (a) t = 0.6 , k = 2 , v 1 = 0.2 , β = { 1 , 1.5 , 2 } ; (b) t = 0.6 , k = 2 , w = 0.2 , β = { 1 , 1.5 , 2 } ; (c) t = 0.6 , k = 2 , v 1 = 0.2 , w = { 0.2 , 0.6 , 1 } . As seen in Figure 6a,b, the service level of the human online shopping consultation service of online retailer r 2 decreases as the waiting cost w and the utility v 1 obtained by consumers at online retailer r 1 increase. The increase in waiting cost indicates that the greater the cost in terms of time spent by consumers in the online shopping consultation process, the lower the service level of the human service provided by online retailer r 2 . The increase in the utility obtained by consumers at online retailer r 1 indicates that the greater the perceived utility at online retailer r 1 when the sensitivity of human services is fixed, the lower the service level of human services provided by online retailer r 2 . Meanwhile, as consumers’ human service sensitivity increases, the waiting cost w and the service level e decrease less with each increase in consumers’ utility v 1 at online retailer r 1 .
As seen in Figure 6c, the service level of the human online shopping consultation service of online retailer r 2 increases with the increase in the consumer’s human service sensitivity β . When the human service sensitivity β is low, the change in human service level e with service sensitivity β is small; when the human service sensitivity β is high, the change in human service level e with service sensitivity β is larger. In addition, when the human service sensitivity β increases to a certain level, the continuous increase in human service sensitivity β will lead to a large increase in the human service level e . At the same time, for a certain level of β , the reduction in the waiting cost has a promoting effect on the improvement in the service level, and the improvement in the service level brought about by the reduction in the waiting cost from 0.6 to 0.2 is greater than the improvement in the service level brought about by the reduction in the waiting cost from 1 to 0.6.

5.4. Comparative Analysis of Profit in Mode NH for Two Online Retailers

Proposition 5.
In mode NH, when 0 < β 2 < B 1 , we have π 2 N H < π 1 N H ; when B 1 < β 2 < B 2 , we have π 2 N H > π 1 N H . The expressions of B 1 and B 2 are shown in the Appendix A.
Proof of Proposition 5 see Appendix A.
Proposition 5 shows that in mode NH, the profit of online retailer r 2 is smaller than the profit of online retailer r 1 when the service level sensitivity β of consumers to human services is small, while the profit of online retailer r 2 is larger than the profit of online retailer r 1 when the service level sensitivity β of consumers to human services is larger. For online retailer r 2 , which can adopt different service strategies, the greater the service level sensitivity β of consumers to human services, the more beneficial it is for online retailer r 2 . In the case of a greater consumer preference for human services, the provision of a human online shopping consultation service can attract more consumers and increase the market demand for online retailer r 2 , and then increase its profit.
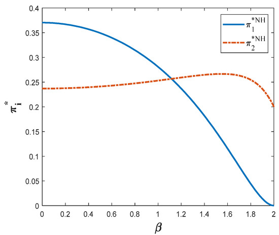
Figure 7 illustrates how the profits of online retailers r 1 and r 2 in mode NH vary with the service level sensitivity β of consumers to human services, respectively. Parameter settings are as follows: t = 0.6 , k = 2 , w + v 1 = { 0.2 , 0.4 , 0.6 } . As seen in Figure 7a, the profit of online retailer r 1 decreases with the increase in β and increases with the increase in w + v 1 . In Figure 7b, we find that the profit of online retailer r 2 first increases and then decreases with the increase in β , and it increases with the decrease in w + v 1 . At the same time, the decrease in w + v 1 also renders the curve of online retailer r 2 ’s profit with β steeper, which means that the change in β has a greater impact on online retailer r 2 ’s profit. In addition, for online retailer r 2 , there exists a consumer service sensitivity β = 2.4 that maximizes its profit. When β < 2.4 , online retailer r 2 increases with the increase in β and the increase is small. When β > 2.4 , the online retailer r 2 decreases with the increase in β and the decrease is large. In other words, under a certain service level of online retailer r 2 , when the consumer’s human service sensitivity β is high, the human online shopping consultation service provided by online retailer r 2 does not meet the consumer’s requirements well, but instead causes the consumer’s dissatisfaction, which in turn has an impact on their business sales and leads to a decline in their profits.
Figure 8 shows how the profits of online retailers r 1 and r 2 vary with consumer service sensitivity β in mode NH and how they compare to each other by placing their profits together. The parameter settings are as follows: t = 0.6 , k = 2 , w + v 1 = 0.2 . As seen in Figure 8, online retailers r 1 and r 2 compete in the same market and there is a consumer sensitivity β = B 1 that causes the relationship between the magnitude of the profits of the two online retailers to change. Meanwhile, when 0 < β < B 1 , the profit of online retailer r 1 is greater than that of online retailer r 2 . When B 1 < β < 2 , the profit of online retailer r 2 is greater than that of online retailer r 1 . Therefore, in mode NH, online retailer r 2 does not consistently earn higher profits in this market by adopting a human online shopping consultation service. The profits of both online retailers are affected by the service level sensitivity β of consumers to human services, and changes in the sensitivity of human service levels have a greater impact on the magnitude of changes in the profits of online retailer r 1 .

5.5. Optimal Service Strategy for Online Retailer r 2

Proposition 6.
For the online retailer r 1 , when v 1 V 1 , we can know π 1 N H π 1 N N ; when v 1 < V 1 , we can know π 1 N H < π 1 N N . See the Appendix A for the expression of V 1 .
Proof of Proposition 6 see Appendix A.
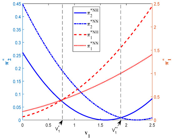
Proposition 6 shows that online retailer r 1 obtains more profit in mode NH when the utility to consumers from the non-human online shopping consultation service provided by online retailer r 1 is greater than or equal to V 1 . When the utility to consumers from the non-human online shopping consultation service provided by online retailer r 1 is less than V 1 , online retailer r 1 obtains more profit and the profits are greater in mode NN. Either in mode NN or in mode NH, the online retailer r 1 provides a non-human online shopping consultation service. Given all other conditions, online retailer r 1 obtains more profit in mode NH when the level of human service of online retailer r 2 is certain and v 1 is larger. Therefore, when v 1 is larger, online retailer r 1 would benefit more from providing non-human services in mode NH; when v 1 is smaller, online retailer r 1 would benefit more from providing non-human services in mode NN.
Proposition 7.
For the online retailer r 2 , when v 1 V 1 , we can know π 2 N H π 2 N N ; when v 1 < V 1 , we can know π 2 N H < π 2 N N . See the Appendix A for the expression of V 1 .
Proof of Proposition 7 see Appendix A.
Proposition 7 shows that online retailer r 2 obtains more profit by offering human online shopping consultation services when the utility to consumers from non-human online shopping consultation services provided by online retailer r 1 is greater than or equal to V 1 . When the utility to consumers from non-human online shopping consultation services provided by online retailer r 1 is less than V 1 , the profit obtained by online retailer r 2 from providing non-human online shopping consultation services is greater. In a situation where consumers are sensitive to the service level of online retailer r 2 ’s human service, the larger v 1 , the more profit online retailer r 2 can generate by differentiating its decision to offer a human service. Hence, when v 1 is small, online retailer r 2 would benefit more from adopting non-human online shopping consultation services; when v 1 is large, online retailer r 2 would benefit more from adopting human online shopping consultation services.
Figure 9 illustrates the profit comparison of online retailer r 1 in two different modes and that of online retailer r 2 in two different modes. It also illustrates how the profit of the two online retailers varies with v 1 . The parameters are as follows: t = 0.6 , k = 1.5 , w = 0.2 , v 2 = 0.4 , β = 1.5 . It can be seen from Figure 9 that the utility of v 1 to consumers from online retailer r 1 ’s non-human online shopping consultation service has an impact on the profits of both online retailers. For online retailer r 1 , when the utility v 1 obtained from the non-human service provided by online retailer r 1 is small (that is, v 1 < V 1 ), the profit of online retailer r 1 in mode NN is greater than its profit in mode NH; when the utility v 1 obtained by the consumer from the non-human service of online retailer r 1 is large (that is, v 1 > V 1 ), the profit of online retailer r 1 in mode NH is greater than its profit in mode NN. For online retailer r 2 , when the utility v 1 obtained from the non-human service provided by online retailer r 1 is small (that is, v 1 < V 1 ), the profit of online retailer r 2 in mode NN is greater than that in mode NH; when v 1 is large (that is, v 1 > V 1 ), online retailer r 2 makes more profit in mode NH than it does in mode NN.
In mode NN, both online retailers r 1 and r 2 adopt non-human online shopping consultation services. When v 2 is constant and v 1 is large, the profit of online retailer r 1 is higher. In other words, for consumers, the greater the utility of the service provided by whoever operates in this mode, the more they will purchase products from this online retailer. In mode NH, on the other hand, online retailers r 1 and r 2 adopt different service strategies, which means service differentiation. Given a certain consumer service sensitivity β , waiting cost w and v 1 , a larger v 1 will have a greater impact on the profit of online retailer r 2 in mode NN, while it will have a smaller impact on the profit of online retailer r 2 in mode NH. Therefore, online retailer r 2 can adjust its service decision according to the magnitude of the utility v 1 that the non-human service of the online retailer r 1 brings to the consumer.

6. Conclusions

With the development of online sales, online shopping has become an indispensable part of consumers’ daily lives. At the same time, with the advancement of technology, new technologies such as AI are being applied to non-human services. The improvement of living standards has caused consumers to increasingly pay attention to e-services, and online shopping consultation services are one of the most important elements. Therefore, this paper investigates the service decision problem between human and non-human online shopping consultation services of online retailers in an online duopoly market by constructing a Hotelling improvement model, and the impact of consumers’ sensitivity to the service level of human services on the pricing and service decisions of two online retailers in this market is analyzed. Meanwhile, the relevant equilibrium results and service decisions of the online retailers are also investigated in conjunction with numerical simulation analysis. Our analysis yielded some important insights. First, the sensitivity of consumers to the service level of human online shopping consultation services has an impact on the demand and profitability of online retailers. On the one hand, the existence of an optimal level of human online shopping consultation service maximizes the profits of online retailers. On the other hand, the sensitivity of consumers to the service level of a human online shopping consultation service has an impact on the service level, which in turn affects the profit of the online retailer. Second, human online shopping consultation services are not always profitable. When the sensitivity of consumers to the service level of human online shopping consultation services is greater than a certain value, the decision regarding whether to adopt a human online shopping consultation service can allow the online retailer to obtain a favorable position within the market and obtain higher profits. Third, the service level of human online shopping consultation services does have an impact on consumers’ purchasing decisions. When consumers have high sensitivity to the human online shopping consultation service within a certain range, an increase in the level of such services by the online retailer can improve the consumer’s shopping experience and the likelihood of an eventual purchase, thus generating more demand. Fourth, when two online retailers are competing, the utility of the services of one online retailer that adopts non-human services will affect the service decisions of the other online retailer. When the online retailer adopting a non-human service brings greater utility to consumers, another online retailer adopting a human service strategy will bring them greater profits.
Our analysis contributes to the literature in a number of ways. On the one hand, in contrast to most of the current studies, our study considers consumers’ human service level sensitivity and analyzes the decision-making problem of human online shopping consultation services by constructing a theoretical model. On the other hand, our study adds to the literature on online shopping consultation services. This study provides managerial implications for online retailers. When two online retailers compete online in the time at which consumers pay attention to services, the online retailer that adds a human online shopping consultation service can indeed gain some advantages in the market. The provision of a human online shopping consultation service can attract more consumers and increase its market share. Furthermore, online retailers should take account of the situation and adjust their service strategy to increase their investment in online shopping consultation services when consumers are more focused on service, in order to increase their competitiveness in the market. Finally, online retailers can improve their service level in terms of human online shopping consultation services by increasing the number of customer service staff in order to reduce the waiting time for consumer enquiries, and they can train customer service staff to improve the quality of their services, which in turn will improve consumers’ experiences and sense of satisfaction in the online shopping process and enhance the market competitiveness of the online retailer.
There are still some limitations to this study. For example, we did not consider the issue of product returns in online sales, which is a common problem in the sale of products. Although human online shopping consultation services can provide consumers with better solutions to related shopping problems, reduce unnecessary hassles, to some extent, resolve the mismatch between answers and questions during the consumer shopping process, the phenomenon of product returns will remain. Therefore, the question of how the provision of human online shopping consultation services affects consumers’ product returns remains unaddressed. In addition, we did not take into account the cost of products for online retailers in our study. Moreover, consumer sensitivity to price is not covered in this paper, and it may become more interesting to consider both consumer sensitivity to price and sensitivity to service. These are several aspects that can be considered in future research.

Author Contributions

Conceptualization, L.Z. and W.W.; methodology, L.Z. and M.J.; software, L.Z.; validation, L.Z., W.W. and M.J.; formal analysis, L.Z.; investigation, L.Z.; resources, W.W.; writing—original draft, L.Z.; writing—review & editing, L.Z., W.W. and M.J.; supervision, W.W.; project administration, W.W.; funding acquisition, W.W. All authors have read and agreed to the published version of the manuscript.

Funding

The National Natural Science Foundation of China (72072047); Heilongjiang Philosophy and Social Science Research Project (19GLB087; 20JYB033); The Humanities and Social Sciences Project of Ministry of Education in China (20YJC630090).

Institutional Review Board Statement

Not applicable.

Informed Consent Statement

Not applicable.

Data Availability Statement

Not applicable.

Acknowledgments

The authors would like to thank the anonymous referees for their comments and suggestions.

Conflicts of Interest

The authors declare no conflict of interest.

Appendix A

Proof of Equilibrium Results in mode NN.
π 1 is a concave function on p 1 and π 2 is a concave function on p 2 . Combining the equations π 1 p 1 = 0 and π 2 p 2 = 0 , we obtain the optimal price: p 1 N N = 3 t + v 1 v 2 3 and p 2 N N = 3 t + v 2 v 1 3 . Then, by inserting the equations p 1 N N and p 2 N N into Equation (1) and Equation (2), we have: D 1 N N = 3 t + v 1 v 2 6 t and D 2 N N = 3 t + v 2 v 1 6 t .
As 0 D 1 , D 2 1 , the following condition is to be satisfied: 3 t v 1 v 2 3 t . By inserting p 1 N N and p 2 N N into Equation (3) and Equation (4), We have the profits of online retailers r 1 and r 2 : π 1 N N = ( 3 t + v 1 v 2 ) 2 18 t and π 2 N N = ( 3 t + v 2 v 1 ) 2 18 t . □
Proof of Equilibrium Results in mode NH.
With Equation (8), taking the derivatives of π 2 with respect to e , we obtain: π 2 e = p 2 β 2 t k e . With π 2 e = 0 , we have e ¯ = p 2 β 2 k t . Thus, by inserting e ¯ into Equation (7) and Equation (8), we have: π 1 = ( p 2 p 1 p 2 β 2 2 k t + w + v 1 + t ) p 1 2 t and π 2 = ( p 1 p 2 + p 2 β 2 2 k t w v 1 + t ) p 2 2 t 1 2 k ( p 2 β 2 k t ) 2 . By taking the derivative of π 1 with respect to p 1 and π 2 with respect to p 2 , we can get: π 1 p 1 = 1 2 t ( p 2 2 p 1 p 2 β 2 2 k t + w + v 1 + t ) and π 2 p 2 = 1 2 t ( p 1 2 p 2 + p 2 β 2 k t w v 1 + t ) p 2 β 2 4 k t 2 . Then, by finding the second-order derivative of π 1 with respect to p 1 and π 2 with respect to p 2 , we obtain: 2 π 1 p 1 2 = 1 t and 2 π 2 p 2 2 = 1 t + β 2 4 k t 2 . By checking 2 π 1 p 1 2 , we have: 2 π 1 p 1 2 = 1 t < 0 . If 2 π 2 p 2 2 < 0 , then β 2 < 4 k t . Combining the equations π 1 p 1 = 0 and π 2 p 2 = 0 , we obtain the optimal price: p 1 N H = 2 t ( 3 k t + k v 1 + k w β 2 ) 6 k t β 2 , p 2 N H = 2 t ( 3 k t k v 1 k w ) 6 k t β 2 and e = β ( 3 t v 1 w ) 6 k t β 2 . Then, by inserting the equations p 1 N H , p 2 N H and e into Equation (5) and Equation (6), we have: D 1 N H = k ( 3 t + w + v 1 ) β 2 ( 6 k t β 2 ) and D 2 N H = k ( 3 t w v 1 ) ( 6 k t β 2 ) .
As 0 D 1 , D 2 1 , the following condition is to be satisfied: { w + v 1 3 t ,     β 2 k ( 3 t + w + v 1 ) } . By inserting p 1 N H , p 2 N H and e N H into Equation (7) and Equation (8), We have the profits of online retailers r 1 and r 2 : π 1 N H = 2 t [ k ( 3 t + v 1 + w ) β 2 ] 2 ( 6 k t β 2 ) 2 and π 2 N H = k ( 3 t v 1 w ) 2 ( 4 t k β 2 ) 2 ( 6 k t β 2 ) 2 . □
Proof of Corollary 2.
In Mode NH, by taking the derivatives of p i with respect to k and β and taking the derivatives of D i with respect to k and β , we obtain: p 1 k = 2 t β 2 ( 3 t w v 1 ) ( 6 k t β 2 ) 2 , p 2 k = 2 t β 2 ( 3 t w v 1 ) ( 6 k t β 2 ) 2 ; p 1 β = 4 β t k ( 3 t w v 1 ) ( 6 k t β 2 ) 2 , p 2 β = 4 β t k ( 3 t w v 1 ) ( 6 k t β 2 ) 2 ; D 1 k = β 2 ( 3 t w v 1 ) ( 6 k t β 2 ) 2 , D 2 k = β 2 ( 3 t + w + v 1 ) ( 6 k t β 2 ) 2 ; D 1 β = 2 β k ( 3 t w v 1 ) ( 6 k t β 2 ) 2 , D 2 β = 2 β k ( 3 t + w + v 1 ) ( 6 k t β 2 ) 2 .
When 3 t w v > 0 , we have: p 1 k > 0 , p 2 k < 0 ; p 1 β < 0 , p 2 β > 0 ; D 1 k > 0 , D 2 k < 0 ; D 1 β < 0 , D 2 β > 0 . □
Proof of Proposition 1.
Taking the derivative of π 2 N H with respect to v 1 and w , we have: π 2 N H v 1 = k ( 3 t v 1 w ) ( 4 t k β 2 ) ( 6 k t β 2 ) 2 and π 2 N H w = k ( 3 t v 1 w ) ( 4 t k β 2 ) ( 6 k t β 2 ) 2 . When 3 t v 1 w > 0 and 4 t k β 2 > 0 , we have: π 2 N H v 1 < 0 and π 2 N H w < 0 . Taking the derivative of π 2 N H with respect to β , after simplifying, we have π 2 N H β = β k ( 3 t v 1 w ) 2 ( 2 t k β 2 ) ( 6 k t β 2 ) 3 .
When 3 t v 1 w > 0 and 6 k t β 2 > 0 , thus the magnitude of π 2 N H β and 0 depends on the magnitude of 2 t k β 2 and 0. So when 2 t k β 2 > 0 , that is, 0 < β < 2 k t , we have π 2 N H β > 0 ; when 2 t k β 2 < 0 , that is, 2 k t < β < 2 k t , we have π 2 N H β < 0 . □
Proof of Proposition 3.
With price discrimination and demand discrimination, we have: Δ p = p 2 N H p 1 N H = 2 t ( β 2 2 k w 2 k v 1 ) 6 k t β 2 , Δ D = D 2 N H D 1 N H = β 2 2 k w 2 k v 1 6 k t β 2 . When w + v 1 3 t and β 2 k ( 3 t + w + v 1 ) , we have: k ( 3 t + w + v 1 ) k ( 2 w + 2 v 1 ) = k ( 3 t w v 1 ) 0 . Then, we obtain: k ( 3 t + w + v 1 ) k ( 2 w + 2 v 1 ) .
When 0 < w + v 1 < t , with 0 < β 2 k ( w + v 1 ) , we have: p 2 p 1 and D 2 D 1 ; with 2 k ( w + v 1 ) < β k ( 3 t + w + v 1 ) , we have: p 2 > p 1 and D 2 > D 1 . When t < w + v 1 < 2 t , with 0 < β 2 k ( w + v 1 ) , we have: p 2 p 1 and D 2 D 1 ; with 2 k ( w + v 1 ) < β 2 k t , we have: p 2 > p 1 and D 2 > D 1 . When 2 t < w + v 1 < 3 t , with 0 < β 2 k t , we have: p 2 p 1 and D 2 D 1 . □
Proof of Proposition 4.
Taking the derivative of e with respect to w , v 1 and β , we have: e w = β 6 k t β 2 , e v 1 = β 6 k t β 2 , e β = ( 3 t w v 1 ) ( 6 k t + β 2 ) ( 6 k t β 2 ) 2 . When 3 t w v 1 > 0 , 6 k t β 2 > 0 and 6 k t + β 2 > 0 , we get: e w < 0 , e v 1 < 0 and e β > 0 . □
Proof of Proposition 5.
With price discrimination of π 2 N H and π 1 N H , after simplifying, we have: π 2 N H π 1 N H = 4 t β 4 + k ( 15 t a ) ( t + a ) β 2 48 a t 2 k 2 2 ( 6 k t β 2 ) 2 , and a = v 1 + w . Where x = β 2 , we get f ( x ) = 4 t x 2 + k ( 15 t a ) ( t + a ) x 48 a t 2 k 2 . When x = 0 , we have: f ( 0 ) = 48 a t 2 k 2 < 0 . Taking the derivative of f ( x ) with respect to x , we obtain: f ( x ) = 8 t x + k ( 15 t a ) ( t + a ) . Then, when f ( x ) = 0 , we have: x = k ( 15 t a ) ( t + a ) 8 t . If f ( x ) = 0 , we have: x 1 = a 2 k 14 a k t 15 k t 2 k ( a 3 t ) a 2 22 a t + 25 t 2 8 t , x 2 = a 2 k 14 a k t 15 k t 2 + k ( a 3 t ) a 2 22 a t + 25 t 2 8 t , and 0 < x 1 < x 2 . Where
B 1 = x 1 = ( v 1 + w ) 2 k 14 ( v 1 + w ) k t 15 k t 2 k ( v 1 + w 3 t ) ( v 1 + w ) 2 22 ( v 1 + w ) t + 25 t 2 8 t
B 2 = x 2 = ( v 1 + w ) 2 k 14 ( v 1 + w ) k t 15 k t 2 + k ( v 1 + w 3 t ) ( v 1 + w ) 2 22 ( v 1 + w ) t + 25 t 2 8 t
Proof of Proposition 6.
With price discrimination of π 1 N H and π 1 N N , after simplifying, we have: π 1 N H π 1 N N = 36 t 2 [ k ( 3 t + v 1 + w ) β 2 ] 2 ( 3 t + v 1 v 2 ) 2 ( 6 k t β 2 ) 2 18 t ( 6 k t β 2 ) 2 . We can show that π 1 N H π 1 N N > 0 , where 36 t 2 [ k ( 3 t + v 1 + w ) β 2 ] 2 ( 3 t + v 1 v 2 ) 2 ( 6 k t β 2 ) 2 > 0 . Then, we have v 1 > 3 t + v 2 6 k t ( w + v 2 ) β 2 . Where V 1 = 3 t + v 2 6 k t ( w + v 2 ) β 2 , when v 1 V 1 , π 1 N H π 1 N N ; when v 1 < V 1 , π 1 N H < π 1 N N . □
Proof of Proposition 7.
With price discrimination of π 2 N H and π 2 N N , after simplifying, we have: π 2 N H π 2 N N = 9 t k ( 3 t v 1 w ) 2 ( 4 t k β 2 ) ( 3 t + v 2 v 1 ) 2 ( 6 k t β 2 ) 2 18 t ( 6 k t β 2 ) 2 . When 3 t v 1 w > 0 , 6 k t β 2 > 0 and 3 t + v 2 v 1 > 0 , if π 2 N H π 2 N N 0 , we have: 9 t k ( 3 t v 1 w ) 2 ( 4 t k β 2 ) ( 3 t + v 2 v 1 ) 2 ( 6 k t β 2 ) 2 0 . Thus, we obtain v 1 ( 3 t + v 2 ) ( 6 k t β 2 ) 3 ( 3 t w ) t k ( 4 t k β 2 ) 6 k t β 2 3 t k ( 4 t k β 2 ) . Where V 1 = ( 3 t + v 2 ) ( 6 k t β 2 ) 3 ( 3 t w ) t k ( 4 t k β 2 ) 6 k t β 2 3 t k ( 4 t k β 2 ) , when v 1 V 1 , π 2 N H π 2 N N ; when v 1 < V 1 , π 2 N H < π 2 N N . □

References

  1. Zheng, H.Y.; Ma, W.L. Click it and buy happiness: Does online shopping improve subjective well-being of rural residents in China? Appl. Econ. 2021, 53, 4192–4206. [Google Scholar] [CrossRef]
  2. Ba, S.L.; He, S.; Lee, S.Y. Mobile app adoption and its differential impact on consumer shopping behavior. Prod. Oper. Manag. 2021, 31, 764–780. [Google Scholar] [CrossRef]
  3. Craig, N.; DeHoratius, N.; Raman, A. The impact of supplier inventory service level on retailer demand. Manuf. Serv. Oper. Manag. 2017, 18, 461–474. [Google Scholar] [CrossRef]
  4. Devaraj, S.; Fan, M.; Kohli, R. Antecedents of B2C channel satisfaction and preference: Validating e-commerce metrics. Inf. Syst. Res. 2002, 13, 316–333. [Google Scholar] [CrossRef]
  5. Rohm, A.J.; Swaminathan, V. A typology of online shoppers based on shopping motivations. J. Busin. Res. 2004, 57, 748–757. [Google Scholar] [CrossRef]
  6. Desai, P.S.; Krishnamoorthy, A.; Sainam, P. “Call for Prices”: Strategic Implications of Raising Consumers’ Costs. Mark. Sci. 2010, 29, 158–174. [Google Scholar] [CrossRef]
  7. Shulman, J.D.; Cunha, M.; Saint Clair, J.K. Consumer uncertainty and purchase decision reversals: Theory and evidence. Mark. Sci. 2015, 34, 590–605. [Google Scholar] [CrossRef]
  8. Sun, H.Y.; Chen, J.Q.; Fan, M. Effect of live chat on traffic-to-sales conversion: Evidence from an online marketplace. Prod. Oper. Manag. 2020, 30, 1201–1219. [Google Scholar] [CrossRef]
  9. Hotelling, H. Stability in competition. Econ. J. 1929, 39, 41–57. [Google Scholar] [CrossRef]
  10. Moorthy, K.S. Product and price competition in a duopoly. Mark. Sci. 1988, 7, 141–168. [Google Scholar] [CrossRef]
  11. Singh, S.S.; Jain, D.C.; Krishnan, T.V. Customer loyalty programs: Are they profitable? Manag. Sci. 2008, 54, 1205–1211. [Google Scholar] [CrossRef]
  12. Lin, X.D.; Huang, X.L.; Liu, S.L.; Li, Y.L.; Luo, H.Y.; Yu, S.M. Competitive price-quality strategy of platforms under user privacy concerns. J. Theor. Appl. Electron. Commer. Res. 2022, 17, 571–589. [Google Scholar] [CrossRef]
  13. Narayanan, V.G.; Raman, A.; Singh, J. Agency costs in a supply chain with demand uncertainty and price competition. Manag. Sci. 2005, 51, 120–132. [Google Scholar] [CrossRef]
  14. Armstrong, M. Competition in two-sided markets. RAND J. Econ. 2005, 37, 668–691. [Google Scholar] [CrossRef]
  15. Banerjee, B.; Bandyopadhyay, S. Advertising competition under consumer inertia. Mark. Sci. 2003, 22, 131–144. [Google Scholar] [CrossRef]
  16. Wan, Q.; Yang, S.L.; Shi, V.; Qiu, M. Optimal strategies of mobile targeting promotion under competition. Int. J. Prod. Econ. 2021, 237, 108143. [Google Scholar] [CrossRef]
  17. Elmachtoub, A.N.; Hamilton, M.L. The power of opaque products in pricing. Manag. Sci. 2021, 67, 4686–4702. [Google Scholar] [CrossRef]
  18. Jiang, Y.B.; Guo, H. Design of consumer review systems and product pricing. Inf. Syst. Res. 2015, 26, 714–730. [Google Scholar] [CrossRef]
  19. Zhang, J.L.; Zhao, S.T.; Cheng, T.C.E.; Hua, G.W. Optimisation of online retailer pricing and carrier capacity expansion during low-price promotions with coordination of a decentralised supply chain. Int. J. Prod. Res. 2019, 57, 2809–2827. [Google Scholar] [CrossRef]
  20. Zhang, D.J.; Dai, H.C.; Dong, L.X.; Qi, F.F.; Zhang, N.N.; Liu, X.F.; Liu, Z.Y.; Yang, J. The long-term and spillover effects of price promotions on retailing platforms: Evidence from a large randomized experiment on alibaba. Manag. Sci. 2020, 66, 2589–2609. [Google Scholar] [CrossRef]
  21. Chen, K.Y.; Kaya, M.; Ozer, O. Dual sales channel management with service competition. Manuf. Serv. Oper. Manag. 2008, 10, 654–675. [Google Scholar] [CrossRef]
  22. Luo, J.F.; Ba, S.L.; Zhang, H. The effectiveness of online shopping characteristics and well-designed websites on satisfaction. Mis Q. 2012, 36, 1131–1144. [Google Scholar] [CrossRef]
  23. Hu, M.Y.; Huang, F.; Hou, H.P.; Chen, Y.; Bulysheva, L. Customized logistics service and online shoppers’ satisfaction: An empirical study. Int. Res. 2016, 26, 484–497. [Google Scholar]
  24. Taylor, T.A. On-demand service platforms. Manuf. Serv. Oper. Manag. 2018, 20, 704–720. [Google Scholar] [CrossRef]
  25. Mudambi, S.M.; Schuff, D. What makes a helpful online review? A study of customer reviews on amazon.com. Mis Q. 2010, 34, 185–200. [Google Scholar] [CrossRef]
  26. Yang, L.; Dong, S.Z. Rebate strategy to stimulate online customer reviews. Int. J. Prod. Econ. 2018, 204, 99–107. [Google Scholar] [CrossRef]
  27. Lei, Z.F.; Yin, D.Z.; Mitra, S.; Zhang, H. Swayed by the reviews: Disentangling the effects of average ratings and individual reviews in online word-of-mouth. Prod. Oper. Manag. 2022, 31, 2393–2411. [Google Scholar] [CrossRef]
  28. Liu, Y.; Gan, W.X.; Zhang, Q. Decision-making mechanism of online retailer based on additional online comments of consumers. J. Retail. Consum. Serv. 2021, 59, 102389. [Google Scholar] [CrossRef]
  29. Fan, W.J.; Zhou, Q.Q.; Qiu, L.F.; Kumar, S. Should doctors open online consultation services? An empirical investigation of their impact on offline appointments. Inf. Syst. Res. 2022; ahead of print. [Google Scholar] [CrossRef]
  30. Shunko, M.; Niederhoff, J.; Rosokha, Y. Humans are not machines: The behavioral impact of queueing design on service time. Manag. Sci. 2018, 64, 453–473. [Google Scholar] [CrossRef]
  31. Huang, K.M.; Yao, J.H.; Zhang, J.; Feng, Z.Y. When human service meets crowdsourcing: Emerging in human service collaboration. IEEE Trans. Serv. Comput. 2019, 12, 460–473. [Google Scholar] [CrossRef]
  32. Tran, A.D.; Pallant, J.I.; Johnson, L.W. Exploring the impact of chatbots on consumer sentiment and expectations in retail. J. Retail. Consum. Serv. 2021, 63, 102718. [Google Scholar] [CrossRef]
  33. McLean, G.; Osei-Frimpong, K.; Wilson, A.; Pitardi, V. How live chat assistants drive travel consumers’ attitudes, trust and purchase intentions The role of human touch. Int. J. Contem. Hosp. Manag. 2020, 32, 1795–1812. [Google Scholar] [CrossRef]
  34. Tan, X.; Wang, Y.W.; Tan, Y. Impact of live chat on purchase in electronic markets: The moderating role of information cues. Inf. Syst. Res. 2019, 30, 1248–1271. [Google Scholar] [CrossRef]
Figure 1. Non-human service for “Customer questions & answers” on Amazon.com.
Figure 1. Non-human service for “Customer questions & answers” on Amazon.com.
Jtaer 17 00090 g001
Figure 2. Online duopoly market.
Figure 2. Online duopoly market.
Jtaer 17 00090 g002
Figure 3. Supply chain structure.
Figure 3. Supply chain structure.
Jtaer 17 00090 g003
Figure 4. The effect of Δ v on price, demand and profit for two online retailers in mode NN.
Figure 4. The effect of Δ v on price, demand and profit for two online retailers in mode NN.
Jtaer 17 00090 g004
Figure 5. Price and demand comparison between two online retailers in mode NH.
Figure 5. Price and demand comparison between two online retailers in mode NH.
Jtaer 17 00090 g005
Figure 6. Variation in online retailer human service levels in mode NH with relevant parameters.
Figure 6. Variation in online retailer human service levels in mode NH with relevant parameters.
Jtaer 17 00090 g006
Figure 7. Variation in profit with β for two online retailers in mode NH.
Figure 7. Variation in profit with β for two online retailers in mode NH.
Jtaer 17 00090 g007
Figure 8. Comparison of the profits for two online retailers in mode NH.
Figure 8. Comparison of the profits for two online retailers in mode NH.
Jtaer 17 00090 g008
Figure 9. Profit comparison between two online retailers in two different modes.
Figure 9. Profit comparison between two online retailers in two different modes.
Jtaer 17 00090 g009
Table 1. Definition of the notations.
Table 1. Definition of the notations.
NotationsDefinition
V Initial utility of consumers
U 1 , U 2 Consumers’ utility obtained from purchasing products at online retailers r 1 and r 2
p 1 , p 2 Product price of online retailers r 1 and r 2
D 1 ,   D 2 Demand of online retailers r 1 and r 2
t Unit time cost
v 1 , v 2 Consumers’ utility obtained from the non-human services provided by online retailers r 1 and r 2
e Service level of online retailer r 2 ’s human online shopping consultation service
w Consumer waiting cost in human service of online retailer r 2
β Consumers’ sensitivity to human service level of online retailer r 2
k Human service cost coefficient of online retailer r 2
NN, NHSuperscript, respectively, online retailer r 1 and r 2 are both non-human services and the online retailer r 1 is non-human services and online retailer r 2 is human services
π 1 , π 2 Profit of online retailers r 1 and r 2
Table 2. Equilibrium results of online retailers under two modes.
Table 2. Equilibrium results of online retailers under two modes.
Online RetailerEquilibrium ResultsMode NNMode NH
r 1 p 1 3 t + v 1 v 2 3 2 t ( 3 k t + k v 1 + k w β 2 ) 6 k t β 2
D 1 3 t + v 1 v 2 6 t k ( 3 t + w + v 1 ) β 2 6 k t β 2
π 1 ( 3 t + v 1 v 2 ) 2 18 t 2 t [ k ( 3 t + v 1 + w ) β 2 ] 2 ( 6 k t β 2 ) 2
r 2 p 2 3 t + v 2 v 1 3 2 t ( 3 k t k v 1 k w ) 6 k t β 2
D 2 3 t + v 2 v 1 6 t k ( 3 t w v 1 ) 6 k t β 2
e β ( 3 t v 1 w ) 6 k t β 2
π 2 ( 3 t + v 2 v 1 ) 2 18 t k ( 3 t v 1 w ) 2 ( 4 t k β 2 ) 2 ( 6 k t β 2 ) 2
Publisher’s Note: MDPI stays neutral with regard to jurisdictional claims in published maps and institutional affiliations.

Share and Cite

MDPI and ACS Style

Zhao, L.; Wu, W.; Jiang, M. Human Services or Non-Human Services? How Online Retailers Make Service Decisions. J. Theor. Appl. Electron. Commer. Res. 2022, 17, 1791-1811. https://doi.org/10.3390/jtaer17040090

AMA Style

Zhao L, Wu W, Jiang M. Human Services or Non-Human Services? How Online Retailers Make Service Decisions. Journal of Theoretical and Applied Electronic Commerce Research. 2022; 17(4):1791-1811. https://doi.org/10.3390/jtaer17040090

Chicago/Turabian Style

Zhao, Leilei, Weiwei Wu, and Minghui Jiang. 2022. "Human Services or Non-Human Services? How Online Retailers Make Service Decisions" Journal of Theoretical and Applied Electronic Commerce Research 17, no. 4: 1791-1811. https://doi.org/10.3390/jtaer17040090

APA Style

Zhao, L., Wu, W., & Jiang, M. (2022). Human Services or Non-Human Services? How Online Retailers Make Service Decisions. Journal of Theoretical and Applied Electronic Commerce Research, 17(4), 1791-1811. https://doi.org/10.3390/jtaer17040090

Article Metrics

Back to TopTop