Sign in to use this feature.

Years

Between: -

Subjects

remove_circle_outline
remove_circle_outline
remove_circle_outline
remove_circle_outline
remove_circle_outline

Journals

Article Types

Countries / Regions

Search Results (7)

Search Parameters:
Keywords = static crushing agent

Order results
Result details
Results per page
Select all
Export citation of selected articles as:
12 pages, 9601 KB  
Article
Rock Fracturing Characteristics and Roadway Expansion Application of Static Crushing Agent under Multi-Row Drilling Condition
by Ruifu Yuan, Zhongwen Lian, Qunlei Zhang, Mengzhuo Li, Hui Li, Yexin Li and Wanying Wu
Appl. Sci. 2024, 14(19), 9032; https://doi.org/10.3390/app14199032 - 6 Oct 2024
Cited by 4 | Viewed by 1727
Abstract
Static crushing agent (SCA) offers advantages such as good safety, no harmful gases, and minimal vibration, making SCA ideal for rock crushing in mines or underground engineering. To scientifically implement the section expansion of mine roadway, the rock mechanical parameters, SCA expansion properties, [...] Read more.
Static crushing agent (SCA) offers advantages such as good safety, no harmful gases, and minimal vibration, making SCA ideal for rock crushing in mines or underground engineering. To scientifically implement the section expansion of mine roadway, the rock mechanical parameters, SCA expansion properties, and cracking behavior of surrounding rock were investigated using laboratory tests, numerical simulations, and field experiments. Results indicate that the smaller hole spacing of SCA improves the fracturing effect on rock mass, reduces the required fracture initiation stress and penetration stress, and the presence of a free surface aids in fracture development in the rock mass. Optimal borehole design parameters and spacing distributions of the SCA were determined, and corresponding construction techniques of roadway expansion were proposed. Field tests demonstrate that static crushing technology, under multi-row drilling conditions, is highly effective for rock roadway expansion projects. These findings provide valuable guidance for non-explosive expansion and other roof breaking treatment projects. Full article
(This article belongs to the Special Issue Advanced Underground Coal Mining and Ground Control Technology)
Show Figures

Figure 1

20 pages, 25243 KB  
Article
The Designs and Testing of Biodegradable Energy-Absorbing Inserts for Enhanced Crashworthiness in Sports Helmets
by Paweł Kaczyński, Mateusz Skwarski, Anna Dmitruk, Piotr Makuła and Joanna Ludwiczak
Materials 2024, 17(17), 4407; https://doi.org/10.3390/ma17174407 - 6 Sep 2024
Cited by 1 | Viewed by 1840
Abstract
This article addresses manufacturing structures made via injection molding from biodegradable materials. The mentioned structures can be successfully used as energy-absorbing liners of all kinds of sports helmets, replacing the previously used expanded polystyrene. This paper is focused on injection technological tests and [...] Read more.
This article addresses manufacturing structures made via injection molding from biodegradable materials. The mentioned structures can be successfully used as energy-absorbing liners of all kinds of sports helmets, replacing the previously used expanded polystyrene. This paper is focused on injection technological tests and tensile tests (in quasi-static and dynamic conditions) of several composites based on a PLA matrix with the addition of other biodegradable softening agents, such as PBAT and TPS (the blends were prepared via melt blending using a screw extruder with mass compositions of 50:50, 30:70, and 15:85). Tensile tests showed a positive strain rate sensitivity of the mixtures and a dependence of the increase in the ratio of the dynamic to static yield stress on the increase in the share of the plastic component in the mixture. Technological tests showed that increasing the amount of the plasticizing additive by 35% (from 50% to 85%) results in a decrease in the minimal thickness of the thin-walled element that can be successfully injection molded by about 32% in the case of PLA/PBAT blends (from 0.22 mm to 0.15 mm) and by about 26% in the case of PLA/TPS blends (from 0.23 mm to 0.17 mm). Next, the thin-walled elements (dimensions of 55 × 55 × 20 mm) were manufactured and evaluated using a spring-loaded drop hammer. The 60 J impact energy was tested in accordance with the EN 1078 standard. The dynamic crushing test included checking the influence of the materials’ temperature (−20, 0, 20, and 40 °C) and the impact velocity. It was proven that the maximum deflection increases with increasing material temperature and an increase in the share of the plastic component in the mixture. The PLA15PBAT85 blend was selected as the most effective material in terms of its use as an energy-absorbing liner for sport helmets. Johnson–Cook and Cowper–Symonds material plasticizing models were constructed. Their use during dynamic FE simulation provided results that were in good agreement with those of the conducted experiment. Full article
(This article belongs to the Section Green Materials)
Show Figures

Figure 1

23 pages, 10584 KB  
Article
Prevention of Blowout Tests in Large-Diameter Boreholes with Soundless Chemical Demolition Agents and Fracturing Characteristics of Hard Sandstones
by Junjie Wu, Zhuo Dong, Ruifu Yuan, Shuaishuai Xie and Junhao Deng
Processes 2024, 12(2), 336; https://doi.org/10.3390/pr12020336 - 4 Feb 2024
Cited by 1 | Viewed by 1645
Abstract
Increasing the diameter of the drillhole can facilitate drillhole breakage using soundless chemical demolition agents, but it is prone to cause drillhole blowout, resulting in crushing failure. This paper conducted a blowhole prevention test on a large borehole using the internal insertion cooling [...] Read more.
Increasing the diameter of the drillhole can facilitate drillhole breakage using soundless chemical demolition agents, but it is prone to cause drillhole blowout, resulting in crushing failure. This paper conducted a blowhole prevention test on a large borehole using the internal insertion cooling pipe method (ICBPM) to test the expansion pressure of cooling pipes with different diameters. During this test, a fracture occurred in a hole with a 75 mm inner diameter in the rectangular sandstone specimens with high strength. It was found that utilizing the ICBPM can effectively hinder the development of blowholes. Expansion and blowhole prevention are optimized with a 0.14 mass ratio of the cooling water to demolition agent and a maximum expansion stress of 49.0 MPa. The guiding effect of the minimum resistance line is significant. In repeated tests, all fissures are distributed in a Y-shape on the free surface where the minimum resistance line is located. The acoustic emission signals from statically fractured hard rock increase abruptly before damage, and the development of rock expansion and fracturing can be obtained through strain monitoring. These results suggest that the ICBPM can reduce the expansion time with a strong crushing effect, satisfying the need to process more crushing projects. Full article
(This article belongs to the Special Issue Exploration, Exploitation and Utilization of Coal and Gas Resources)
Show Figures

Figure 1

29 pages, 10569 KB  
Article
Study on Mechanism of Static Blasting-Induced Hard Rock Fracture Expansion
by Zhijun Xu, Yue Cao, Chong Li, Lianhai Tai and Sifeng He
Appl. Sci. 2023, 13(20), 11310; https://doi.org/10.3390/app132011310 - 14 Oct 2023
Cited by 3 | Viewed by 2276
Abstract
How to deal with hard rock cheaply and safely is a pressing issue in today’s coal mining. Weakening fractures of hard rock have always been a significant concern in China’s coal mine engineering. In this study, mechanical derivation, laboratory experiments, and numerical simulation [...] Read more.
How to deal with hard rock cheaply and safely is a pressing issue in today’s coal mining. Weakening fractures of hard rock have always been a significant concern in China’s coal mine engineering. In this study, mechanical derivation, laboratory experiments, and numerical simulation research methodologies are used to evaluate the fracturing process of the static crushing agent (SCA). From a mechanical standpoint, the mechanism of fracturing hard rock by a crushing agent is investigated. It is assumed that single-hole fracturing is separated into three stages: the microfracture stage, the fissure development stage, and the breaking stage. The swelling and fracturing properties of SCA were quantitatively analyzed. It was found that the swelling pressure of SCA increased with the increase in pore diameter, and the range of the swelling pressure was 43.5 MPa to 75.1 MPa. SCA exhibited a delayed fracture initiation, but the rate of breakage was relatively high. The cracking effect of a single-hole specimen under no peripheral pressure was simulated using PFC2D, and the results were consistent with experimental observations. The internal dynamic effect, crack extension, distribution characteristics, and the development law of double-hole expansion pressure were analyzed for double-hole specimens with different hole diameters, hole spacings, and circumferential pressures. It was observed that the cracking effect was positively correlated with the pore diameter, while the pore spacing and surrounding pressure were negatively correlated. The size of the expansion pressure was negatively correlated with the pore diameter, while the pore spacing and surrounding pressure were positively correlated. Full article
Show Figures

Figure 1

13 pages, 2870 KB  
Article
Experimental Study on High-Energy Gas Fracturing Artificial Coal
by Junjun Li, Guofu Li, Zheng Wang, Mengfei Yu and Junke Gao
Appl. Sci. 2022, 12(22), 11606; https://doi.org/10.3390/app122211606 - 15 Nov 2022
Cited by 5 | Viewed by 1791
Abstract
The low permeability of coal seams has always been the main bottleneck restricting coalbed gas drainage. To improve the permeability of a coal seam, a high-energy gas fracturing technology is proposed. Firstly, based on the high-energy gas fracturing mechanism and gas production principle [...] Read more.
The low permeability of coal seams has always been the main bottleneck restricting coalbed gas drainage. To improve the permeability of a coal seam, a high-energy gas fracturing technology is proposed. Firstly, based on the high-energy gas fracturing mechanism and gas production principle of fracturing agent, a fracturing agent applicable to coal reservoirs was developed, and its performance and sensitivity were tested. Then, a high-energy gas-fracturing simulated coal sample test was conducted, and the drilling wall pressure and strain of the simulated coal sample were tested. The results show that high-energy gas fracturing technology is a safe and efficient technical means for improving the permeability of coal reservoirs. The pressure–time curve of the borehole wall under the action of high-energy gas can be divided into three stages, namely, the rapid pressure-rising stage, steady pressure stage, and falling stage; the maximum pressure in the borehole is about several hundred MPa, and the pressure distribution in the borehole is not uniform. Compared with explosives blasting, the stress wave intensity in coal caused by the action of high-energy gases is low, the duration is short, and the peak stress attenuates slowly with increasing distance. Under the action of high-energy gas, no crush zone is generated near the borehole; the number of radial cracks produced is small but long. The extent of the fracture zone depends mainly on the quasi-static splitting wedge effect of the high-energy gas. Full article
Show Figures

Figure 1

17 pages, 5990 KB  
Article
Design of Concrete Mix Proportion Based on Particle Packing Voidage and Test Research on Compressive Strength and Elastic Modulus of Concrete
by Yun-Hong Cheng, Bao-Long Zhu, Si-Hui Yang and Bai-Qiang Tong
Materials 2021, 14(3), 623; https://doi.org/10.3390/ma14030623 - 29 Jan 2021
Cited by 19 | Viewed by 3474
Abstract
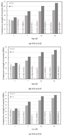
According to the basic principle of dense packing of particles, and considering the interaction between particles, a dense packing model of granular materials in concrete was proposed. During the establishment of this model, binary particle packing tests of crushed stone and sand were [...] Read more.
According to the basic principle of dense packing of particles, and considering the interaction between particles, a dense packing model of granular materials in concrete was proposed. During the establishment of this model, binary particle packing tests of crushed stone and sand were carried out. The fitting analysis of the test results determines the relationship between the particle size ratio and the remaining volume fraction of the particle packing, and then the actual void fraction of the particle packing was obtained, based on which the water–binder ratio was combined to determine the amount of various materials in the concrete. The proposed concrete mix design method was used to prepare concrete, and its compressive strength and elastic modulus were tested experimentally. The test results show that the aggregate volume fraction of the prepared concrete increased, and the workability of the concrete mixture with the appropriate amount of water reducing agent meets the design requirements. When the water–binder ratio was 0.42, 0.47, or 0.52, the compressive strength of the concrete increased compared with the control concrete, and the degree of improvement in compressive strength increased with the decrease in water–binder ratio; when the water-binder ratio was 0.42, 0.47, or 0.52, the static elastic modulus of the concrete increased compared with the control concrete, and the degree of improvement in elastic modulus also increased with the decrease in water–binder ratio. The elastic modulus and compressive strength of the prepared concrete have a positive correlation. Findings show that the concrete mix design method proposed by this research is feasible and advanced in a sense. Full article
Show Figures

Figure 1

16 pages, 3623 KB  
Article
Exploring the Consequences of Crowd Compression Through Physics-Based Simulation
by Libo Sun and Norman I. Badler
Sensors 2018, 18(12), 4149; https://doi.org/10.3390/s18124149 - 27 Nov 2018
Cited by 3 | Viewed by 5645
Abstract
Statistical analysis of accidents in recent years shows that crowd crushes have become significant non-combat, non-environmental public disasters. Unlike common accidents such as fires, crowd crushes may occur without obvious external causes, and may arise quickly and unexpectedly in otherwise normal surroundings. We [...] Read more.
Statistical analysis of accidents in recent years shows that crowd crushes have become significant non-combat, non-environmental public disasters. Unlike common accidents such as fires, crowd crushes may occur without obvious external causes, and may arise quickly and unexpectedly in otherwise normal surroundings. We use physics-based simulations to understand the processes and consequences of compressive forces on high density static crowds consisting of up to 400 agents in a restricted space characterized by barriers to free movement. According to empirical observation and experimentation by others, we know that local high packing density is an important factor leading to crowd crushes and consequent injuries. We computationally verify our hypothesis that compressive forces create high local crowd densities which exceed human tolerance. Affected agents may thus be unable to move or escape and will present additional movement obstacles to others. Any high density crowd simulation should therefore take into account these possible negative effects on crowd mobility and behavior. Such physics-based simulations may therefore assist in the design of crowded spaces that could reduce the possibility of crushes and their consequences. Full article
Show Figures

Figure 1

Back to TopTop