Sign in to use this feature.

Years

Between: -

Subjects

remove_circle_outline
remove_circle_outline
remove_circle_outline

Journals

Article Types

Countries / Regions

Search Results (1)

Search Parameters:
Keywords = trapezoidal bi-stable laminates

Order results
Result details
Results per page
Select all
Export citation of selected articles as:
21 pages, 7649 KB  
Article
Free Vibration Analysis of Trapezoidal Bi-Stable Laminates Supported at the Elastic Midpoint of the Median Line
by Yonggui Xu, Yuxin Hao, Wei Zhang and Yuhan Zhang
Mathematics 2023, 11(15), 3326; https://doi.org/10.3390/math11153326 - 28 Jul 2023
Cited by 3 | Viewed by 1620
Abstract
This study investigates the natural vibration of trapezoidal bi-stable laminates (TBL) with elastic supports at the midpoints of the median lines. Configuration of the midplane of the TBL is expressed by a polynomial with 17 parameters. Then, the first order shear deformation theory, [...] Read more.
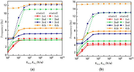
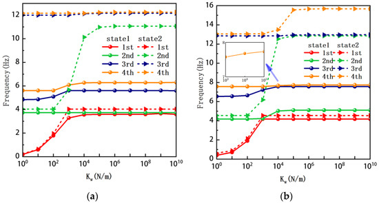
This study investigates the natural vibration of trapezoidal bi-stable laminates (TBL) with elastic supports at the midpoints of the median lines. Configuration of the midplane of the TBL is expressed by a polynomial with 17 parameters. Then, the first order shear deformation theory, curing temperature, and nonlinear strain displacement relations combining energy principles are applied to obtain the bi-stable shapes numerically. Three translational springs and two rotational springs are added at the midpoint of the median line in the trapezoidal bi-stable laminate to acquire elastic point supports. And, by varying the stiffness of the springs, arbitrary elastic point support boundary conditions can be achieved. Chebyshev polynomials are applied to characterize the mode shape function of the TBL. The vibration mode functions of the TBL are mapped to a square area under the new coordinate system by using the coordinate mapping method. Furthermore, the effects of geometry, layup sequence, and spring stiffness on the natural vibrations of the TBL are analyzed, which provides a reference for research in this field. The innovation and highlights lie in the following: (1) the natural frequencies and modes of trapezoidal bi-stable plates are solved; (2) arbitrary elastic support is achieved by a set of artificial springs; (3) the influences of spring stiffness, layer sequence, and trapezoidal base angle on the natural vibration of a trapezoidal bi-stable plate are studied. Full article
Show Figures

Figure 1

Back to TopTop