Sign in to use this feature.

Years

Between: -

Subjects

remove_circle_outline

Journals

Article Types

Countries / Regions

Search Results (2)

Search Parameters:
Keywords = tail-slapping cavity

Order results
Result details
Results per page
Select all
Export citation of selected articles as:
18 pages, 7083 KB  
Article
Experimental Investigation into the Tail-Slapping Motion of a Projectile with an Oblique Water-Entry Speed
by Lin Lu, Cisong Gao, Fei Li, Dongxiao Zhang, Xuepu Yan, Qiang Li and Yanxiao Hu
J. Mar. Sci. Eng. 2023, 11(9), 1664; https://doi.org/10.3390/jmse11091664 - 24 Aug 2023
Cited by 10 | Viewed by 1782
Abstract
In this study, the tail-slapping behavior of an oblique water-entry projectile is investigated through high-speed photography technology. The experimental images and data are captured, extracted and processed using a digital image processing method. The experimental repeatability is verified. By examining the formation, development [...] Read more.
In this study, the tail-slapping behavior of an oblique water-entry projectile is investigated through high-speed photography technology. The experimental images and data are captured, extracted and processed using a digital image processing method. The experimental repeatability is verified. By examining the formation, development and collapse process of the projectile’s cavity, this study investigates the impact of the tail-slapping motion on the cavity’s evolution. Furthermore, it examines the distinctive characteristics of both the tail-slapping cavity and the original cavity at varying initial water-entry speeds. By analyzing the formation, development and collapse process of the cavity of the projectile, the influence of the tail-slapping motion on the cavity evolution is explored. Furthermore, it examines the evolution characteristics of both the tail-slapping cavity and the original cavity under different initial water-entry speeds. The results indicate that a tail-slapping cavity is formed during the reciprocating motion of the projectile. The tail-slapping cavity fits closely with the original cavity and is finally pulled off from the surface of the original cavity to collapse. In addition, as the initial water-entry speed increases, both the maximum cross-section size of the tail-slapping cavity and the length of the original cavity gradually increase. With the increase in the number of tail-slapping motions, the speed attenuation amplitude of the projectile increases during each tail-slapping motion, the time interval between two tail-slapping motions is gradually shortened, the energy loss of the projectile correspondingly enlarges, and the speed storage capacity of the projectile decreases. Full article
(This article belongs to the Section Physical Oceanography)
Show Figures

Figure 1

18 pages, 1914 KB  
Article
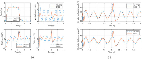
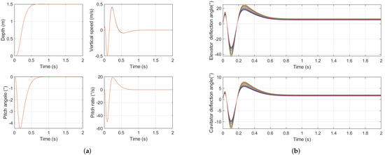
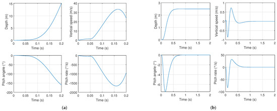
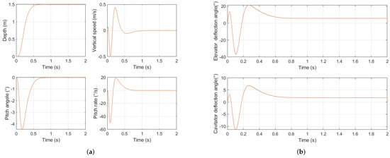
Depth and Attitude Coordinated Control for Supercavitating Vehicle Avoiding Planing Force
by Yu Zhou, Mingwei Sun, Jianhong Zhang and Zengqiang Chen
Machines 2022, 10(6), 433; https://doi.org/10.3390/machines10060433 - 1 Jun 2022
Cited by 5 | Viewed by 2150
Abstract
Supercavitating vehicles have particular high speeds. This unique advantage is obtained by the cavity separation from water to eliminate most drag. However, this may lead to the tail-slap phenomenon and the planing force. In addition, there are large and unpredictable uncertainties in the [...] Read more.
Supercavitating vehicles have particular high speeds. This unique advantage is obtained by the cavity separation from water to eliminate most drag. However, this may lead to the tail-slap phenomenon and the planing force. In addition, there are large and unpredictable uncertainties in the hydrodynamics of the supercavitating vehicle. All these factors impose a big challenge to achieve satisfactory depth tracking capability. In this paper, a depth and attitude coordinated control strategy is proposed for the longitudinal dynamics in order to realize depth tracking without planing force. The timely adjustment of the attitude ensures a small vertical speed which can be far away from the threshold value that causes the planing force. By designing the cascade control structure, the depth is regulated by proportional control to generate the pitch command for the attitude loop controller. The vertical speed and the pitch angular rate are both controlled by using the linear active disturbance reject control to guarantee sufficient accuracy and robustness. The simulation results demonstrate the effectiveness and the superiority of the proposed strategy. Full article
(This article belongs to the Section Vehicle Engineering)
Show Figures

Figure 1

Back to TopTop