Sign in to use this feature.

Years

Between: -

Subjects

remove_circle_outline
remove_circle_outline
remove_circle_outline
remove_circle_outline

Journals

Article Types

Countries / Regions

Search Results (5)

Search Parameters:
Keywords = surveyability

Order results
Result details
Results per page
Select all
Export citation of selected articles as:
20 pages, 277 KB  
Article
Philosophy of Religion: Taking Leave of the Abstract Domain
by Philip Wilson
Religions 2025, 16(2), 204; https://doi.org/10.3390/rel16020204 - 8 Feb 2025
Cited by 1 | Viewed by 1571
Abstract
John Cottingham argues that traditional university modules in the philosophy of religion take us into a ‘very abstract domain that is often far removed from religion as it actually operates in the life of the believer’. This paper makes four moves based on [...] Read more.
John Cottingham argues that traditional university modules in the philosophy of religion take us into a ‘very abstract domain that is often far removed from religion as it actually operates in the life of the believer’. This paper makes four moves based on Cottingham. First, it argues that the application of Ludwig Wittgenstein’s methods supports and facilitates a shift to the anthropological in the philosophy of religion (as evidenced in the work of Mikel Burley). Second, literature is examined as a tool for doing the philosophy of religion, following Danielle Moyal-Sharrock’s notion of the literary text as surveyable representation. Three works are investigated, namely Silence by Shūshaku Endō, The Brothers Karamazov by Fyodor Dostoevsky, and the Gospel of John. It is argued that, far from being merely illustrative of religion, story is (in its widest sense) constitutive of belief. Third, it is shown how Wittgenstein’s remarks on mysticism in the Tractatus Logico-Philosophicus can be read as a transmutation of literary writing that creates a non-abstract mysticism of the world. Wittgenstein’s remarks are placed in dialogue with Angelus Silesius’s poetry and Leo Tolstoy’s The Gospel in Brief. Fourth, the relevance of Wittgenstein to the current debate on cultural Christianity is brought out. Philosophers of religion must take leave of the abstract, if only to return to it and to view it differently. Wittgenstein’s thought is too important to ignore in this venture. Full article
(This article belongs to the Special Issue New Work on Wittgenstein's Philosophy of Religion)
24 pages, 413 KB  
Article
“Surveyability” in Hilbert, Wittgenstein and Turing
by Juliet Floyd
Philosophies 2023, 8(1), 6; https://doi.org/10.3390/philosophies8010006 - 11 Jan 2023
Cited by 4 | Viewed by 4220
Abstract
An investigation of the concept of “surveyability” as traced through the thought of Hilbert, Wittgenstein, and Turing. The communicability and reproducibility of proof, with certainty, are seen as earmarked by the “surveyability” of symbols, sequences, and structures of proof in all these thinkers. [...] Read more.
An investigation of the concept of “surveyability” as traced through the thought of Hilbert, Wittgenstein, and Turing. The communicability and reproducibility of proof, with certainty, are seen as earmarked by the “surveyability” of symbols, sequences, and structures of proof in all these thinkers. Hilbert initiated the idea within his metamathematics, Wittgenstein took up a kind of game formalism in the 1920s and early 1930s in response. Turing carried Hilbert’s conception of the “surveyability” of proof in metamathematics through into his analysis of what a formal system (what a step in a computation) is in “On computable numbers, with an application to the Entscheidungsproblem” (1936). Wittgenstein’s 1939 investigations of the significance of surveyability to the concept of “proof “in Principia Mathematica were influenced, both by Turing’s remarkable everyday analysis of the Hilbertian idea, and by conversations with Turing. Although Turing does not use the word “surveyability” explicitly, it is clear that the Hilbertian idea plays a recurrent role in his work, refracted through his engagement with Wittgenstein’s idea of a “language-game”. This is evinced in some of his later writings, where the “reform” of mathematical notation for the sake of human surveyability (1944/45) may be seen to draw out the Hilbertian idea. For Turing, as for Wittgenstein, the need for “surveyability” earmarks the evolving culture of humans located in an evolving social and scientific world, just as it had for Hilbert. Full article
(This article belongs to the Special Issue Turing the Philosopher: Established Debates and New Developments)
18 pages, 2750 KB  
Article
Determination of Interactive States of Immune Checkpoint Regulators in Lung Metastases after Radiofrequency Ablation
by James Miles, Isabelle Soubeyran, Florence Marliot, Nicolas Pangon, Antoine Italiano, Carine Bellera, Stephen G. Ward, Franck Pagès, Jean Palussière and Banafshé Larijani
Cancers 2022, 14(23), 5738; https://doi.org/10.3390/cancers14235738 - 22 Nov 2022
Cited by 1 | Viewed by 5902
Abstract
Background: Cases of the spontaneous regression of multiple pulmonary metastases, after radiofrequency ablation (RFA), of a single lung metastasis, have been documented to be mediated by the immune system. The interaction of immune checkpoints, e.g., PD-1/PD-L1 and CTLA-4/CD80, may explain this phenomenon. The [...] Read more.
Background: Cases of the spontaneous regression of multiple pulmonary metastases, after radiofrequency ablation (RFA), of a single lung metastasis, have been documented to be mediated by the immune system. The interaction of immune checkpoints, e.g., PD-1/PD-L1 and CTLA-4/CD80, may explain this phenomenon. The purpose of this study is to identify and quantify immune mechanisms triggered by RFA of pulmonary metastases originating from colorectal cancer. Methods: We used two-site time-resolved Förster resonance energy transfer as determined by frequency-domain FLIM (iFRET) for the quantification of receptor–ligand interactions. iFRET provides a method by which immune checkpoint interaction states can be quantified in a spatiotemporal manner. The same patient sections were used for assessment of ligand–receptor interaction and intratumoral T-cell labeling. Conclusion: The checkpoint interaction states quantified by iFRET did not correlate with ligand expression. We show that immune checkpoint ligand expression as a predictive biomarker may be unsuitable as it does not confirm checkpoint interactions. In pre-RFA-treated metastases, there was a significant and negative correlation between PD-1/PD-L1 interaction state and intratumoral CD3+ and CD8+ density. The negative correlation of CD8+ and interactive states of PD-1/PD-L1 can be used to assess the state of immune suppression in RFA-treated patients. Full article
(This article belongs to the Section Cancer Immunology and Immunotherapy)
Show Figures

Graphical abstract

17 pages, 3924 KB  
Article
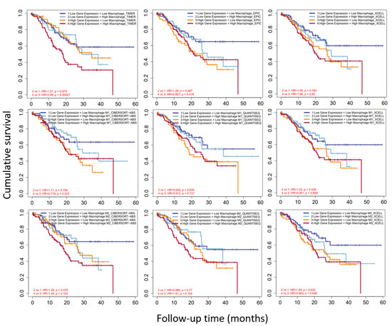
CAST as a Potential Oncogene, Identified by Machine Search, in Gastric Cancer Infiltrated with Macrophages and Associated with Lgr5
by Kuang-Tsu Yang, Chia-Chi Yen, Renin Chang, Jui-Tzu Wang and Jin-Shuen Chen
Biomolecules 2022, 12(5), 670; https://doi.org/10.3390/biom12050670 - 6 May 2022
Cited by 4 | Viewed by 3012
Abstract
Background: Gastric cancer (GC) is one of the leading malignant diseases worldwide, especially in Asia. CAST is a potential oncogene in GC carcinogenesis. The character of macrophage infiltration in the GC microenvironment also remains unaddressed. Methods: We first applied machine searching to evaluate [...] Read more.
Background: Gastric cancer (GC) is one of the leading malignant diseases worldwide, especially in Asia. CAST is a potential oncogene in GC carcinogenesis. The character of macrophage infiltration in the GC microenvironment also remains unaddressed. Methods: We first applied machine searching to evaluate gene candidates for GC. CAST expression and pan-cancer surveyance were analyzed using the Human Protein Atlas (HPA) and Gene Expression Profiling Interactive Analysis 2 (GEPIA2) database. The protein–protein interaction (PPI) network was downloaded from STRING. We investigated the impact of CAST on clinical prognosis using a Kaplan–Meier plotter. The correlations between CAST and Lgr5 and macrophage infiltration in GC were determined using TIMER 2.0. Finally, GeneMANIA was also used to evaluate the possible functional linkages between genes. Results: After the machine-assisted search, CAST expression was found to significantly influence the overall survival of GC patients. STRING revealed CAST-related proteomic and transcriptomic associations, mainly concerning the CAPN family. Moreover, CAST significantly impacts the prognosis of GC based on the validation of other datasets. Notably, high CAST expression was correlated with worse overall survival in GC patients (hazard ratio = 1.59; log-rank P = 9.4 × 10−8). CAST and Lgr5 expression were both positively correlated with WNT 2 and WNT 2B. Among the GC patients in several datasets, CAST and macrophage infiltration, evaluated together, showed no obvious association with poor clinical overall survival. Conclusions: CAST plays an important role in the clinical prognosis of GC and is associated with WNT 2/WNT 2B/Lgr5. Our study demonstrates that CAST’s influence on overall survival in GC is regulated by macrophage infiltration. Full article
(This article belongs to the Section Bioinformatics and Systems Biology)
Show Figures

Graphical abstract

25 pages, 1278 KB  
Article
Weakly Supervised Deep Learning for Segmentation of Remote Sensing Imagery
by Sherrie Wang, William Chen, Sang Michael Xie, George Azzari and David B. Lobell
Remote Sens. 2020, 12(2), 207; https://doi.org/10.3390/rs12020207 - 7 Jan 2020
Cited by 221 | Viewed by 22675
Abstract
Accurate automated segmentation of remote sensing data could benefit applications from land cover mapping and agricultural monitoring to urban development surveyal and disaster damage assessment. While convolutional neural networks (CNNs) achieve state-of-the-art accuracy when segmenting natural images with huge labeled datasets, their successful [...] Read more.
Accurate automated segmentation of remote sensing data could benefit applications from land cover mapping and agricultural monitoring to urban development surveyal and disaster damage assessment. While convolutional neural networks (CNNs) achieve state-of-the-art accuracy when segmenting natural images with huge labeled datasets, their successful translation to remote sensing tasks has been limited by low quantities of ground truth labels, especially fully segmented ones, in the remote sensing domain. In this work, we perform cropland segmentation using two types of labels commonly found in remote sensing datasets that can be considered sources of “weak supervision”: (1) labels comprised of single geotagged points and (2) image-level labels. We demonstrate that (1) a U-Net trained on a single labeled pixel per image and (2) a U-Net image classifier transferred to segmentation can outperform pixel-level algorithms such as logistic regression, support vector machine, and random forest. While the high performance of neural networks is well-established for large datasets, our experiments indicate that U-Nets trained on weak labels outperform baseline methods with as few as 100 labels. Neural networks, therefore, can combine superior classification performance with efficient label usage, and allow pixel-level labels to be obtained from image labels. Full article
(This article belongs to the Section Remote Sensing in Agriculture and Vegetation)
Show Figures

Figure 1

Back to TopTop